相关产品推荐更多 >
万千商家帮你免费找货
0 人在求购买到急需产品
- 详细信息
- 文献和实验
- 技术资料
- 库存:
436
- 英文名:
Ginkgolide A
- CAS号:
15291-75-5
- 保质期:
长期
- 供应商:
北京百奥莱博科技有限公司
- 规格:
约20mg/支
特别提示:包括银杏内酯A在内,本公司的所有产品仅可用于科研实验,严禁用于临床医疗及其他非科研用途!
产品名称:银杏内酯A
英文名称:Ginkgolide A
产品货号:BP1138
产品规格:约20mg/支
本品为银杏内酯A化学对照品,供鉴别和含量测定用,含量以97.4%计,使用前不需干燥处理。
CAS号:15291-75-5
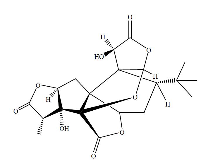
分子式:C20H24O9
分子量:408.40
结构式:
包装:棕色安瓿
规格:约20mg/支
储存条件:冷冻保存
除了银杏内酯A,,我公司还供应以下相关产品:
BP0262 *苯苄醇 50mg
BP0268 曲安西龙 100mg/支
BP0536 2-单硝酸异山梨酯 50mg/支
BP0634 缬沙坦对映异构体 50mg
BP0672 酒石酸罗格列酮 100mg/支
BP0781 培哚普利杂质Ⅲ(培哚普利拉) 50mg/支
BP0871 磷酸 约3ml/支
BP0914 盐酸兰地洛尔异构体Ⅰ 20mg/支"
BP1222 甲基橙皮苷 50mg
BP1459 野漆树苷 20mg/支
BP1567 麦白霉素 400mg
BP1582 *酸交沙霉素 100mg
BP1744 丙硫异烟胺 约50mg
BP2001 棕榈酸 200mg
BP2109 第三代人激肽释放酶原激活剂(PKA)国家标准品 1.0ml/支
BP2149 盐酸特拉唑嗪杂质IV 30mg/支
风险提示:丁香通仅作为第三方平台,为商家信息发布提供平台空间。用户咨询产品时请注意保护个人信息及财产安全,合理判断,谨慎选购商品,商家和用户对交易行为负责。对于医疗器械类产品,请先查证核实企业经营资质和医疗器械产品注册证情况。
文献和实验部厚;短枝则相反。小孢子叶球呈柔荑花序状,生于短枝顶端的鳞片腋内,小孢子叶有短柄,柄端具有2个(稀为3~7个)悬垂的小孢子囊。大孢子叶球很简单,通常仅有1长柄,顶端具2个环形的大孢子叶(特称为珠领),大孢子叶上各生1个胚珠,但通常只有1个发育成种子。种子近球形,种皮分3层;外种皮黄色,肉质;中种皮白色,骨质;内种皮红色,薄纸质,胚乳肉质。 银杏树形优美,为优良的行道树及园林绿化树种。木材细密,是优良的用材树种。种仁(白果)供食用及药用,有润肺、止咳、强壮等功效。近年研究表明,叶含黄酮类、银杏内酯
)和Na2HPO4(0.05mol/L)以及MeOH所组成,其用量比例为200:10:165, 流速:1mL/min 进样:10μL 结果:所有组分在6min之内全部流出,各组分完全分离,组分出峰顺序为:磺胺保留时间为2.60min,磺胺嘧啶保留时间为3.18min、磺胺甲基异�唑保留时间为4.33min,甲氧苄氨嘧啶保留时间为5.19min。 例3.银杏内酯分析(药物分析) 样品:含银杏苦内酯等4种物质的混合物 色谱仪:“南京
吸附,极性树脂则易在水中吸附极性物质。刘国庆等在研究大孔树脂对大豆乳清废水中异黄酮的吸附特性时发现由于加热、碱溶工艺使一部分黄酮苷生成了苷元,故而非极性和弱极性大孔树脂有利于异黄酮的吸附,而且解吸容易。韩金玉等研究了5种大孔树脂发现弱极性树脂AB 8适合银杏内酯和白果内酯的分离。潘见等研究了10种大孔树脂发现,极性和弱极性树脂有利于葛根异黄酮的吸附与解吸且较高的比表面积、较大的孔径、较小的孔容有利于吸附。 2.2 被吸附的化合物结构的影响一般来说,被吸附化合物的分子量大小和极性的强弱直接
技术资料暂无技术资料 索取技术资料










