相关产品推荐更多 >
万千商家帮你免费找货
0 人在求购买到急需产品
- 详细信息
- 询价记录
- 文献和实验
- 技术资料
- 库存:
146
- 英文名:
Ferritin
- 保质期:
长期
- 供应商:
北京百奥莱博科技有限公司
- 保存条件:
-20℃
- 规格:
790ng/支
特别提示:包括铁蛋白在内,本公司的所有产品仅可用于科研实验,严禁用于临床医疗及其他非科研用途!
产品名称:铁蛋白
英文名称:Ferritin
产品货号:BP1940
产品规格:790ng/支
本品为铁蛋白免疫测定用标准品,以高纯度铁蛋白为原料制备,供铁蛋白免疫分析使用,适用于化学发光、时间分辨免疫荧光等方法。
性状:白色冻干粉末
包装:白色安瓿瓶
规格:每支安瓿内含铁蛋白约790ng,本品为冻干品。
特性量值:溯源至铁蛋白国际标准品(NIBSC94/572),经协作标定,每支安瓿内铁蛋白免疫活性为790ng。
使用方法和要求:建议使用时以1.0mL蒸馏水将内容物完全溶解,充分混合后使用。
储存条件:-20℃,避免反复冻融。
请按说明书规定使用,若作他用,用户须自行证明适用性。
除了铁蛋白,,我公司还供应以下相关产品:
名称:硝酸益康唑
货号:BP0175
规格:100mg
本品为硝酸益康唑的化学对照品,含量按C18H15Cl3N2O·HNO3计。精密称取适量,按标准所规定的方法,配制至所需浓度的对照品溶液,立即使用。
储存条件:置5℃以下条件低温避光保存。启开安瓿后严密保持干燥以防吸水。
注意事项:使用前不需要干燥处理。
名称:扑米酮
货号:BP0266
规格:50mg
名称:美索巴莫
货号:BP0337
规格:50mg
本品为美索巴莫的化学对照品,供含量测定用,使用前不需干燥处理,以C11H15NO5计,供UV法测定,含量为100.0%;供HPLC法测定,含量为99.9%。
分子式:C11H15NO5
结构式:
分子量:241.24
CAS号:532-03-6
包装:棕色西林装
装量:约50毫克/支。
储存条件:遮光,密闭保存。
名称:胸苷
货号:BP0886
规格:50mg
本品为胸苷化学对照品,供HPLC法系统适用性试验用,使用前不需干燥处理。
CAS号:50-89-5
分子式:C10H14N2O5
分子量:242.23
包装及装量:棕色西林瓶装,每支约50毫克。
储存条件:避光,密封保存。
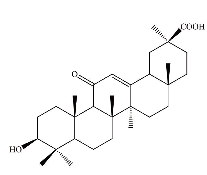
名称:甘草次酸
货号:BP1028
规格:20mg/支
本品为甘草次酸化学对照品,供鉴别及含量测定用,使用前不需干燥处理。含量以99.3%计。
CAS号:471-53-4
分子式:C30H46O4
分子量:470.64
结构式:
包装:棕色安瓿瓶
装量:约20mg/支
储存条件:冷处保存(2-10℃)
名称:20(s)-人参皂苷Rh2
货号:BP1336
规格:20mg
本品为人参皂苷Rh2化学对照品,供含量测定用,置五氧化*磷减压干燥器中干燥12小时以上使用。
CAS号:78214-33-2
分子式:C36H62O9
分子量:622.87
结构式:
包装及装量:棕色瓶装,约20mg/支
储存条件:冷冻保存
名称:狼毒乙素
货号:BP1471
规格:20mg/支
本品为狼毒乙素化学对照品,供鉴别及含量测定用,含量以99.5%计。
分子式:C10H12O4
分子量:196.20
包装及装量:棕色瓶。
储存条件:室温干燥密闭。
注意事项:置五氧化*磷减压干燥器中干燥 12 小时以上使用。
名称:远志酸
货号:BP1477
规格:约20mg/支
本品为远志酸化学对照品,供含量测定用,含量以96.5%计。
分子式:C29H44O6
分子量:488.31
包装及装量:棕色安瓿瓶。
储存条件:室温干燥保存。
注意事项:使用前无需处理。
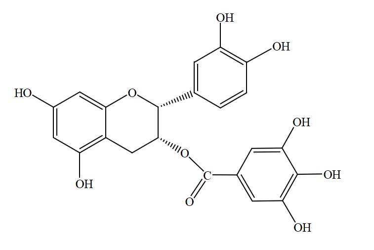
名称:表儿茶素没食子酸酯
货号:BP1519
规格:20mg
本品为表儿茶素没食子酸酯化学对照品,供鉴别和含量测定用,含量以98.1%计,使用前不需干燥处理。
CAS号:1257-08-5
分子式:C22H18O10
分子量:442.37
结构式:
包装:棕色安瓿
规格:约20mg/支
储存条件:4℃保存
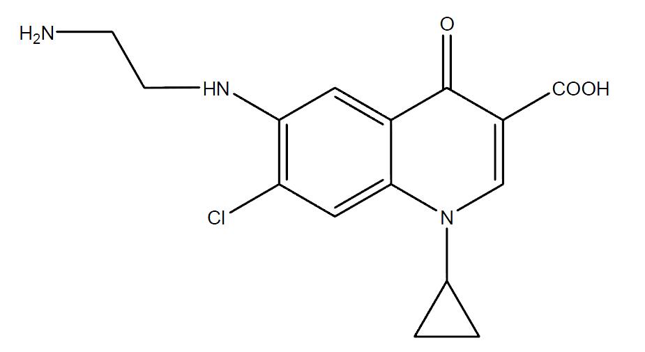
名称:环丙沙星杂质I
货号:BP1723
规格:50mg/支
本品为环丙沙星杂质I化学对照品,供环丙沙星及盐酸环丙沙星的系统适用性试验用。
分子式:C15H16ClN3O3
分子量:321.09
结构式:
包装及装量:安瓿,50mg/支
储存条件:置5℃以下条件低温避光保存。
名称:头孢米诺系统适用性对照品
货号:BP1747
规格:30mg
本品为头孢米诺系统适用性对照品,供含量测定及有关物质HPLC系统适用性试验用。
标准图谱:
头孢米诺钠含量测定及有关物质用标准图谱:
1.色谱柱:Kromasil100-5-C18 250×4.6mm
2.色谱柱:Apollo C18 5μm 250×4.6mm
3.色谱柱:SHISEIDO CAPCELL PAK C18,MGⅡ5μm 4.6mm×250mm
包装:白色安瓿
规格:约30毫克/支
储存条件:2-8℃保存
名称:抗HBS血浆国家标准品
货号:BP2114
规格:1.3IU/支
风险提示:丁香通仅作为第三方平台,为商家信息发布提供平台空间。用户咨询产品时请注意保护个人信息及财产安全,合理判断,谨慎选购商品,商家和用户对交易行为负责。对于医疗器械类产品,请先查证核实企业经营资质和医疗器械产品注册证情况。
- 作者
- 内容
- 询问日期
文献和实验是一种含铁的复合蛋白质,存在于脾脏,小肠粘膜,肝脏和红骨髓中。可从这些脏器分离到其红褐色的结晶,含有 20-24%的 Fe和 1.2-2%的磷。并认为 Fe是以( FeO· OH) 8 ( FeO· OPO3 H2 )的组成形态存在的。用连次亚硫酸钠处理,能够把不含 Fe的无色蛋白质部分(缺铁铁蛋白)和亚铁分开,得到脱铁的铁蛋白( apo-ferritin)结晶,分子量约 48万(由 20个分子量为 2万 4千个亚基组成)。并认为,在生物体内,铁蛋白是参与铁的贮藏及消化时铁
大鼠 转铁蛋白(TRF ) 酶联免疫 分析( ELISA ) 试剂 盒使用说明书 本试剂仅供研究使用 目的:本试剂盒用于测定大鼠血清,血浆及相关液体样本中 转铁蛋白(TRF) 含量 。 实验原理 : 本试剂盒应用 双抗体 夹心法测定 标本 中 大鼠 转铁蛋白(TRF ) 水平。用纯化的 大鼠 转铁蛋白(TRF ) 抗体 包被微孔板,制成固相 抗 体,往包被 单抗 的微孔中依次加入 转铁蛋白(TRF ) ,再与HRP 标记的转铁蛋白
TRF分子量约7.7万,为单链糖蛋白,含糖量约6%.TRF可逆地结合多价离子,包括铁、铜、锌、钴等。每一分子TRF可结合两个三价铁原子。TRF主要由肝细胞合成,半衰期为7天。血浆中TRF的浓度受铁供应的调节,在缺铁状态时,血浆TRF浓度上升,经铁有效治疗后恢复到正常水平。 血浆中TRF水平可用于贫血的诊断和对治疗的监测。在缺铁性的低血色素贫血中TRF的水平增高(由于其合成增加),但其铁的饱和度很低(正常值在30%-38%)。相反,如果贫血是由于红细胞对铁的利用障碍(如再生
技术资料暂无技术资料 索取技术资料










