相关产品推荐更多 >
万千商家帮你免费找货
0 人在求购买到急需产品
- 详细信息
- 技术资料
- 库存:
193
- 英文名:
Liquidambaric acid
- CAS号:
4481-62-3
- 保质期:
长期
- 供应商:
北京百奥莱博科技有限公司
- 保存条件:
冷处(2-10℃)
- 规格:
约20mg/支
特别提示:包括路路通酸在内,本公司的所有产品仅可用于科研实验,严禁用于临床医疗及其他非科研用途!
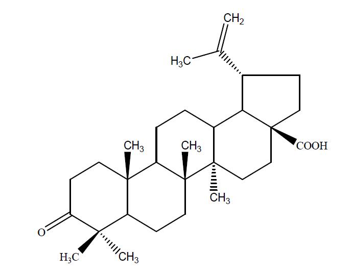
产品名称:路路通酸
英文名称:Liquidambaric acid
产品货号:BP1327
产品规格:约20mg/支
本品为路路通酸化学对照品,供鉴别和含量测定用,含量以96.8%计,使用前不需干燥处理。
CAS号:4481-62-3
分子式:C30H46O3
分子量:454.68
结构式:
包装:棕色安瓿
规格:约20mg/支
储存条件:冷处(2-10℃)保存
除了路路通酸,,我公司还供应以下相关产品:
BP0025 *体酮 50mg/支
BP0077 酚酞 100mg
BP0194 羟甲香豆素 100mg
BP0314 丹蒽醌 100mg
BP0334 盐酸普鲁卡因 100mg
BP0433 昔萘酸沙美特罗 50mg/支
BP0514 二氯*酸二*丙胺 100mg/支
BP0546 兰索拉唑 100mg
BP0672 酒石酸罗格列酮 100mg/支
BP0739 m-甲*-4-磺酸铵(聚甲*磺醛杂质) 30mg/支
BP0928 厄贝沙坦杂质I 50mg/支
BP0930 拉米夫定杂质Ⅰ(拉米夫定酸) 20mg/支
BP1092 华蟾*毒基 20mg
BP1119 甲基正壬酮 约0.1ml/支
BP1321 奇任醇 20mg
BP1349 金胺O 约20mg/支
BP1368 4"-去甲基鬼臼毒素 20mg
BP1417 竹节参皂苷IVa(暂行) 20mg
BP1433 旱莲苷A 10mg/支
BP1590 脱水差向四环素 50mg/支
BP1650 美他环素 100mg
BP1662 庆大霉素C1a 50mg/支
BP1769 伏立康唑杂质A 30mg/支
BP2078 己*甲酯 1ml/瓶
BP2145 非那雄胺杂质Ⅰ 10mg/支
BP2165 氯吡格雷杂质II 50mg/支
BP2172 邻苯二甲*二甲酯 1ml
GL2896 pH标准缓冲粉剂(pH=3.56) 1L
风险提示:丁香通仅作为第三方平台,为商家信息发布提供平台空间。用户咨询产品时请注意保护个人信息及财产安全,合理判断,谨慎选购商品,商家和用户对交易行为负责。对于医疗器械类产品,请先查证核实企业经营资质和医疗器械产品注册证情况。
技术资料暂无技术资料 索取技术资料
路路通酸
¥380 - 3800










