相关产品推荐更多 >
万千商家帮你免费找货
0 人在求购买到急需产品
- 详细信息
- 技术资料
- 库存:
248
- 英文名:
Chidamide
- CAS号:
743438-44-0
- 保质期:
长期
- 供应商:
北京百奥莱博科技有限公司
- 规格:
100mg/支
特别提示:包括西达本胺在内,本公司的所有产品仅可用于科研实验,严禁用于临床医疗及其他非科研用途!
产品名称:西达本胺
英文名称:Chidamide
产品货号:BP2131
产品规格:100mg/支
本品为西达本胺化学对照品,供含量测定用。按C22H19FN4O2计,含量为99.8%
CAS号:743438-44-0
分子式:C22H19FN4O2
分子量:390.42
包装及装量:棕色小瓶装,每支约100毫克。
储存条件:遮光,密封保存。
注意事项:使用前不需干燥处理。
除了西达本胺,,我公司还供应以下相关产品:
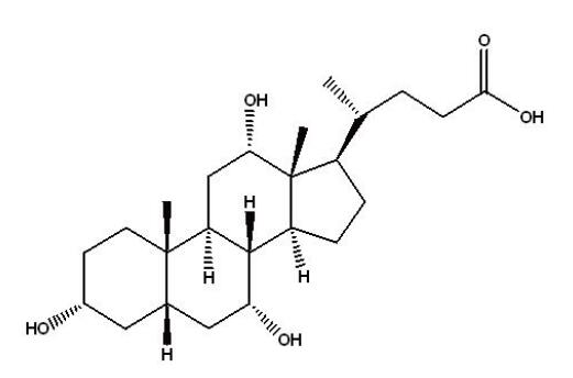
名称:胆酸
货号:BP0067
规格:100mg/支
本品为胆酸(Cholicacid)的化学对照品供含量测定用,使用前不需干燥处理。按C24H40O5计,含量为98.9%。
分子式:C24H40O5
结构式:
分子量:408.57
CAS号:81-25-4
包装及装量:棕色西林瓶装,每支约100mg。
储存条件:遮光,密封保存。
名称:双香豆素
货号:BP0168
规格:100mg
名称:盐酸罗通定
货号:BP0181
规格:100mg
名称:联*苄醇
货号:BP0262
规格:50mg
名称:保泰松
货号:BP0375
规格:100mg
名称:盐酸*啉胍
货号:BP0377
规格:50mg
本品为盐酸*啉胍化学对照品。供UV含量测定用。
分子式:C16H13N5O· HCl
分子量:207.66
CAS号:3160-91-6
包装及装量:棕色小瓶装,每支约50毫克。
储存条件:遮光,密闭保存。
注意事项:105℃干燥2小时后使用。
名称:苄达赖氨酸
货号:BP0428
规格:100mg
名称:蒙脱石
货号:BP0652
规格:1g
本品为蒙脱石化学对照品,供X-射线衍射图谱鉴别用。20℃相对湿度75%条件下饱和12小时后测定X-射线衍射图谱。
包装及装量:棕色西林瓶装,每支约1g。
储存条件:遮光,密封保存。
名称:盐酸米托蒽醌
货号:BP0821
规格:400mg/支
本品为盐酸米托蒽醌化学对照品,供HPLC法含量测定用,按无水物计,含C22H28N4O6·2HCl为99.8%。使用前混匀,自测水分。
CAS号:70476-82-3
分子式:C22H28N4O6·2HCl
分子量:517.41
结构式:
包装:棕色西林瓶装。
装量:约400mg/支。
储存条件:遮光,密封保存。
注意事项:本品具有引湿性,建议打开包装后一次性使用完。
名称:苯丙氨酸
货号:BP1241
规格:20mg
本品为苯丙氨酸化学对照品,供薄层鉴别用。
包装及装量:棕色西林瓶,约20mg
储存条件:干燥密闭保存。
名称:梣酮
货号:BP1301
规格:约20mg/支
本品为供梣酮化学对照品,供鉴别及含量测定用,含量以99.7%计,使用前不需干燥处理。
CAS号:28808-62-0
分子式:C14H16O3
分子量:232.28
结构式:
包装:棕色安瓿瓶
规格:约20毫克/支
储存条件:冷处(2~10℃)保存
名称:苏丹I
货号:BP1487
规格:20mg
本品为苏丹I化学对照品,供检查项对照用。
CAS号:842-07-9
分子式:C16H12N2O
分子量:248.28
结构式:
包装及装量:棕色瓶,约20mg/支
储存条件:常温保存。
名称:放*菌素D系统适用性对照品
货号:BP1750
规格:0.2mg/支
本品为放*菌素D系统适用性对照品,供放*菌素D品种有关物质检查项下系统适用性实验用,使用前不需干燥处理。
分子式:C62H86N12O16
分子量:1255.44
结构式:
包装:白色西林瓶
规格:约0.2mg/支
储存条件:常温遮光保存。
标准图谱:
Welch XB-C18色谱柱(250×4.6mm,5μm)
名称:D-核糖
货号:BP1816
规格:50mg
本品为D-核糖化学对照品,含量为99.6%,供转移因子含量测定用。
CAS号:50-69-1
分子式:C5H10O5
分子量:150.13
结构式:
包装及装量:2ml棕色西林瓶扎铝盖,50mg/瓶。
储存条件:常温保存。
注意事项:使用前不需干燥处理。
名称:环拉酸钠
货号:BP2017
规格:200mg
本品为环拉酸钠化学对照品,供环拉酸钠品种红外光谱鉴别用。
CAS号:139-05-9
分子式:C6H12NNaO3S
分子量:201.22
包装及装量:棕色西林瓶装,每支约200 毫克
储存条件:遮光,密封保存。
注意事项:使用前于105℃干燥2 小时。
名称:*酮酸
货号:BP2026
规格:0.5ml/瓶
本品为*酮酸化学对照品,供*酮酸检查用,使用前不需干燥处理。
CAS号:127-17-3
分子式:C3H4O3
分子量:88.06
包装:棕色安瓿
规格:约0.5ml/支
储存条件:遮光常温保存。
名称:可压性蔗糖
货号:BP2091
规格:200mg
本品为可压性蔗糖化学对照品,仅供可压性蔗糖品种项下红外光吸收图谱鉴别用对照品,使用前不需干燥处理。
包装:棕色西林瓶
规格:约200mg/支
储存条件:遮光、常温保存。
名称:乙酰枸橼酸三丁酯
货号:BP2093
规格:1ml/支
本品为乙酰枸橼酸三丁酯化学对照品,仅供枸橼酸三正丁酯品种含量测定项下分离度用对照品,使用前不需干燥处理。
CAS号:77-90-7
分子式:C20H34O8
分子量:402.48
结构式:
包装:棕色安瓿瓶
规格:约1ml/支
储存条件:避光、常温保存
风险提示:丁香通仅作为第三方平台,为商家信息发布提供平台空间。用户咨询产品时请注意保护个人信息及财产安全,合理判断,谨慎选购商品,商家和用户对交易行为负责。对于医疗器械类产品,请先查证核实企业经营资质和医疗器械产品注册证情况。
技术资料暂无技术资料 索取技术资料
西达本胺
¥380 - 3800










