相关产品推荐更多 >
万千商家帮你免费找货
0 人在求购买到急需产品
- 详细信息
- 技术资料
- 库存:
273
- 英文名:
Kaempferol-3-O-gentionbioside
- CAS号:
22149-35-5
- 保质期:
长期
- 供应商:
北京百奥莱博科技有限公司
- 保存条件:
冷处(2-10℃)
- 规格:
20mg/支
特别提示:包括山柰酚-3-O-龙胆二糖苷在内,本公司的所有产品仅可用于科研实验,严禁用于临床医疗及其他非科研用途!
产品名称:山柰酚-3-O-龙胆二糖苷
英文名称:Kaempferol-3-O-gentionbioside
产品货号:BP1546
产品规格:20mg/支
本品为山柰酚-3-O-龙胆二糖苷化学对照品,供含量测定用,含量以96.2%计,使用前不需干燥处理。
CAS号:22149-35-5
分子式:C27H30O16
分子量:610.52
结构式:
包装:棕色安瓿瓶
装量:约20mg/支
储存条件:冷处(2-10℃)保存
注意事项:本品有引湿性,建议打开包装后一次性使用完。
除了山柰酚-3-O-龙胆二糖苷,,我公司还供应以下相关产品:
名称:格隆溴铵
货号:BP0021
规格:100mg/支
本品供HPLC法测定用,按C19H28BrNO3计,含量为100.0%,使用前不需干燥处理。
分子式:C19H28BrNO3
分子量:398.34
CAS号:596-51-0
包装:棕色西林瓶装。
规格:每支约100毫克。
储存条件:遮光,密封保存。
名称:丙谷胺
货号:BP0143
规格:100mg/支
本品为丙谷胺(Proglumide)的化学对照品,供HPLC法测定,按C18H26N2O4计,含量为99.7%。
分子式:C18H26N2O4
分子量:334.42
CAS号:6620-60-6
包装及装量:棕色小瓶装,每支约100毫克。
储存条件:遮光,密封保存。
注意事项:使用前不需干燥处理。
名称:卡巴胆碱
货号:BP0289
规格:50mg
本品为卡巴胆碱化学对照品,供含量测定用。按C6H15ClN2O2计,供UV法测定,含量为100.0%。
分子式:C6H15ClN2O2
分子量:182.65
CAS号:51-8*-2
包装及装量:棕色小瓶装,每支约50毫克。
储存条件:遮光,密闭保存。
注意事项:使用前不需干燥处理。
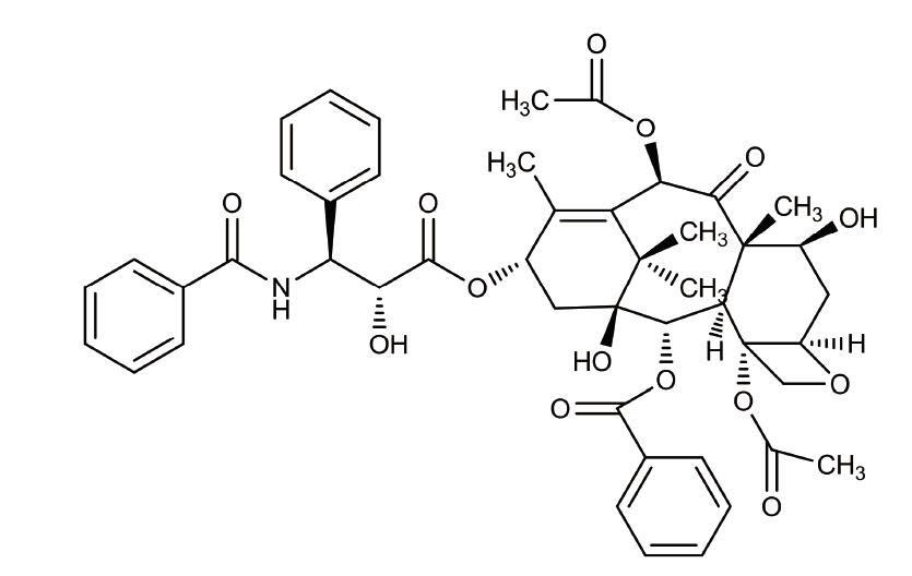
名称:紫杉醇
货号:BP0306
规格:30mg/支
本品为紫杉醇化学对照品,供HPLC法含量测定用,按C47H51NO14计,含量为99.9%,使用前不需干燥处理。
分子式:C47H51NO14
结构式:
分子量:853.91
CAS号:33069-62-4
包装:棕色西林瓶。
规格:30毫克/支。
储存条件:遮光,密封保存。
名称:盐酸坦洛新
货号:BP0531
规格:100mg/支
本品为盐酸坦洛新化学对照品,供HPLC含量测定用。按C20H28N2O5S·HCl计,含量为99.8%。
CAS号:106463-17-6
分子式:C20H28N2O5S·HCl
分子量:444.98
包装及装量:棕色小瓶装,每支约100毫克。
储存条件:密闭保存。
注意事项:105℃干燥2小时后使用。
名称:盐酸罗格列酮杂质
货号:BP0613
规格:50mg
本品为盐酸罗格列酮杂质化学对照品,供系统适用性试验用,供HPLC法测定。
分子式:C18H17N3O3S
分子量:355.41
包装及装量:棕色小瓶装,每支约50毫克
储存条件:遮光,密封保存
注意事项:使用前不需干燥处理。
名称:丁香酚
货号:BP1030
规格:0.5ml/支
本品为丁香酚化学对照品,供鉴别及含量测定用,使用前不需干燥处理。含量以99.3%计。
CAS号:97-53-0
分子式:C10H12O2
分子量:164.21
结构式:
包装:棕色安瓿瓶
规格:约0.5mL
储存条件:冷冻保存
注意事项:本品不稳定,建议打开包装后一次性使用完毕。
名称:大豆苷
货号:BP1329
规格:棕色安瓿瓶
本品为大豆苷化学对照品,供鉴别及含量测定用,含量以93.3%计,使用前不需干燥处理。
CAS号:552-66-9
分子式:C21H20O9
分子量:416.38
结构式:
包装:棕色安瓿瓶
规格:约20毫克/支
储存条件:冷处(2~10℃)保存
注意事项:本品有引湿性,打开包装后一次使用完毕。
名称:利福霉素SV
货号:BP1560
规格:200mg/支
本品为利福霉素SV标准品,供抗生素微生物效价测定用,含量以利福霉素SV单位计,每毫克相当于847单位,使用前不需干燥处理。
CAS号:14897-39-3
分子式:C37H46NNaO12
分子量:720.0
结构式:
包装:白色安瓿
规格:约200mg/支
储存条件:2-8℃遮光保存
名称:脱苏氨醇8奥曲肽
货号:BP1893
规格:2mg/瓶
名称:肝素对照品
货号:BP1911
规格:约50mg/瓶
本品为肝素对照品,供肝素钠、肝素钙分子量与分子量分布检查系统适用性试验使用。本品重均分子量为16200Da。使用前不需干燥。
CAS号:9041-08-1
包装:棕色西林瓶
规格:约50mg/瓶
储存条件:避光,4℃冷藏保存
注意事项:本品具有引湿性。
名称:猪胰岛素(高纯〕
货号:BP1927
规格:约20mg
本品为猪胰岛素(高纯〕生物标准品,供作胰岛素生物检定用。本品系胰岛素的干燥粉末,充氮熔封于硬质玻璃管中。
效价:本品每毫克相当于27 单位。
装量:约20 mg。
储存条件:本品应避光冷藏。
标准溶液的配制::迅速精密称取本品适量,精确加每100 ml中含0.2 g 的甲*并用 0.1 mol/L 盐酸调节 pH 为 2.5 的 0.9%氯化钠溶液,溶解使每毫升含 20 IU,分装熔封于 2 ml 安瓿中(安瓿于 120℃烘干1 小时),置冰箱内贮存,如无沉淀析出可适用 1个月。实验当日用pH 2.5 0.9%氯化钠溶液稀释至所需浓度。
名称:人免疫球蛋白甲型肝炎抗体国家标准品
货号:BP2117
规格:1ml/支冻干
本品为甲型肝炎人免疫球蛋白标准品,主要用于人免疫球蛋白中甲型肝炎抗体的定量检测。
组成和性状:人免疫球蛋白甲型肝炎标准品1支,效价34.5IU/支。冻干剂
装量或标示量:34.5IU/支
储存条件:-20℃
使用方法:每支标准品用1.0ml灭菌无菌水复溶后,甲型肝炎抗体含量为34.5IU/ml。应根据所采用的甲肝检测试剂盒的线性范围,确定本标准品的稀释方案,系列稀释后双孔平行作标准曲线,标准品应与待测样品同时进行检测,根据标准曲线确定待测样品的甲肝抗体含量。
名称:pH标准缓冲溶液(pH=10.00)
货号:GL1355
规格:50ml|100ml|500ml
用途:
校正pH计或酸度计
注意事项:
该pH值是指在25℃条件下的值,误差范围在0.01,注意密闭保存。
储存条件:4℃,12个月
名称:pH标准缓冲粉剂(pH=1.68)
货号:GL2895
规格:1L
用途:
校正pH计或酸度计
注意事项:
该pH值是指在25℃条件下的值,误差范围在0.01,注意密闭保存。
储存条件:室温,24个月
风险提示:丁香通仅作为第三方平台,为商家信息发布提供平台空间。用户咨询产品时请注意保护个人信息及财产安全,合理判断,谨慎选购商品,商家和用户对交易行为负责。对于医疗器械类产品,请先查证核实企业经营资质和医疗器械产品注册证情况。
技术资料暂无技术资料 索取技术资料
山柰酚-3-O-龙胆二糖苷
¥380 - 3800









