相关产品推荐更多 >
万千商家帮你免费找货
0 人在求购买到急需产品
- 详细信息
- 文献和实验
- 技术资料
- 库存:
476
- 英文名:
Carvedilol
- CAS号:
72956-09-3
- 保质期:
长期
- 供应商:
北京百奥莱博科技有限公司
- 规格:
100mg/支
特别提示:包括卡维地洛在内,本公司的所有产品仅可用于科研实验,严禁用于临床医疗及其他非科研用途!
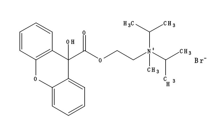
产品名称:卡维地洛
英文名称:Carvedilol
产品货号:BP0562
产品规格:100mg/支
本品为卡维地洛化学对照品,供含量测定用,使用前不需干燥处理,按C24H26N2O4计,含量为99.6%。
CAS号:72956-09-3
分子式:C24H26N2O4
分子量:406.48
结构式:
包装:棕色西林瓶
规格:约100毫克/支
储存条件:遮光,密闭,干燥处保存
除了卡维地洛,,我公司还供应以下相关产品:
名称:双羟萘酸噻嘧啶
货号:BP0075
规格:50mg
名称:富马酸氯马斯汀
货号:BP0187
规格:100mg
名称:双嘧达莫
货号:BP0197
规格:100mg
本品为双嘧达莫(Dipyridamole)的化学对照品,供含量测定用,使用前不需干燥处理。按C24H40N8O4计,含量为99.8%。
分子式:C24H40N8O4
分子量:504.63
CAS号:58-32-2
包装及装量:棕色小瓶装,每支约100毫克。
储存条件:遮光,密闭保存。
注意事项:使用前不需处理。
名称:泛酸钠
货号:BP0222
规格:100mg
本品为泛酸钠的化学对照品,供HPLC法测定,按C9H16NNaO5计,含量为99.9%,建议RH50%以下使用。
分子式:C9H16NNaO5
分子量:241.22
CAS号:867-81-2
包装及装量:棕色小瓶装,每支约100毫克。
储存条件:室温密封保存。
注意事项:105℃干燥3小时后使用。
名称:替硝唑
货号:BP0271
规格:100mg
本品为替硝唑的化学对照品,供含量测定用按C8H13N3O4S计,供HPLC测定,含量为99.8%;供UV测定,含量为99.9%。
分子式:C8H13N3O4S
分子量:247.28
CAS号:19387-91-8
包装及装量:棕色小瓶装,每支约100毫克。
储存条件:遮光,密封保存。
注意事项:使用前不需干燥处理。
名称:盐酸噻氯匹定
货号:BP0412
规格:100mg
名称:盐酸西替利嗪
货号:BP0508
规格:100mg/支
本品为盐酸西替利嗪化学对照品,供含量测定用。按C21H25ClN2O3·2HCl计,供UV法测定,含量为99.8%计;供HPLC法测定,含量为99.3%。
CAS号:83881-52-1
分子式:C21H25ClN2O3·2HCl
分子量:461.81
包装及装量:棕色小瓶装,每支约100毫克。
储存条件:遮光、阴凉处密封保存。
注意事项:使用前不需要干燥处理。
名称:D-焦谷氨酸
货号:BP0603
规格:50mg/支
本品为D-焦谷氨酸化学对照品,供HPLC检查用,以C19H25N3O6S计,含量为99.7%,使用前不需干燥处理。
CAS号:4042-36-8
分子式:C19H25N3O6S
分子量:129.11
包装:棕色西林瓶装
规格:约50毫克/支。
储存条件:遮光,密封保存。
名称:雷米普利杂质Ⅳ(雷米普利二酮哌*)
货号:BP0984
规格:50mg/支
本品为雷米普利杂质Ⅳ(雷米普利二酮哌*)化学对照品,供HPLC法系统适用性试验用,使用前不需干燥处理。
CAS号:108731-95-9
分子式:C21H28N2O5
分子量:398.50
结构式:
包装:棕色西林瓶
规格:50毫克/支
储存条件:遮光,10~30℃密闭保存。
名称:茴香醛
货号:BP1122
规格:0.2ml
本品为茴香醛化学对照品,供相关物质鉴别用。
分子式:C8H8O2
分子量:136.15
包装及装量:熔封于2ml安瓿瓶中。
储存条件:干燥密闭、避光保存。
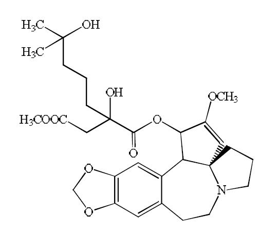
名称:高三尖杉酯碱
货号:BP1189
规格:20mg
本品为高三尖杉酯碱化学对照品,供含量测定用。
分子式:C29H39NO9
分子量:545.62
结构式:
包装:棕色瓶。
装量:每支约 20 毫克。
保存条件:干燥密闭保存。
名称:金利油
货号:BP1209
规格:0.1ml
名称:降香挥发油
货号:BP1221
规格:0.2ml
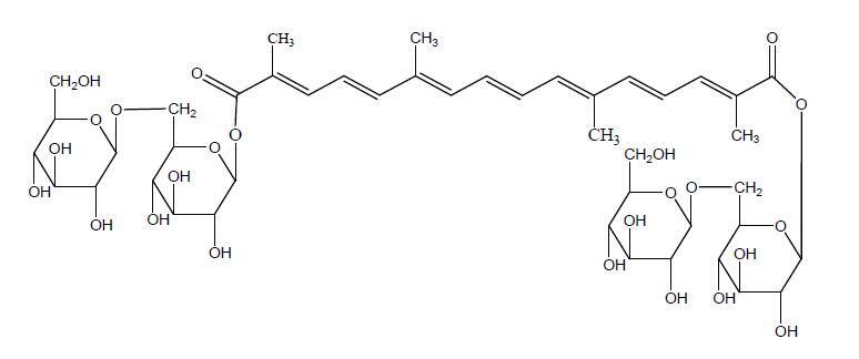
名称:西红花苷-I
货号:BP1226
规格:20mg
本品为西红花苷-I化学对照品,供含量测定用,含量以92.6%计。
CAS号:94238-00-3
分子式:C44H64O24
分子量:976.96
结构式:
包装及装量:棕色安瓿,约20mg/支
储存条件:冷冻避光保存。
注意事项:使用前无需处理。
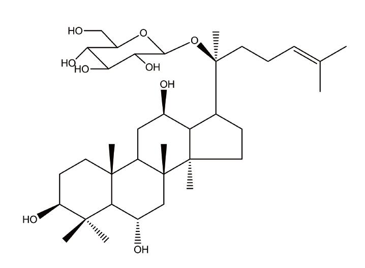
名称:20(S)-人参皂苷F1
货号:BP1345
规格:20mg/支
本品为20(S)-人参皂苷F1化学对照品,供鉴别及含量测定用,含量以93.5%计,使用前不需干燥处理。
CAS号:53963-43-2
分子式:C36H62O9
分子量:638.87
结构式:
包装:棕色安瓿瓶
装量:约20mg/支
储存条件:冷冻保存
注意事项:本品有引湿性,打开包装后一次使用完毕。
名称:鲑降钙素
货号:BP1813
规格:10mg/瓶
本品为鲑降钙素生物标准品,含量为88.7%,效价为5322 IU/mg,供鲑降钙素含量与效价测定用。
分子式:C145H240N44O48S2
分子量:3432
包装及装量:棕色瓶,约10mg/支
储存条件:遮光,密封, 2~8℃保存
注意事项:使用前不需处理
名称:苯乙酰谷氨酰胺
货号:BP1870
规格:40mg/支
本品为苯乙酰谷氨酸胺化学对照品,供尿多酸肽及制剂HPLC鉴别与含量测定用。使用前60℃减压干燥4小时。
分子式:C13H16N2O4
分子量:264.28
结构式:
包装:西林瓶
规格:每支约40mg
储存条件:密封4℃保存
名称:2-氨基-5-氯二苯酮(氯*卓杂质I)
货号:BP1966
规格:50mg/支
本品为氯*卓杂质I(2-氨基-5-氯二苯酮)化学对照品,供有关物质检查时,作对照用。
包装及装量:棕色瓶,约50mg/支
储存条件:避光,密闭保存。
注意事项:本品使用前不需干燥,可直接使用。
名称:9-羟基溴丙胺太林
货号:BP2135
规格:50mg/支
本品为9-羟基溴丙胺太林化学对照品,供HPLC法检查用,使用前不需干燥处理,按C23H30BrNO4计,含量为98.5%。
CAS号:93446-02-7
分子式:C23H30BrNO4
分子量:464.39
结构式:
包装:棕色西林瓶装
装量:每支约50mg。
储存条件:遮光,密封保存。
风险提示:丁香通仅作为第三方平台,为商家信息发布提供平台空间。用户咨询产品时请注意保护个人信息及财产安全,合理判断,谨慎选购商品,商家和用户对交易行为负责。对于医疗器械类产品,请先查证核实企业经营资质和医疗器械产品注册证情况。
文献和实验(2)β受体阻断药 ①β1、β2受体阻断药(普萘洛尔、索他洛尔) ②β1受体阻断药(美托洛尔、醋丁洛尔) ③β2受体阻断药(布他沙明) (3)α、β受体阻断药(拉贝洛尔、卡维地洛)
比propranolol少,可用于治疗糖尿病。 三、α、β受体阻断药 本类药物是第三代、非选择性的β受体阻断药,不但对β受体有阻断作用,而且对α受体也有阻断作用。拉贝洛尔、卡维地洛、布新洛尔属于此类。 拉贝洛尔 Labetolol 又称柳胺苄心啶,阻断β受体作用较强,对β1、β2 受体无选择性。对α1的阻断作用强于α2受体。 【药理作用】 1.阻断血管平活肌α1受体,使阻力血管扩张,外周阻力降低,容量血管也扩张,回心
的心血管病人的住院率并改善心功能,尤其明显提高左心室的射血分数。b-受体阻断药中以卡维地洛(carvedilol)最为常用,它可以阻断b1、b2和 a1受体。在美国FDA批准用于临床的只有carvedilol。美国的研究发现,长期使用carvedilol治疗,可以大幅度的降低住院率。 【药理作用和作用机制】 ①抗交感神经作用 拮抗CHF时过高的交感神经活性、减慢心率、抗心律失常;抑制外周血管收缩;抑制RAAS系统激活;抑制CHF时高浓度的NA对心肌的直接毒性,抑制由于NA过多
技术资料暂无技术资料 索取技术资料










