相关产品推荐更多 >
万千商家帮你免费找货
0 人在求购买到急需产品
- 详细信息
- 文献和实验
- 技术资料
- 库存:
423
- 英文名:
Bemegride
- 保质期:
长期
- 供应商:
北京百奥莱博科技有限公司
- 保存条件:
冷藏
- 规格:
100mg
特别提示:包括贝美格在内,本公司的所有产品仅可用于科研实验,严禁用于临床医疗及其他非科研用途!
产品名称:贝美格
英文名称:Bemegride
产品货号:BP0352
产品规格:100mg
除了贝美格,,我公司还供应以下相关产品:
名称:香草醛
货号:BP0078
规格:1000mg
本品为香草醛(Vanillin),仅供熔点温度计校准用,按照熔点测定法第一法测定,升温速度以分钟上升1.5℃为宜,熔点为83℃。
CAS号:121-33-5
分子式:C8H8O3
分子量:152.15
包装及装量:棕色小瓶装,每支约1克。
储存条件:遮光,密封保存。
注意事项:五氧*二磷室温减压干燥过夜后使用。
名称:丁*氢化可的松
货号:BP0241
规格:约50毫克
本品为丁*氢化可的松化学对照品,供鉴别和含量测定用。以C25H36O6计,供HPLC法测定,含量为99.7%。
分子式:C25H36O6
分子量:432.56
CAS号:13609-67-1
包装及装量:棕色小瓶,每支约50毫克
储存条件:干燥避光,室温密闭保存
注意事项:本品不需干燥处理,直接称取,避光操作。
名称:异丙托溴铵
货号:BP0400
规格:100mg
名称:醋酸环丙孕酮
货号:BP0410
规格:100mg/支
本品为醋酸环丙孕酮化学对照品,供HPLC法含量测定用,以C24H29ClO4计,含量为99.7%,使用前不需干燥处理。
分子式:C24H29ClO4
分子量:416.9
CAS号:427-51-0
包装:棕色西林瓶
规格:约100毫克/支
储存条件:遮光,密封保存
名称:醋甲唑胺
货号:BP0451
规格:100mg
名称:西尼地平
货号:BP0737
规格:100mg
名称:N-甲基帕罗西汀
货号:BP0833
规格:50mg
名称:氯诺昔康杂质Ⅰ(2-氨**啶)
货号:BP0982
规格:50mg/支
本品为氯诺昔康杂质Ⅰ(2-氨**啶)化学对照品,供HPLC法检查用,按C5H6N2计,含量为100%,使用前不需干燥处理。
CAS号:504-29*0
分子式:C5H6N2
分子量:94.11
结构式:
包装:棕色安瓿瓶。
规格:约50毫克/支。
储存条件:遮光,密封,10~30℃保存。
注意事项:本品具有引湿性,建议一次性使用完毕。
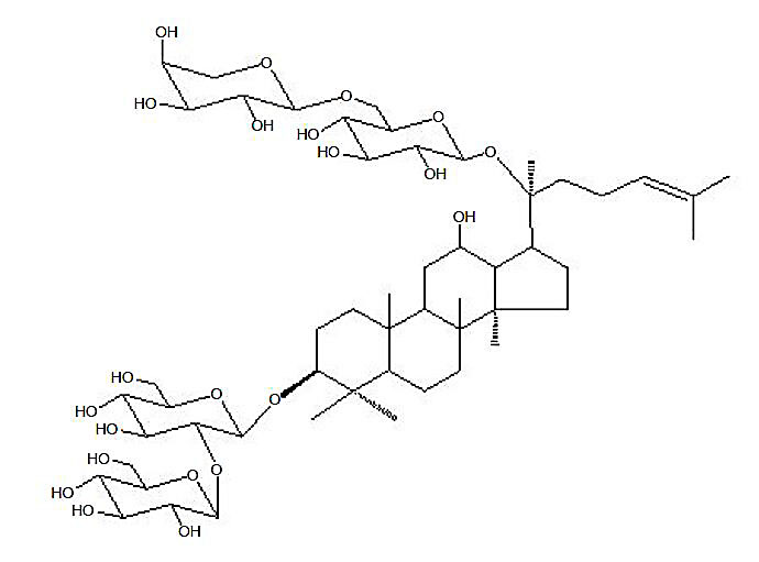
名称:人参皂苷Rb2
货号:BP1314
规格:约10mg/支
本品为人参皂苷Rb2化学对照品,供供鉴别或含量测定用,含量以93.8%计。
CAS号:11021-13-9
分子式:C53H90O22
分子量:1079.27
结构式:
包装及装量:棕色安瓿瓶,约20mg/支
储存条件:冷冻保存
注意事项:使用前无需干燥处理。本品有引湿性,打开包装后一次使用完毕。
名称:两性霉素B
货号:BP1561
规格:50mg
本品为两性霉素B标准品,供微生物效价测定用,使用前不需干燥处理。
分子式:C47H73NO17
分子量:924.09
结构式:
包装:棕色安瓿
规格:约50mg/支
储存条件:2-8℃遮光保存
注意事项:本品溶液建议配制后立即使用。
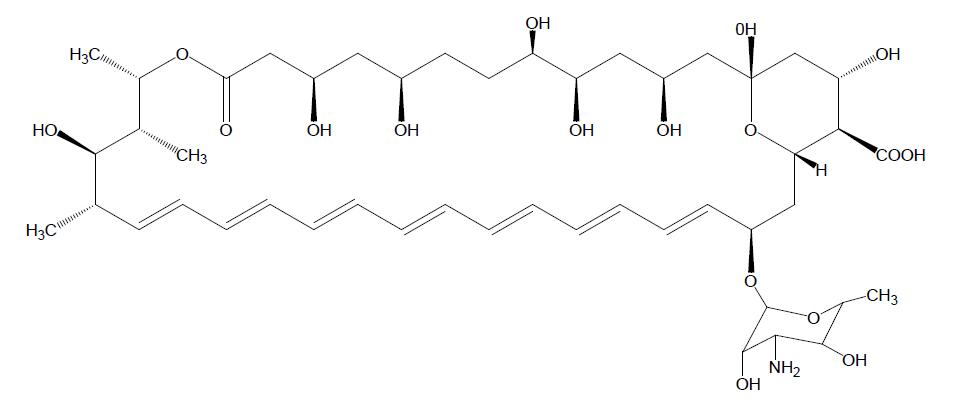
名称:醌式利福平
货号:BP1599
规格:50mg/支
本品为醌式利福平标准品,供检查用,以C43H56N4O12计,含量为92.8%,使用前不需干燥处理。
CAS号:13983-13-6
分子式:C43H56N4O12
分子量:820.4
结构式:
包装:棕色安瓿
规格:50mg/支
储存条件:2-8℃遮光保存。
名称:胸腺五肽
货号:BP1860
规格:50mg
本品为胸腺五肽化学对照品,含量以C30H49N9O9计为95.5%,供胸腺五肽及其制剂的HPLC法鉴别与含量测定使用。
CAS号:69558-55-0
分子式:C30H49N9O9
分子量:679.77
结构式:
包装:棕色西林瓶
装量:50mg/瓶
储存条件:4℃,避光
名称:重组人凝血因子VIIa国家标准品
货号:BP2118
规格:1.0ml/支
本品为重组人凝血因子VIIa标准品,由重组人凝血因子VIIa原液经缓冲液稀释后分装冻干而成。用于重组人凝血因子VIIa产品效价测定。
组成和性状:重组人凝血因子VIIa,20mg/ml人血白蛋白。冻干剂型
装量和标示量:1568IU/支
使用方法:用1.0ml无菌水复溶后备用
储存条件:-20℃以下
注意事项:非人用品。复溶后的标准品冰浴保存待用。禁止冻融。
名称:标准葡萄糖溶液(1mg/ml)
货号:GL2319
规格:1ml
用途:
葡萄糖浓度测定的标准物质。
注意事项:
主要由高纯度无水葡萄糖、超纯无菌去离子水配置。
储存条件:-20℃,12个月
风险提示:丁香通仅作为第三方平台,为商家信息发布提供平台空间。用户咨询产品时请注意保护个人信息及财产安全,合理判断,谨慎选购商品,商家和用户对交易行为负责。对于医疗器械类产品,请先查证核实企业经营资质和医疗器械产品注册证情况。
文献和实验,安全范围大,临床常用于各种原因所致中枢性呼吸抑制。一般间歇静脉注射给药效果较好。 二甲弗林 二甲弗林(dimefline,回苏灵)直接兴奋呼吸中枢,作用强于尼可刹米、贝美格,使肺换气量及动脉PO 2 提高,PCO 2 降低。临床用于中枢性呼吸抑制。过量可致惊厥。静脉给药需稀释后缓慢注射,并严密观察患者反应。 山梗菜碱 山梗菜碱(lobeline,洛贝林)是从山梗菜提取
,安全范围大,临床常用于各种原因所致中枢性呼吸抑制。一般间歇静脉注射给药效果较好。 二甲弗林 二甲弗林(dimefline,回苏灵)直接兴奋呼吸中枢,作用强于尼可刹米、贝美格,使肺换气量及动脉PO 2 提高,PCO 2 降低。临床用于中枢性呼吸抑制。过量可致惊厥。静脉给药需稀释后缓慢注射,并严密观察患者反应。 山梗菜碱 山梗菜碱(lobeline,洛贝林)是从山梗菜提取
,安全范围大,临床常用于各种原因所致中枢性呼吸抑制。一般间歇静脉注射给药效果较好。 二甲弗林 二甲弗林(dimefline,回苏灵)直接兴奋呼吸中枢,作用强于尼可刹米、贝美格,使肺换气量及动脉PO 2 提高,PCO 2 降低。临床用于中枢性呼吸抑制。过量可致惊厥。静脉给药需稀释后缓慢注射,并严密观察患者反应。 山梗菜碱 山梗菜碱(lobeline,洛贝林)是从山梗菜提取
技术资料暂无技术资料 索取技术资料









