相关产品推荐更多 >
万千商家帮你免费找货
0 人在求购买到急需产品
- 详细信息
- 文献和实验
- 技术资料
- 库存:
107
- 英文名:
Isosorbide 2-nitrate
- CAS号:
16106-20-0
- 保质期:
长期
- 供应商:
北京百奥莱博科技有限公司
- 规格:
50mg/支
特别提示:包括2-单硝酸异山梨酯在内,本公司的所有产品仅可用于科研实验,严禁用于临床医疗及其他非科研用途!
产品名称:2-单硝酸异山梨酯
英文名称:Isosorbide 2-nitrate
产品货号:BP0536
产品规格:50mg/支
本品为2-单硝酸异山梨酯化学对照品,供HPLC法测定,按C6H9NO6计,含量为100.0%。
CAS号:16106-20-0
分子式:C6H9NO6
分子量:191.14
包装及装量:棕色瓶,约50mg/支
储存条件:遮光密封保存
注意事项:受热或受到撞击易发生爆炸,使用前不需干燥处理。
除了2-单硝酸异山梨酯,,我公司还供应以下相关产品:
名称:酚磺*胺
货号:BP0108
规格:100mg
本品为酚磺*胺(Etamsylate)的化学对照品,按C10H17NO5S计,含量为99.5%。
分子式:C10H17NO5S
分子量:263.31
CAS号:2624-44-4
包装及装量:棕色小瓶装,每支约100毫克。
储存条件:遮光,密封保存。
注意事项:使用前不需干燥处理。
名称:N-甲基*嗪
货号:BP0114
规格:50mg
本品为N-甲基*嗪(N-Methylpiperazini)化学对照品,供检查用。
分子式:C5H12N2
分子量:100.17
CAS号:3900-45-6
包装及装量:棕色小瓶装,每支约50毫克。
储存条件:遮光,密闭保存。
注意事项:使用前不需干燥处理。
名称:哈西奈德
货号:BP0118
规格:100mg/支
本品为哈西奈德(Halcinonide)的化学对照品,供HPLC法鉴别和含量测定用。本品105℃干燥3小时后使用,以C24H32ClFO5计,含量为99.2%。
分子式:C24H32ClFO5
结构式:
分子量:454.97
CAS号:3093-35-4
包装:棕色西林瓶
规格:约100毫克/支
储存条件:密闭避光保存
名称:醋酸去氧皮质酮
货号:BP0185
规格:30mg
名称:盐酸肼屈嗪
货号:BP0211
规格:50mg
名称:托品酸N-异丙基去甲托品酯
货号:BP0355
规格:50mg
本品为托品酸N-异丙基去甲托品酯化学对照品,供TLC法有关物质检查用。
分子式:C19H27NO3
分子量:317.42
包装及装量:棕色小瓶装,每支约50毫克。
储存条件:遮光,密封保存。
注意事项:使用前不需干燥处理。
名称:喹那普利杂质Ⅰ
货号:BP0435
规格:20mg/支
名称:马来酸依那普利杂质Ⅱ(依那普利双酮)
货号:BP0544
规格:30mg/支
本品为马来酸依那普利杂质Ⅱ(依那普利双酮)化学对照品,使用前不需干燥处理。供HPLC法系统适用性试验用。
CAS号:115729-52-7
分子式:C20H26N2O4
分子量:358.43
马来酸依那普利、依那普利拉(杂质Ⅰ)和依那普利双酮(杂质Ⅱ)混合溶液色谱图
色谱柱:Shiseido Capcell PAK DD C 84.6*250mm,5um
包装:西林瓶装
规格:约30mg/支
储存条件:遮光,密封,10~30℃保存。
名称:醋氯芬酸
货号:BP0597
规格:约100毫克/支
本品为醋氯芬酸化学对照品,105℃干燥2小时后使用,按C16H13Cl2NO4计,供HPLC法测定,含量为99.9%;供UV法测定,含量为100.0%。
CAS号:89796-99-6
分子式:C16H13Cl2NO4
分子量:354.19
包装:棕色西林瓶
规格:约100毫克/支
储存条件:遮光,10~30℃密闭保存
名称:亚磷*
货号:BP0870
规格:3ml/支,约1mg/ml
名称:盐酸溴己新杂质
货号:BP0992
规格:30毫克/支
名称:人参三醇
货号:BP1014
规格:20mg/支
本品为人参三醇化学对照品,供相关物质鉴别用,使用不需干燥处理。
CAS号:32791-84-7
分子式:C30H52O4
分子量:476.7
结构式:
包装:棕色安瓿瓶。
装量:约20mg/支
储存条件:冷处(2~10℃)保存。
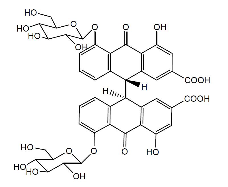
名称:番泻苷A
货号:BP1110
规格:20mg/支
本品为番泻苷A化学对照品,供含量测定用,使用前不需干燥处理,含量以95.2%计。
CAS号:81-27-6
分子式:C42H38O20
分子量:862.74
结构式:
包装:棕色安瓿瓶
规格:约20mg/支
储存条件:冷冻保存
注意事项:本品有引湿性,打开包装后一次使用完毕。
名称:虎杖苷
货号:BP1217
规格:20mg/支
本品为虎杖苷化学对照品,供鉴别及含量测定用,含量以87.3%计,使用前不需干燥处理。
CAS号:27208-80-6
分子式:C20H22O8
分子量:390.38
结构式:
包装:棕色安瓿瓶
装量:约20mg/支
储存条件:冷处(2~10℃)保存
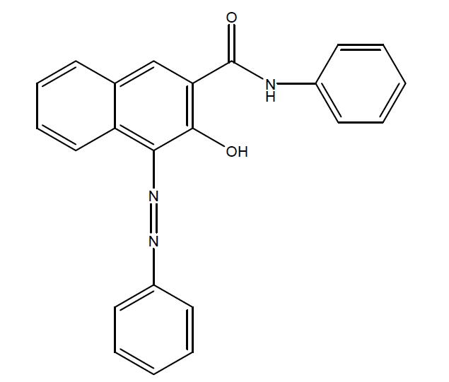
名称:808猩红
货号:BP1478
规格:10mg/支
本品为808猩红化学对照品。
CAS号:3789-75-1
分子式:C23H17N3O2
分子量:367.13
结构式:
包装:棕色瓶
装量:约10mg/支
储存条件:冷处(2-10℃)保存
名称:山柰酚-3-O-龙胆二糖苷
货号:BP1546
规格:20mg/支
本品为山柰酚-3-O-龙胆二糖苷化学对照品,供含量测定用,含量以96.2%计,使用前不需干燥处理。
CAS号:22149-35-5
分子式:C27H30O16
分子量:610.52
结构式:
包装:棕色安瓿瓶
装量:约20mg/支
储存条件:冷处(2-10℃)保存
注意事项:本品有引湿性,建议打开包装后一次性使用完。
名称:碳酸丙*酯
货号:BP2054
规格:1ml/瓶
本品为碳酸丙*酯化学对照品,仅供碳酸丙*酯品种项下红外鉴别用,使用前不需干燥处理。
CAS号:108-32-7
分子式:C4H6O3
分子量:102.09
包装:棕色安瓿瓶
规格:约1ml/瓶
储存条件:常温保存
注意事项:建议打开包装一次性使用完
名称:6-甲基香豆素
货号:BP2171
规格:100mg/支
本品为6-甲基香豆素化学对照品,供HPLC法和GC法检查用,按C10H8O2计,含量为 100%,使用前不需干燥处理。
CAS号:92-48-8
分子式:C10H8O2
分子量:160.17
包装及装量:棕色西林瓶装,每支约100毫克
储存条件:遮光,密封保存
风险提示:丁香通仅作为第三方平台,为商家信息发布提供平台空间。用户咨询产品时请注意保护个人信息及财产安全,合理判断,谨慎选购商品,商家和用户对交易行为负责。对于医疗器械类产品,请先查证核实企业经营资质和医疗器械产品注册证情况。
文献和实验,减少回心血量、降低前负荷;舒张外周小动脉、降低血压,减轻后负荷;降低室壁肌张力;减慢心率及降低收缩性等作用而降低心肌对氧的需求。实际上,常用的抗心绞痛药正是通过对这两方面的影响,恢复氧的供需平衡而发挥治疗作用的。 一、硝酸酯类及亚硝酸酯类 硝酸酯类药物有:硝酸甘油,硝酸异山梨酯,单硝酸异山梨酯,其中硝酸甘油最常用,戊四硝酯及吸入用的亚硝酸异戊酯已少用。 可见,所有硝酸酯类化合物均为硝酸多元酯结构,具有高脂溶性,它们结构中的O-NO 2
1.2 给药方法:两组均静点钾镁极化液15天,口服单硝酸异山梨酯片20mg,一日三次。A组进行溶栓:使用国产激酶,用量为50万单位,加液体100ml,在半小时内滴完,每日一次,连用3天。之后抗凝治疗:予以肝素钠注射液12500单位入200ml液体中静点,每日一次,连用5天。其后进行活血化瘀治疗予以注射用丹参800mg入200ml液体中静点,每日一次,连用7天。总疗程共15天。B组:予以注射用丹参800mg,入200ml液体中静点,每日一次,连用15天为一疗程。 1.3 观察指标:分别旦
循环的形成而增加冠状动脉供血。药物也可通过舒张静脉,减少回心血量、降低前负荷;舒张外周小动脉、降低血压,减轻后负荷;降低室壁肌张力;减慢心率及降低收缩性等作用而降低心肌对氧的需求。实际上,常用的抗心绞痛药正是通过对这两方面的影响,恢复氧的供需平衡而发挥治疗作用的。 一、硝酸酯类及亚硝酸酯类 硝酸酯类药物有:硝酸甘油,硝酸异山梨酯,单硝酸异山梨酯,其中硝酸甘油最常用,戊四硝酯及吸入用的亚硝酸异戊酯已少用。 可见,所有硝酸
技术资料暂无技术资料 索取技术资料










