相关产品推荐更多 >
万千商家帮你免费找货
0 人在求购买到急需产品
- 详细信息
- 文献和实验
- 技术资料
- 库存:
52
- 英文名:
Miglitol
- CAS号:
72432-03-2
- 保质期:
长期
- 供应商:
北京百奥莱博科技有限公司
- 规格:
100mg/支
特别提示:包括米格列醇在内,本公司的所有产品仅可用于科研实验,严禁用于临床医疗及其他非科研用途!
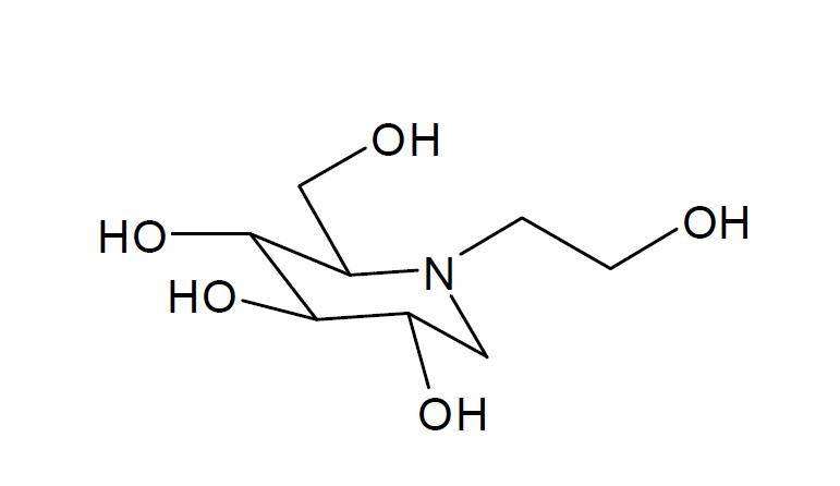
产品名称:米格列醇
英文名称:Miglitol
产品货号:BP0926
产品规格:100mg/支
本品为米格列醇化学对照品,供HPLC法含量测定用,以C8H17NO5计,含量为100.0%。使用前无需干燥处理。
CAS号:72432-03-2
分子式:C8H17NO5
分子量:207.22
结构式:
包装:棕色西林瓶。
规格:约100mg/支。
储存条件:遮光,密封,干燥处保存。
除了米格列醇,,我公司还供应以下相关产品:
名称:苄氟噻嗪
货号:BP0007
规格:100mg
名称:醋酸氟轻松
货号:BP0010
规格:100mg/支
本品为醋酸氟轻松(Fluocinonide),按C26H32F2O7计,供HPLC法测定,含量为99.6%;供UV法测定,含量为100%。
分子式:C26H32F2O7
分子量:494.53
CAS号:356-12-7
包装及装量:棕色小瓶装,每支约100毫克。
储存条件:遮光,密封保存。
注意事项:105℃干燥2小时后使用,溶液临用新制。
名称:氨基己*
货号:BP0083
规格:300mg
本品为氨基己*(Aminocaproicacid),供HPLC法含量测定,按C6H13NO2计,含量为99.4%。
分子式:C6H13NO2
分子量:131.17
CAS号:60-32-2
包装及装量:棕色小瓶装,每支约300毫克。
储存条件:遮光,密封保存。
注意事项:105℃干燥2小时后使用。
名称:酚磺*胺
货号:BP0108
规格:100mg
本品为酚磺*胺(Etamsylate)的化学对照品,按C10H17NO5S计,含量为99.5%。
分子式:C10H17NO5S
分子量:263.31
CAS号:2624-44-4
包装及装量:棕色小瓶装,每支约100毫克。
储存条件:遮光,密封保存。
注意事项:使用前不需干燥处理。
名称:黄豆甙元
货号:BP0278
规格:100mg
本品为黄豆苷元的化学对照品。供含量测定用。按C15H10O4计,供HPLC法测定,含量为99.7%;供UV法测定,含量为100.0%。
分子式:C15H10O4
分子量:254.24
CAS号:486-66-8
包装及装量:棕色小瓶装,每支约100毫克。
储存条件:遮光,密封,在干燥处保存。
注意事项:使用前不需干燥处理。
名称:阿苯达唑
货号:BP0299
规格:100mg/支
本品为阿苯达唑化学对照品,供UV法测定,按C12H15N3O2S计,含量为99.9%。
分子式:C12H15N3O2S
分子量:265.34
CAS号:54965-21-8
包装及装量:棕色小瓶装,每支约100毫克。
储存条件:密封保存。
注意事项:105℃干燥2 小时后使用。
名称:硫酸羟氯喹
货号:BP0445
规格:50mg
名称:盐酸雷莫司琼
货号:BP0509
规格:100mg/支
本品为盐酸雷莫司琼化学对照品,供含量测定用。供HPLC法测定,按C17H17N3O.HCl计,含量为99.5%。
CAS号:132907-72-3
分子式:C17H17N3O.HCl
分子量:315.80
包装及装量:棕色小瓶装,每支约100毫克。
储存条件:遮光,密闭保存。
注意事项:使用前不需干燥处理。
名称:阿那曲唑
货号:BP0593
规格:100mg
本品为阿那曲唑化学对照品,使用前不需干燥处理。按C17H19N5计,供HPLC含量测定用,含量为99.7%。
CAS号:120511-73-1
分子式:C17H19N5
分子量:293.37
结构式:
包装及装量:棕色西林瓶装,每支约100毫克。
储存条件:遮光,密封保存。
名称:丙戊*镁
货号:BP0836
规格:50mg
名称:非洛地平杂质Ⅰ
货号:BP0854
规格:50mg
本品为非洛地平杂质Ⅰ化学对照品,供检查用,使用前不需干燥处理。供HPLC法测定,按C18H17Cl2NO4计,含量为100%。
分子式:C18H17Cl2NO4
分子量:382.25
结构式:
包装及装量:棕色西林瓶,约50mg/支。
储存条件:遮光,密封保存。
名称:野黄芩苷
货号:BP1124
规格:约20mg/支
本品为野黄芩苷化学对照品,供鉴别及含量测定用,含量以91.7%计,使用前不需干燥处理。
CAS号:27740-01-8
分子式:C21H18O12
分子量:462.36
结构式:
包装:棕色安瓿瓶
规格:约20mg/支
储存条件:冷处(2-10℃)保存
注意事项:本品具引湿性,建议打开包装一次性使用完。
名称:苯甲醛
货号:BP1264
规格:约0.5ml/支
本品为苯甲醛化学对照品,供含量测定用,含量以99.9%计。
分子式:C7H6O
分子量:106.13
包装及装量:棕色安瓿瓶每支约0.5ml
储存条件:室温保存。
注意事项:使用前无需处理。本品挥发性强,打开包装后立即使用,一次使用完毕。
名称:木犀草苷
货号:BP1318
规格:约20mg/支
本品为木犀草苷化学对照品,供鉴别和含量测定用,含量以94.9%计,使用前不需干燥处理。
CAS号:5373-11-5
分子式:C21H20O11
分子量:448.38
结构式:
包装:棕色安瓿
规格:约20mg/支
储存条件:冷冻保存
注意事项:本品有引湿性,开封后一次使用完毕。
名称:葫芦素B
货号:BP1481
规格:20mg
本品为葫芦素B化学对照品,供鉴别和含量测定用,含量以96.9%计。
CAS号:6199-67-3
分子式:C32H46O8
分子量:558
结构式:
包装及装量:棕色安瓿瓶,约20mg/支
储存条件:室温干燥保存。
注意事项:使用前无需处理。
名称:尖吻蝮蛇血凝酶
货号:BP1874
规格:6u
本品为尖吻蝮蛇血凝酶化学对照品,供尖吻蝮蛇血凝酶及制剂鉴别用,使用前放置室温。
包装:白色轧盖西林瓶
规格:每瓶6U
储存条件:-20℃保存。
名称:白凡士林
货号:BP2047
规格:500mg/支
本品为白凡士林化学对照品,供白凡士林品种红外光吸收图谱鉴别用。
CAS号:8009-03-8
包装:棕色安瓿
规格:约500mg/瓶
储存条件:遮光、常温保存。
名称:二甲硅油500
货号:BP2072
规格:1ml/支
本品为二甲硅油500化学对照品,仅供二甲硅油品种项下二甲硅油500型号红外光谱吸收度及含量测定用,使用前不需干燥处理。
CAS号:9006-65-9
分子式:(C2H6OSi)n
结构式:
包装:棕色安瓿
规格:约1ml/支
储存条件:遮光、常温保存
名称:吉非替尼
货号:BP2143
规格:100mg/支
本品为吉非替尼化学对照品,供IR法鉴别和含量测定用,按C22H24ClFN4O3计,含量为99.8%,使用前不需干燥处理。
CAS号:184475-35-2
分子式:C22H24ClFN4O3
分子量:446.90
结构式:
包装:棕色西林瓶装
装量:约100mg/支
储存条件:遮光,密封保存
风险提示:丁香通仅作为第三方平台,为商家信息发布提供平台空间。用户咨询产品时请注意保护个人信息及财产安全,合理判断,谨慎选购商品,商家和用户对交易行为负责。对于医疗器械类产品,请先查证核实企业经营资质和医疗器械产品注册证情况。
文献和实验相关实验
、胃肠道刺激症状等。 四、葡萄糖苷酶抑制药 目前用于临床的有阿卡波糖(acarbose)、伏格列波糖(voglibose)、米格列醇(miglitol)等。 【体内过程】 口服后很少吸收,约50%由肠道排出,35%在肠道内代谢,代谢物可被吸收并经肾排泄。 【药理作用】 本类药物不增加insulin分泌,其降血糖机制主要是通过抑制小肠中各种α-葡萄糖苷酶,阻止1,4-糖苷键水解,使淀粉和蔗糖等进而分解为葡萄糖的速度减慢,吸收延缓,而使
技术资料暂无技术资料 索取技术资料
米格列醇
¥380 - 3800










