相关产品推荐更多 >
万千商家帮你免费找货
0 人在求购买到急需产品
- 详细信息
- 技术资料
- 库存:
61
- 英文名:
Hederagenin
- 保质期:
长期
- 供应商:
北京百奥莱博科技有限公司
- 保存条件:
常温
- 规格:
20mg
特别提示:包括常春藤皂苷元在内,本公司的所有产品仅可用于科研实验,严禁用于临床医疗及其他非科研用途!
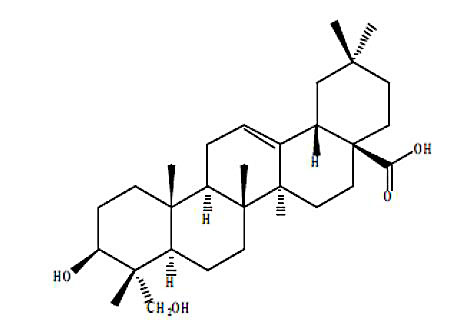
产品名称:常春藤皂苷元
英文名称:Hederagenin
产品货号:BP1325
产品规格:20mg
本品为常春藤皂苷元化学对照品,供含量测定用,含量以98.3%计。
分子式:C30H48O4
分子量:472.7
结构式:
包装及装量:棕色瓿,每支约20毫克。
储存条件:常温保存。
注意事项:本品置五*化二磷减压干燥12 小时后使用。
除了常春藤皂苷元,,我公司还供应以下相关产品:
名称:利血平
货号:BP0037
规格:100mg/支
本品为利血平(Reserpine),供含量测定用,按C33H40N2O9计,供HPLC法测定,含量为99.0%;供荧光分析法测定,含量为100.0%。
分子式:C33H40N2O9
分子量:608.69
CAS号:50-55-5
包装及装量:棕色西林瓶装,每支约100毫克。
储存条件:遮光,密封保存。
注意事项:60℃减压干燥3小时后使用。
名称:乳糖
货号:BP0050
规格:300mg/支
本品为乳糖(Lactose)化学对照品,使用前不需干燥处理,供HPLC法测定,按C12H22O11· H2O计,含量为94.8%。
分子式:C12H22O11· H2O
结构式:
分子量:360.31
CAS号:5989-81-1
包装:西林瓶装
规格:约300mg/支
储存条件:遮光,密闭,10~30℃保存
名称:盐酸氮卓斯汀
货号:BP0466
规格:100mg
名称:奥卡西平
货号:BP0506
规格:100mg/支
本品为奥卡西平化学对照品,供HPLC含量测定用,按C15H12N2O2计,含量为99.8%。
CAS号:28721-07-5
分子式:C15H12N2O2
分子量:252.27
包装及装量:棕色小瓶装,每支约100毫克。
储存条件:遮光,密封保存。
注意事项:105℃干燥2小时后使用。
名称:马来酸多潘立酮
货号:BP0537
规格:100mg
名称:盐酸阿呋唑嗪
货号:BP0561
规格:100mg
名称:瑞格列奈
货号:BP0579
规格:100mg/支
本品为瑞格列奈化学对照品,供含量测定用。105℃干燥2小时后使用。供HPLC法测定,按C27H36N2O4计,含量为99.8%。
CAS号:135062-02-1
分子式:C27H36N2O4
分子量:452.59
包装及装量:棕色西林瓶,每支约100毫克。
储存条件:遮光,密封保存。
名称:亚甲蓝
货号:BP0846
规格:100mg
本品为亚甲蓝三水合物,供含量测定用,供UV法测定,按C16H18ClN3S计,含量为83.4%。
CAS号:7220-79-3
分子式:C16H18ClN3S·3H2O
分子量:373.90
包装及装量:棕色西林瓶装,每支约100毫克。
储存条件:遮光,密封保存。
注意事项:使用前不需干燥处理,本品具有引湿性,建议打开包装后一次性使用完毕。
名称:苯妥英
货号:BP0864
规格:50mg
名称:盐酸阿莫地喹
货号:BP0888
规格:100mg
本品为盐酸阿莫地喹化学对照品,供含量测定用,使用前不需干燥处理。按C20H22ClN3O·2HCl计,含量为91.9%。
CAS号:6398-98-7
分子式:C20H22ClN3O·2HCl·2H2O
分子量:464.81
结构式:
包装:棕色西林瓶
规格:约100毫克/支
储存条件:遮光、密闭保存
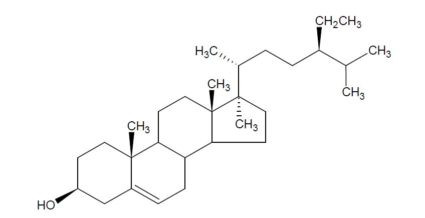
名称:β-谷甾醇
货号:BP1129
规格:约20mg/支
本品为β-谷甾醇化学对照品,供鉴别及含量测定用,含量以97.0%计,使用前不需干燥处理。
CAS号:83-46-5
分子式:C29H50O
分子量:414.7
结构式:
包装:棕色瓶
规格:约20毫克/支
储存条件:冷处(2~10℃)保存
名称:千金子素L1(千金子甾醇)
货号:BP1365
规格:20mg
名称:野百合碱
货号:BP1427
规格:20mg
本品为野百合碱化学对照品,供限量检查内标用,含量以99.8%计。
分子式:C16H23NO6
分子量:325
包装及装量:棕色瓶。
储存条件:室温干燥保存。
注意事项:使用前无需处理。
名称:阿奇霉素
货号:BP1574
规格:200mg
本品为阿奇霉素标准品,供供抗生素微生物效价测定用,使用前不需干燥处理。
CAS号:86905-01-5
分子式:C38H72N2O12
分子量:749.00
包装:白色安瓿
规格:约200毫克/支
储存条件:2-8℃保存
名称:灰黄霉素
货号:BP1611
规格:200mg
本品为灰黄霉素化学对照品,供含量测定用,含量以灰黄霉素C17H17ClO6计,使用前不需干燥处理。
CAS号:126-07-8
分子式:C17H17ClO6
分子量:352.77
结构式:
包装:白色安瓿
规格:约100毫克/支
储存条件:2-8℃保存
名称:环丙沙星杂质C
货号:BP1720
规格:50mg/支
本品为环丙沙星杂质C化学对照品,供环丙沙星及各种成盐形式的环丙沙星品种系统适用性试验及有关物质测定用。
使用方法:精密称取本品适量,按相关质量标准的规定,溶解并稀释至所需浓度的溶液,立即使用。
储存条件:置5℃以下低温避光保存。开启安瓿后严密保持干燥,以防吸水。
注意事项:使用前不需干燥处理。
名称:环丙沙星杂质E
货号:BP1722
规格:50mg
本品为环丙沙星杂质E化学对照品,供环丙沙星及各种成盐形式的环丙沙星品种系统适用性试验及有关物质测定用。
使用方法:精密称取本品适量,按相关质量标准的规定,溶解并稀释至所需浓度的溶液,立即使用。
储存条件:置5℃以下低温避光保存。开启安瓿后严密保持干燥,以防吸水。
注意事项:使用前不需干燥处理。
名称:氟尿苷
货号:BP1809
规格:10mg
本品为氟尿苷化学对照品,供相关物质鉴别用,使用前不需干燥处理。
分子式:C9H11FN2O5
分子量:246.20
包装:棕色小瓶
规格:每瓶约10mg
储存条件:遮光,密封保存。
名称:聚*烯酸树脂III
货号:BP2021
规格:200mg
本品为聚*烯酸树脂Ⅲ化学对照品,供聚*烯酸树脂Ⅲ品种红外光谱鉴别用。
包装及装量:棕色西林瓶装, 每支约200 毫克
储存条件::遮光,密封,于阴凉处保存。
注意事项:使用前于 110℃干燥6 小时。
名称:十六醇
货号:BP2030
规格:200mg/支
本品为十六醇化学对照品,仅供十六醇含量测定用。
CAS号:36653-82-4
分子式:C16H34O
分子量:242.44
包装:棕色西林瓶。
规格:每支约200毫克。
储存条件:遮光,阴凉干燥处保存。
名称:二甲硅油30000
货号:BP2076
规格:1ml/支
本品为二甲硅油30000化学对照品,仅供二甲硅油品种项下二甲硅油30000型号红外光谱吸收度及含量测定用,使用前不需干燥处理。
CAS号:9006-65-9
分子式:(C2H6OSi)nC4H12Si
结构式:
包装:棕色安瓿
规格:约1ml/支
储存条件:遮光、常温保存
风险提示:丁香通仅作为第三方平台,为商家信息发布提供平台空间。用户咨询产品时请注意保护个人信息及财产安全,合理判断,谨慎选购商品,商家和用户对交易行为负责。对于医疗器械类产品,请先查证核实企业经营资质和医疗器械产品注册证情况。
技术资料暂无技术资料 索取技术资料
常春藤皂苷元
¥380 - 3800










