相关产品推荐更多 >
万千商家帮你免费找货
0 人在求购买到急需产品
- 详细信息
- 技术资料
- 库存:
214
- 英文名:
Ginsenoside Rg3
- CAS号:
38243-03-7
- 保质期:
长期
- 供应商:
北京百奥莱博科技有限公司
- 规格:
20mg
特别提示:包括人参皂苷Rg3在内,本公司的所有产品仅可用于科研实验,严禁用于临床医疗及其他非科研用途!
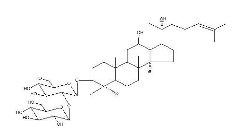
产品名称:人参皂苷Rg3
英文名称:Ginsenoside Rg3
产品货号:BP1093
产品规格:20mg
本品为人参皂苷Rg3化学对照品,供含量测定用,使用前不需干燥处理。含量以99.5%计。
CAS号:38243-03-7
分子式:C42H72O13
分子量:785.01
结构式:
包装:棕色安瓿瓶。
规格:约20mg/支
储存条件:冷冻保存
注意事项:本品略有引湿性,打开包装后一次使用完毕。
除了人参皂苷Rg3,,我公司还供应以下相关产品:
| 货号 | 名称 | 规格 |
| BP0056 | 盐酸胺碘酮 | 100mg/支 |
| BP0121 | 格列本脲杂质Ⅰ | 50mg |
| BP0328 | 二羟丙茶碱 | 100mg/支 |
| BP0487 | 伊曲康唑 | 100mg/支 |
| BP0543 | 马来酸依那普利 | 100mg/支 |
| BP0618 | 盐酸米安色林 | 100mg |
| BP1413 | 新橙皮苷 | 约20mg/支 |
| BP1615 | 甲砜霉素 | 100mg/支 |
| BP1794 | 鸟嘌呤 | 约50mg |
| BP1880 | L-焦谷氨酸 | 50mg/支 |
| GL1355 | pH标准缓冲溶液(pH=10.00) | 50ml|100ml|500ml |
风险提示:丁香通仅作为第三方平台,为商家信息发布提供平台空间。用户咨询产品时请注意保护个人信息及财产安全,合理判断,谨慎选购商品,商家和用户对交易行为负责。对于医疗器械类产品,请先查证核实企业经营资质和医疗器械产品注册证情况。
技术资料暂无技术资料 索取技术资料
人参皂苷Rg3
¥380 - 3800










