相关产品推荐更多 >
万千商家帮你免费找货
0 人在求购买到急需产品
- 详细信息
- 技术资料
- 库存:
353
- 英文名:
Propiverine Hydrochloride
- 保质期:
长期
- 供应商:
北京百奥莱博科技有限公司
- 保存条件:
冷藏
- 规格:
50mg
特别提示:包括盐酸丙哌维林在内,本公司的所有产品仅可用于科研实验,严禁用于临床医疗及其他非科研用途!
产品名称:盐酸丙哌维林
英文名称:Propiverine Hydrochloride
产品货号:BP0500
产品规格:50mg
除了盐酸丙哌维林,,我公司还供应以下相关产品:
名称:盐酸苯海拉明
货号:BP0057
规格:100mg
本品为盐酸苯海拉明(Diphenhydramine Hydrochloride) 的化学对照品,供HPLC法测定,按C17H21NO·HCl计,含量为99.9%。
分子式:C17H21NO·HCl
分子量:291.82
CAS号:147-24-0
包装及装量:棕色瓶,约100mg/支
储存条件:遮光,密封保存
注意事项:105℃干燥2小时后使用
名称:卡马西平
货号:BP0115
规格:100mg
本品为卡马西平(Carbamazepine),按C15H12N2O计,含量为99.7%。
分子式:C15H12N2O
分子量:236.27
CAS号:298-46-4
包装及装量:棕色小瓶装,每支约100毫克。
储存条件:遮光,密封保存。
注意事项:使用前不需干燥处理。
名称:长春胺
货号:BP0574
规格:100mg
名称:9-顺阿维A
货号:BP0879
规格:10mg/支
本品为9-顺阿维A化学对照品,供检查用,使用前不需干燥处理,供HPLC法测定,按C21H26O3计,含量为100%。
CAS号:419534-31-9
分子式:C21H26O3
分子量:326.43
包装及装量:安瓿瓶,充氮熔封,每支约10毫克。
储存条件:-20℃保存,避光操作。
注意事项:使用前不需干燥处理。
名称:甲磺酸阿帕替尼
货号:BP0902
规格:100mg/支
本品为甲磺酸阿帕替尼化学对照品,按C24H23N5O·CH4O3S计,供HPLC法测定,含量为96.2%;供UV法测定,含量为96.4%。
分子式:C24H23N5O·CH4O3S
分子量:493.58
包装及装量:棕色小瓶装,每支约100毫克。
储存条件:遮光、在25℃以下密封保存。
注意事项:使用前不需干燥处理。
名称:碘佛醇
货号:BP0942
规格:100mg/支
本品为碘佛醇化学对照品,使用前不需干燥处理,供相关物质鉴别用。
CAS号:87771-40-2
分子式:C18H24I3N3O9
分子量:807.11
包装:棕色西林瓶装
规格:约100毫克/支
储存条件:遮光,密闭,10~30℃保存
名称:牡荆油
货号:BP1199
规格:0.2ml
名称:L-酪氨酸
货号:BP1219
规格:100mg/支
本品为L-酪氨酸化学对照品,供相关物质鉴别用。
分子式:C9H11NO3
分子量:181.19
包装及装量:棕色瓶。
储存条件:干燥密闭保存。
名称:胆固醇
货号:BP1244
规格:50mg
本品为胆固醇化学对照品,供下鉴别用,置五氧化*磷减压干燥器中干燥12小时以上使用。
CAS号:57-88-5
分子式:C27H46O
分子量:386.64
结构式:
包装:棕色瓶
规格:约50mg/支
储存条件:干燥密闭保存
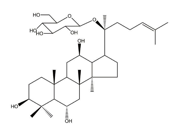
名称:20(S)-人参皂苷F1
货号:BP1345
规格:20mg/支
本品为20(S)-人参皂苷F1化学对照品,供鉴别及含量测定用,含量以93.5%计,使用前不需干燥处理。
CAS号:53963-43-2
分子式:C36H62O9
分子量:638.87
结构式:
包装:棕色安瓿瓶
装量:约20mg/支
储存条件:冷冻保存
注意事项:本品有引湿性,打开包装后一次使用完毕。
名称:头孢替唑
货号:BP1658
规格:100mg/支
本品为头孢替唑化学对照品,含量以头孢替唑C13H11N8O4NaS3计,供头孢替唑钠品种含量测定用。
分子式:C13H11N8O4NaS3
分子量:462.47
包装:安瓿
装量:约100mg/支
储存条件:置4℃以下条件低温避光保存。
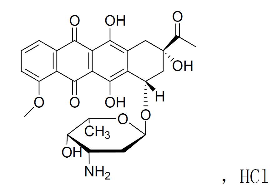
名称:柔红霉素
货号:BP1695
规格:50mg
本品为柔红霉素化学对照品,供HPLC法含量测定用,以C27H29NO10计,每支含柔红霉素为19.6mg,使用前不需干燥处理。整支溶解使用。
CAS号:20830-81-3
分子式:C27H29NO10·HCl
分子量:563.98
结构式:
包装:白色西林瓶
规格:约20mg/支
储存条件:置2-8℃遮光保存。
风险提示:丁香通仅作为第三方平台,为商家信息发布提供平台空间。用户咨询产品时请注意保护个人信息及财产安全,合理判断,谨慎选购商品,商家和用户对交易行为负责。对于医疗器械类产品,请先查证核实企业经营资质和医疗器械产品注册证情况。
技术资料暂无技术资料 索取技术资料
盐酸丙哌维林
¥380 - 3800










