相关产品推荐更多 >
万千商家帮你免费找货
0 人在求购买到急需产品
- 详细信息
- 文献和实验
- 技术资料
- 库存:
203
- 英文名:
Citric Acid
- CAS号:
77-92-9
- 保质期:
长期
- 供应商:
北京百奥莱博科技有限公司
- 保存条件:
遮光,密闭,10~30℃
- 规格:
200毫克/支
特别提示:包括枸橼酸在内,本公司的所有产品仅可用于科研实验,严禁用于临床医疗及其他非科研用途!
产品名称:枸橼酸
英文名称:Citric Acid
产品货号:BP0313
产品规格:200毫克/支
本品为枸橼酸化学对照品,供含量测定用。105℃干燥2小时后使用。按C6H8O7计,含量为100.0%。
CAS号:77-92-9
分子式:C6H8O7
分子量:192.12
包装:棕色西林瓶。
规格:约200毫克/支。
储存条件:遮光,密闭,10~30℃保存。
注意事项:本品高湿度易潮解,建议环境RH70%以下一次性使用完毕。
除了枸橼酸,,我公司还供应以下相关产品:
名称:酚酞
货号:BP0082
规格:1g/支
本品为酚酞(Phenolphthalein),用作熔点对照品105℃干燥2小时后使用,调节升温速率使每分钟上升1.5℃,熔点为263.1℃。
分子式:C20H14O4
分子量:318.33
CAS号:77-09-8
包装:棕色西林瓶。
装量:约1克/支。
储存条件:遮光,密闭保存。
名称:特非那定
货号:BP0233
规格:100mg/支
本品为特非那定的化学对照品,供含量测定用,供HPLC法测定,按C32H41NO2计,含量为99.4%。
分子式:C32H41NO2
分子量:471.68
CAS号:50679-08-8
包装及装量:棕色西林瓶装,每支约100毫克
储存条件:遮光,密封保存
注意事项:使用前不需干燥处理。
名称:磷酸氯喹
货号:BP0331
规格:100mg
名称:奥拉米特
货号:BP0349
规格:100mg
名称:盐酸替扎尼定
货号:BP0498
规格:50mg
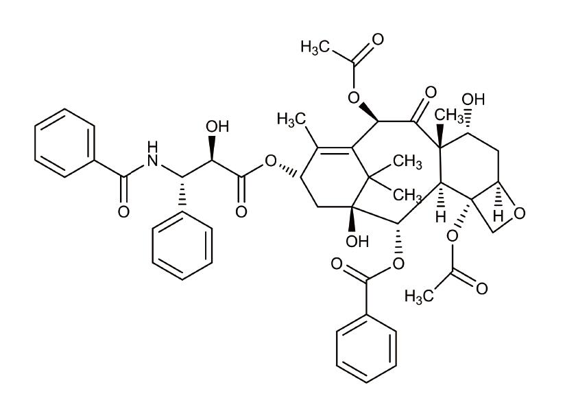
名称:7-表-紫杉醇(紫杉醇杂质III)
货号:BP0701
规格:20mg/支
本品为7-表-紫杉醇(紫杉醇杂质III)化学对照品,供HPLC法系统适用性试验用,使用前不需干燥处理。
CAS号:105454-04-4
分子式:C47H51NO14
分子量:853.91
结构式:
包装:棕色西林瓶。
规格:约20毫克/支。
储存条件:遮光,密封保存。
名称:去氟帕罗西汀
货号:BP0832
规格:50mg
本品为去氟帕罗西汀化学对照品,供HPLC法系统适用性试验用。
分子式:C19H21NO3
分子量:311.38
包装及装量:棕色小瓶装,每支约50毫克。
储存条件:遮光,密封保存。
注意事项:使用前不需干燥处理。
名称:青藤碱
货号:BP1070
规格:20mg
本品为青藤碱化学对照品,供鉴别或含量测定用。
分子式:C19H23NO4
分子量:329.38
结构式:
包装:棕色瓶装
规格:约20mg/支
储存条件:干燥密闭保存
名称:水飞蓟宾
货号:BP1133
规格:约20mg/支
本品为水飞蓟宾化学对照品,供鉴别和含量测定用,含量以96.3%计,使用前不需干燥处理。
CAS号:22888-70-6
分子式:C25H22O10
分子量:482.43
结构式:
包装:棕色安瓿瓶
装量:约20mg/支
储存条件:冷处(2-10℃)保存
名称:银杏酸C15:1
货号:BP1344
规格:20mg
名称:宝藿苷I
货号:BP1410
规格:20mg/支
本品为供宝藿苷Ⅰ化学对照品,含量测定用,含量以99.9%计,使用前不需干燥处理。
CAS号:113558-15-9
分子式:C27H30O10
分子量:514.18
结构式:
包装:棕色安瓿瓶
装量:约20mg/支
储存条件:冷处(2-10℃)保存
名称:头孢唑林杂质E
货号:BP1729
规格:50mg
本品为头孢唑啉杂质E化学对照品,供头孢唑林钠品种系统适用性试验用。
使用方法:精密称取本品适量,按相关质量标准的规定,溶解并稀释至所需浓度的溶液,立即使用。
储存条件:置5℃以下低温避光保存。开启安瓿后严密保持干燥,以防吸水。
注意事项:使用前不需干燥处理。
名称:硫鸟嘌呤
货号:BP1895
规格:100mg/瓶
本品为硫鸟嘌呤化学对照品,含量为99.5%,供硫鸟嘌呤和硫鸟嘌呤片HPLC 鉴别与含量测定用。
分子式:C5H5N5S
分子量:167.19
包装及装量:2ml 西林瓶,每瓶约100mg
储存条件:遮光,密封保存。
注意事项:使用前不需干燥处理。
名称:三辛酸甘油酯
货号:BP2058
规格:0.2ml
本品为三辛酸甘油酯化学对照品,仅供乙基纤维素水分散体(B型)品种项下含量测定项中系统适用性用和有关物质检查用。使用前不需干燥处理,以C27H50O6计,含量为100.0%。
CAS号:538-23-8
分子式:C27H50O6
结构式:
包装:棕色安瓿
规格:约0.2ml
储存条件:密封,-20℃保存
风险提示:丁香通仅作为第三方平台,为商家信息发布提供平台空间。用户咨询产品时请注意保护个人信息及财产安全,合理判断,谨慎选购商品,商家和用户对交易行为负责。对于医疗器械类产品,请先查证核实企业经营资质和医疗器械产品注册证情况。
文献和实验无色结晶,作为柠檬酸循环之一在好氧代谢中起着重要的作用。广泛分布于生物界,此外作为细菌、霉菌的发酵生成物而大量产生。是Ca离子的捕获剂,其钠盐( sodium citrate)可用作血液的抗凝剂。在柠檬、桔子等有酸味的果实中以游离状态存在。在线粒体膜上有柠檬酸的运输系统。柠檬酸还对磷酸果糖激酶作为效应物而起抑制作用。
枸橼酸盐利用试验的概述是检验主管技师考试辅导的部分内容,以下是医学教育网对这块内容的整理,希望对考生有所帮助:(1)原理:某些细菌能以铵盐为唯一氮源,并且利用枸橼酸盐作为唯一碳源,可在枸橼酸盐培养基上生长,分解枸橼酸盐,使培养基变碱性。(2)培养基:枸橼酸盐培养基。(3)方法:将被检菌接种于枸橼酸盐培养基,于35℃培养l~4d,每日观察结果。(4)结果:培养基中的溴麝香草酚兰指示剂由淡绿色变为深蓝色为阳性;不能利用枸橼酸盐作为碳源的细菌,在此培养基上不能生长,培养基则不变色,为阴性。(5)应用
抗凝剂选择:枸橼酸盐是临床检验技师考试的部分内容,医学教育网搜集整理相关内容供大家参考。 常用有枸橼酸钠,能与血液中钙离子结合形成螯合物,阻止血液凝固。枸橼酸盐抗凝剂的抗凝力不如上述抗凝剂。枸橼酸钠与血液的抗凝比例为1:9或1:4.适用于红细胞沉降率、凝血检查,是输血保养液的成分。
技术资料暂无技术资料 索取技术资料










