相关产品推荐更多 >
万千商家帮你免费找货
0 人在求购买到急需产品
- 详细信息
- 文献和实验
- 技术资料
- 库存:
82
- 英文名:
Chonglou saponin VI
- 保质期:
长期
- 供应商:
北京百奥莱博科技有限公司
- 规格:
20mg/支
特别提示:包括重楼皂苷VI在内,本公司的所有产品仅可用于科研实验,严禁用于临床医疗及其他非科研用途!
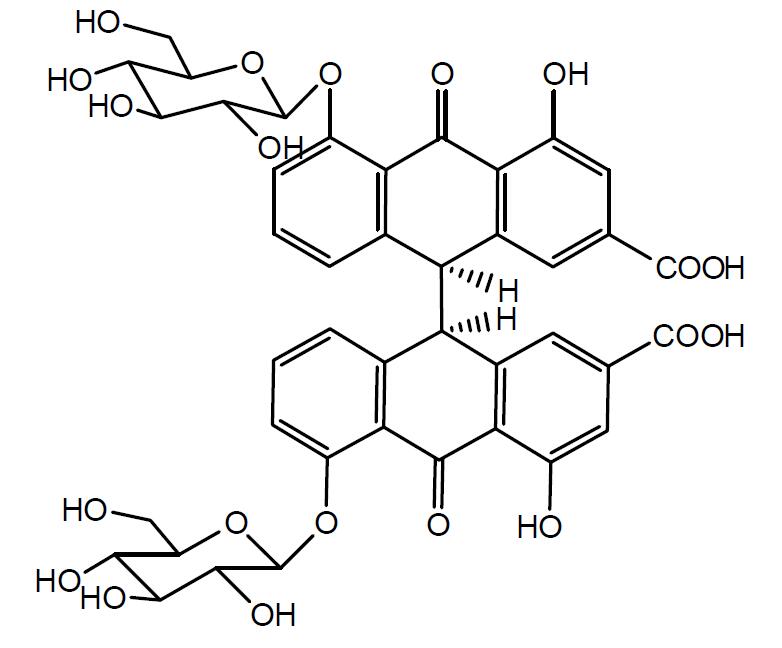
产品名称:重楼皂苷VI
英文名称:Chonglou saponin VI
产品货号:BP1229
产品规格:20mg/支
本品为重楼皂苷VI化学对照品,供含量测定用,含量以97.0%计,使用前不需干燥处理。
分子式:C44H70O16
分子量:855.02
结构式:
包装:棕色安瓿瓶
规格:约20mg/支
储存条件:冷冻保存
除了重楼皂苷VI,,我公司还供应以下相关产品:
名称:吡嗪酰胺
货号:BP0145
规格:100mg
本品为吡嗪酰胺(Pyrazinamide)的化学对照品。按C5H5N3O计,含量为99.9%。
分子式:C5H5N3O
分子量:123.12
CAS号:98-96-4
包装及装量:棕色小瓶装,每支约100毫克。
储存条件:遮光,密封保存。
注意事项:置五氧*二磷干燥器中,室温减压干燥18小时后使用。
名称:卡铂
货号:BP0258
规格:50mg
本品为卡铂(Carboplatin)化学对照品。供含量测定用,按C6H12N2O4Pt计,含量为98.7%。
分子式:C6H12N2O4Pt
分子量:371.26
CAS号:41575-94-4
包装及装量:棕色小瓶装,每支约50毫克。
储存条件:遮光,密封保存。
注意事项:使用前不需干燥处理。
名称:苯溴马隆
货号:BP0520
规格:100mg
名称:3米氟米特杂质III
货号:BP0570
规格:25微克
本品为来氟米特杂质III化学对照品,化学名称3-甲基-N-[4(-三氟甲基)苯基]异恶唑-4-甲酰胺,本品每支装量约为25μg,临用量可用少量乙*溶解后,加流动稀释至一定体积制成储备液,用于系统适用性试验溶液的制备。
分子式:C12H9F3N2O2
分子量:270.20
包装及装量:棕色小瓶装,每支约 25 微克。
储存条件:遮光,密闭保存
名称:盐酸普萘洛尔
货号:BP0601
规格:100mg
本品为盐酸普萘洛尔化学对照品,供检查用。供UV法测定,按C16H21NO2·HCl计,含量为100%。
CAS号:318-98-9
分子式:C16H21NO2·HCl
分子量:295.81
包装及装量:棕色西林瓶装,每支约100毫克。
储存条件:遮光,密封保存
注意事项:使用前不需干燥处理。
名称:硫酸肼
货号:BP0806
规格:100mg
本品为硫酸肼化学对照品,为硫酸肼,供异烟肼、异烟肼片TLC法系统适用性试验用,使用前不需干燥处理。
1.储存条件:置5℃以下低温避光保存。开启安瓿后密闭保持干燥,以防吸水。
2.使用方法:精密称取本品适量,按异烟肼的游离肼检查项下方法,溶解稀释制成约0.08mg/ml的溶液,立即使用。
名称:来氟米特杂质Ⅱ
货号:BP0849
规格:50mg/支
本品为来氟米特杂质Ⅱ化学对照品,使用前不需干燥处理。供HPLC法系统适用性试验用。
CAS号:108605-62-5
分子式:CHFNO129322
分子量:270.21
结构式:
来氟米特系统适用性试验色谱图[AgilentHypersilODS色谱柱(4.0×250mm,5μm)]
备注:在该色谱系统下,采用不同色谱柱时,来氟米特及其杂质的出峰时间存在差异。
包装:棕色西林瓶装
装量:约50mg/支
储存条件:遮光,密闭,10~30℃保存
名称:番泻苷B
货号:BP1111
规格:20mg/支
本品为番泻苷B化学对照品,供含量测定用,使用前不需干燥处理,含量以95.0%计。
CAS号:128-57-4
分子式:C42H38O20
分子量:862.74
结构式:
包装:棕色安瓿瓶
规格:约20mg/支
储存条件:冷冻保存
注意事项:本品有引湿性,打开包装后一次使用完毕。
名称:氯霉素二醇物
货号:BP1617
规格:50mg
本品为氯霉素二醇物化学对照品,供氯霉素有关物质测定用。
使用方法:精密称取本品适量,用水溶解并稀释至所需的浓度,立即使用。
储存条件:置5℃以下低温避光保存。开启安瓿后严密保持干燥,以防吸水。
注意事项:使用前不需干燥处理。
名称:右旋*妥沙星
货号:BP1632
规格:50mg/支
本品为右旋*妥沙星化学对照品,供盐酸*妥沙星品种有关物质测定用,含量以右旋*妥沙星(C18H21FN4O4)计。
使用方法:精密称取适量,按质量标准所规定的方法,配制至所需浓度的对照品溶液,立即使用。
储存条件:置 5℃以下条件低温避光保存。启开安瓿后严密保持干燥以防吸水。
注意事项:使用前不需干燥处理。
名称:2-乙基*酸
货号:BP1696
规格:0.5ml
本品为2-乙基*酸化学对照品,供GC法检查2-乙基*酸残留量用。
使用方法:精密量取本品适量,按有关的质量标准要求使用。
储存条件:置5℃低温避光保存。
名称:伏立康唑杂质E
货号:BP1771
规格:30mg/支
本品为伏立康唑杂质E化学对照品,供伏立康唑原料及其制剂HPLC法有关物质检查用。以伏立康唑杂质E(C10H16O4S)计,含量为95.4%。使用前不需干燥处理。
分子式:C10H16O4S
分子量:232.1
包装:棕色安瓿
规格:30mg/支
储存条件:常温遮光保存。
名称:DL-酒石酸
货号:BP2035
规格:200mg/瓶
本品为DL-酒石酸化学对照品,供DL-酒石酸品种红外光吸收图谱鉴别用对照品,使用前需在105℃干燥2小时。
CAS号:133-37-9
分子式:C4H6O6
分子量:150.09
包装:棕色西林瓶
规格:约200mg/瓶
储存条件:遮光、常温保存。
名称:pH标准缓冲粉剂(pH=9.18)
货号:GL1352
规格:1L
用途:
校正pH计或酸度计
注意事项:
该pH值是指在25℃条件下的值,误差范围在0.01,注意密闭保存。
储存条件:室温,24个月
风险提示:丁香通仅作为第三方平台,为商家信息发布提供平台空间。用户咨询产品时请注意保护个人信息及财产安全,合理判断,谨慎选购商品,商家和用户对交易行为负责。对于医疗器械类产品,请先查证核实企业经营资质和医疗器械产品注册证情况。
文献和实验毒力抗原(Vi抗原,Vi=Virulence)Vi antigen
定位于革兰氏阴性细菌菌体抗原( O抗原)外侧的易热抗原。一般认为与毒力有关,因此称为毒力抗原。与氯化铁起反应,可用电子显微镜证实其存在。一般认为毒力抗原由 N-乙酰氨基糖醛酸的聚合物组成,在血清学上可与其他表面抗原区别开来。毒力抗原在血清学上是一个组,如用噬菌体则可分成 80种类型。
人VI型胶原蛋白(Collagen VI)ELISA试剂盒 说明书
上海西唐生物科技有限公司 021-55229872, 65333639 www.westang.com 人VI 型胶原蛋白 ( Collagen VI )ELISA 试剂盒 ( 用于血清、血浆、细胞培养上清液和其它生物体液内 ) 原理 本实验采用双抗体夹心 ABC-ELISA 法。用抗人 Collagen VI 单抗包被于酶标板上,标准品和样品中的 Collagen VI
引物二聚体带,并且降低引物有效浓度而使PCR 反应不能正常进行[8]。 (8)对引物的修饰一般是在5’端增加酶切位点,应根据下一步实验中要插入PCR 产物的载体的相应序列。 1.1.1 PCR 的引物设计 首先从GenBank 查到VI 型 胶原蛋白 的α1 链的mRMA 序列,序列号为 NM_001848 .其序列长为 4164bp,其中98 到3184 为VI 型胶原蛋白的α1链
技术资料暂无技术资料 索取技术资料










