相关产品推荐更多 >
万千商家帮你免费找货
0 人在求购买到急需产品
- 详细信息
- 询价记录
- 文献和实验
- 技术资料
- 库存:
204
- 英文名:
Diphenhydramine Hydrochloride
- CAS号:
147-24-0
- 保质期:
长期
- 供应商:
北京百奥莱博科技有限公司
- 保存条件:
遮光,密封保存注意事项:105℃
- 规格:
100mg
特别提示:包括盐酸苯海拉明在内,本公司的所有产品仅可用于科研实验,严禁用于临床医疗及其他非科研用途!
产品名称:盐酸苯海拉明
英文名称:Diphenhydramine Hydrochloride
产品货号:BP0057
产品规格:100mg
本品为盐酸苯海拉明(Diphenhydramine Hydrochloride) 的化学对照品,供HPLC法测定,按C17H21NO·HCl计,含量为99.9%。
分子式:C17H21NO·HCl
分子量:291.82
CAS号:147-24-0
包装及装量:棕色瓶,约100mg/支
储存条件:遮光,密封保存
注意事项:105℃干燥2小时后使用
除了盐酸苯海拉明,,我公司还供应以下相关产品:
名称:(+)2-氨基丁醇
货号:BP0003
规格:100mg/支
本品为(+)2-氨基丁醇。供盐酸乙*丁醇品种(+)2-氨基丁醇项下TLC法检查用。
分子式:C4H11NO
分子量:89.1
CAS号:5856-63-3
包装:棕色安瓿
规格:约100mg/支
储存条件:置常温遮光保存。
名称:醋酸甲地孕酮
货号:BP0138
规格:100mg/支
本品为醋酸甲地孕酮(Megestrol Acetate)化学对照品,供鉴别和含量测定用。以C24H32O4计,供HPLC法测定,含量为 99.2%。
分子式:C24H32O4
分子量:384.52
CAS号:595-33-5
包装及装量:棕色瓶,约100mg/支
储存条件:干燥避光,室温密闭保存
注意事项:本品不需干燥处理,直接称取,避光操作
名称:苯噻啶
货号:BP0249
规格:50mg
本品为苯噻啶(Pizotifen)化学对照品。供检查用
分子式:C19H21NS
分子量:295.45
包装及装量:棕色小瓶装,每支约50毫克。
储存条件:遮光,密闭保存。
注意事项:使用前不需干燥处理。
名称:奥沙普秦
货号:BP0284
规格:100mg/支
本品为奥沙普秦的化学对照品,使用前不需干燥处理,供UV法测定,按C18H15NO3计,含量为100.0%。
分子式:C18H15NO3
分子量:293.32
CAS号:21256-*8-8
包装:西林瓶装
规格:约100mg/支
储存条件:遮光,密闭,10~30℃保存
名称:去甲*蝥素
货号:BP0325
规格:100mg
本品为去甲*蝥素化学对照品,供含量测定用,使用前不需干燥处理,按C8H8O4计,含量为99.9%。
CAS号:29745-04-8
分子式:C8H8O4
分子量:168.15
包装及装量:棕色西林瓶装,每支约100毫克。
储存条件:遮光,密封保存。
注意事项:使用前不需干燥处理。
名称:美他多辛
货号:BP0602
规格:100mg
名称:*酸
货号:BP1007
规格:约1mL/支
本品为*酸化学对照品,使用前不需干燥。供HPLC法检查用,按CH2O2计,含量为100%。
CAS号:64-*8-6
分子式:CH2O2
分子量:46.03
结构式:
包装:棕色安瓿瓶
规格:约1毫升/支
储存条件:遮光,10~30℃密封保存
名称:靛玉红
货号:BP1024
规格:20mg
本品为靛玉红化学对照品,供鉴别或含量测定用。
分子式:C16H10N2O2
分子量:262.26
包装及装量:棕色瓶。
储存条件:干燥密闭保存。
注意事项:置五*化二磷减压干燥器中干燥12小时后使用。
名称:α-香附酮
货号:BP1046
规格:约0.15ml/支
本品为α-香附酮化学对照品,供鉴别及含量测定用,使用前不需干燥处理。含量以99.4%计。
CAS号:473-08-5
分子式:C15H22O
分子量:218.33
包装:棕色安瓿瓶
规格:约0.15毫升/支
储存条件:冷处(2~10℃)保存
名称:大黄素
货号:BP1053
规格:20mg
本品为大黄素化学对照品,供鉴别或含量测定用,含量以98.7%计,使用前不需干燥处理。
CAS号:518-82-1
分子式:C15H10O5
分子量:270.23
结构式:
包装:棕色安瓿瓶
规格:约20mg/支
储存条件:常温密闭
名称:甲基正壬酮
货号:BP1119
规格:约0.1ml/支
本品为甲基正壬酮化学对照品,供鉴别及含量测定用,含量以99.8%计,使用前不需干燥处理。
CAS号:112-12-9
分子式:C11H22O
分子量:170.29
包装:棕色安瓿瓶
规格:约0.1毫升/支
储存条件:阴凉处保存。
名称:原*片碱
货号:BP1131
规格:20mg/支
本品为原*片碱化学对照品,供薄层鉴别及含量测定用,含量以99.7%计,使用前不需干燥处理。
CAS号:130-86-9
分子式:C20H19O5N
分子量:353.13
结构式:
包装:棕色安瓿瓶
规格:约20mg/支
储存条件:室温保存。
名称:腺苷
货号:BP1150
规格:约20mg/支
本品为腺苷化学对照品,供鉴别或含量测定用,含量以99.7%计,使用前不需干燥处理。
CAS号:58-61-7
分子式:C10H13N5O4
分子量:267.24
结构式:
包装:棕色安瓿
规格:约20mg/支
储存条件:冷处(2~10℃)
名称:苦玄参苷IA
货号:BP1335
规格:20mg
名称:白术内酯II
货号:BP1508
规格:20mg
本品为白术内酯II化学对照品,供供含量测定用,含量以99.9%计,使用前不需干燥处理。
CAS号:73069-14-4
分子式:C15H20O2
分子量:232
结构式:
包装:棕色瓶
规格:每支约20mg
储存条件:冷冻保存
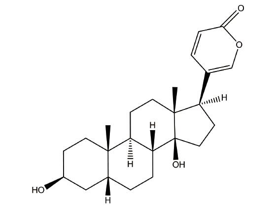
名称:蟾毒灵
货号:BP1513
规格:20mg/支
本品为蟾毒灵非标准用对照品,使用前不需干燥处理,含量以99.2%计。
CAS号:465-21-4
分子式:C24H34O4
分子量:386.53
结构式:
包装:棕色安瓿瓶
装量:约20mg/支
储存条件:冷处(2-10℃)干燥保存
名称:3-甲酰利福霉素SV
货号:BP1600
规格:50mg
本品为3-甲酰利福霉素SV标准品,供利福平品种有关物质检查及系统适用性试验用。
使用方法:精密称取本品适量,按规定的方法,配制至所需浓度的对照品溶液,立即使用。
储存条件:置5℃以下低温避光保存。开启安瓿后严密保持干燥,以防吸水。
注意事项:使用前不需干燥处理。
名称:2-苯乙酰胺
货号:BP1621
规格:65mg
本品为2-苯乙酰胺化学对照品,供系统适用性试验用,使用前不需干燥处理。
CAS号:103-81-1
分子式:C8H9NO
分子量:135.16
结构式:
包装:白色安瓿
规格:约65毫克/支
储存条件:2-8℃保存
名称:头孢匹胺
货号:BP1654
规格:100mg
本品为头孢匹胺化学对照品,供高效液相含量测定用。
包装及装量:安瓿;约100mg/支
储存条件:置4℃以下条件低温避光保存。启开安瓿后密闭保持干燥以防吸水。
名称:6-氨基青霉烷酸
货号:BP1715
规格:100mg
本品为6-氨基青霉烷酸化学对照品,供舒巴坦钠品种HPLC系统适用性试验用。
使用方法:精密称取本品适量,按相关质量标准的规定,溶解并稀释至所需浓度的溶液,立即使用。
储存条件:置5℃以下低温避光保存。开启安瓿后严密保持干燥,以防吸水。
注意事项:使用前不需干燥处理。
名称:纤维蛋白原
货号:BP1792
规格:凝固物含量44%
本品为纤维蛋白原(牛血)标准试剂,供凝血酶效价测定使用。
包装:无色安瓿
规格:凝固物含量为44%
储存条件:-20℃低温密封保存
注意事项:使用前将安瓿放置室温,溶解后尽快使用。开瓶后一次性使用。
名称:环-(甘氨酰-谷氨酰胺)
货号:BP1896
规格:10mg/支
本品为环-(甘氨酰-谷氨酰胺)化学对照品,供甘氨酰谷氨酰胺有关物质检查。含量以C7H11N3O3计为99.5%。
CAS号:52662-00-7
分子式:C7H11N3O3
分子量:185.18
包装:3ml棕色安瓿
装量:10mg/支
储存条件:-20℃保存
注意事项:使用前不需干燥处理
风险提示:丁香通仅作为第三方平台,为商家信息发布提供平台空间。用户咨询产品时请注意保护个人信息及财产安全,合理判断,谨慎选购商品,商家和用户对交易行为负责。对于医疗器械类产品,请先查证核实企业经营资质和医疗器械产品注册证情况。
- 作者
- 内容
- 询问日期
文献和实验,副作用增加。而采用粉末直接压片工艺生产,避免了与水的接触,同时可选用引湿性小的辅料,进一步保证药物在贮藏期间的稳定性。 3、用于溶解度较小或疏水性的药物溶解度小的药物的溶出度受其比表面积和药物成品表面性质的影响较大,通过药剂学方法,选用亲水性辅料,经粉末直接压片后,药品崩解后药物直接从粉末中释放出来,分散度增大,溶出加快,相对生物利用度提高。 4、用于低熔点及产生共熔的复方药物环扁桃酯的熔点为50℃~62℃,常规湿法制粒可造成药物熔化而影响质量;盐酸麻黄素和盐酸苯海拉明的复方制剂,湿法
浓度有关。 西米替丁能抑制细胞色素P-450肝药酶活性,抑制华法林、苯妥英钠、茶碱、苯巴比妥、安定、普萘洛尔等代谢。合用时,应调整这些药物剂量。雷尼替丁这一作用很弱,法莫替丁、尼扎替丁对其无影响。 制剂及用法 盐酸苯海拉明(diphenhydramine hydrochloride,benadryl)片剂,25~50mg/次,3次/日。注射剂,20mg/次,肌内注射,1~2次/日。 茶苯海明(dimenhydrinate;晕海宁,theohydramine)片剂,为苯海拉明
,可引起阳萎、性欲消失及乳房发育。可能与其抑制二氢睾丸素与雄性素受体相结合及增加血液雌二醇浓度有关。 西米替丁能抑制细胞色素P-450肝药酶活性,抑制华法林、苯妥英钠、茶碱、苯巴比妥、安定、普萘洛尔等代谢。合用时,应调整这些药物剂量。雷尼替丁这一作用很弱,法莫替丁、尼扎替丁对其无影响。 制剂及用法 盐酸苯海拉明(diphenhydramine hydrochloride,benadryl)片剂,25~50mg/次,3次/日。注射剂,20mg/次,肌内注射,1~2次/日。
技术资料暂无技术资料 索取技术资料










