相关产品推荐更多 >
万千商家帮你免费找货
0 人在求购买到急需产品
- 详细信息
- 文献和实验
- 技术资料
- 库存:
281
- 英文名:
Iopromide
- 保质期:
长期
- 供应商:
北京百奥莱博科技有限公司
- 保存条件:
阴凉干燥
- 规格:
100mg
特别提示:包括碘普罗胺在内,本公司的所有产品仅可用于科研实验,严禁用于临床医疗及其他非科研用途!
产品名称:碘普罗胺
英文名称:Iopromide
产品货号:BP0496
产品规格:100mg
除了碘普罗胺,,我公司还供应以下相关产品:
名称:醋酸氯地孕酮
货号:BP0011
规格:50mg
名称:维生素B6(盐酸吡哆辛)
货号:BP0090
规格:100mg
本品为维生素B6(盐酸吡哆辛)(Pyridoxine Hydrochloride)的化学对照品,使用前不需干燥处理,供HPLC法测定,按C8H11NO3·HCl计,含量为100.0%。
分子式:C8H11NO3·HCl
分子量:205.64
CAS号:58-56-0
包装:棕色西林瓶
装量:约100毫克/支
储存条件:遮光,密封保存
名称:吡罗昔康
货号:BP0144
规格:100mg
本品为吡罗昔康(Piroxicam)的化学对照品,供含量测定用。按C15H13N3O4S计,供HPLC法测定,含量为99.8%;供UV法测定,含量为100.0%。
分子式:C15H13N3O4S
分子量:331.35
CAS号:36322-90-4
包装及装量:西林瓶装,每支约100毫克。
储存条件:遮光,密封保存。
注意事项:使用前不需干燥处理。
名称:泼尼松
货号:BP0163
规格:100mg/支
本品为泼尼松的化学对照品,供HPLC法鉴别和含量测定用,以C21H26O5计,含量为99.6%,使用前不需干燥处理。
分子式:C21H26O5
结构式:
分子量:358.43
CAS号:53-03-2
包装:棕色西林瓶
规格:约100毫克/支
储存条件:遮光,密封保存
注意事项:本品溶液中易降解,应临用现配,避免配制后长时间室温放置。
名称:醋甲唑胺
货号:BP0451
规格:100mg
名称:3米氟米特杂质III
货号:BP0570
规格:25微克
本品为来氟米特杂质III化学对照品,化学名称3-甲基-N-[4(-三氟甲基)苯基]异恶唑-4-甲酰胺,本品每支装量约为25μg,临用量可用少量*腈溶解后,加流动稀释至一定体积制成储备液,用于系统适用性试验溶液的制备。
分子式:C12H9F3N2O2
分子量:270.20
包装及装量:棕色小瓶装,每支约 25 微克。
储存条件:遮光,密闭保存
名称:醋氯芬酸
货号:BP0597
规格:约100毫克/支
本品为醋氯芬酸化学对照品,105℃干燥2小时后使用,按C16H13Cl2NO4计,供HPLC法测定,含量为99.9%;供UV法测定,含量为100.0%。
CAS号:89796-99-6
分子式:C16H13Cl2NO4
分子量:354.19
包装:棕色西林瓶
规格:约100毫克/支
储存条件:遮光,10~30℃密闭保存
名称:二乙酰氨乙酸*二胺
货号:BP0611
规格:100mg
本品为二乙酰氨乙酸*二胺化学对照品,供含量测定用。
分子式:C10H22O6N4
分子量:294.3
包装及装量:棕色小瓶装,每支约100毫克。
储存条件:遮光,密闭保存。
注意事项:使用前不需干燥处理。
名称:盐酸乙哌立松
货号:BP0733
规格:100mg
名称:托吡酯
货号:BP0774
规格:100mg
名称:格列美脲杂质Ⅳ
货号:BP0978
规格:30mg/支
本品为格列美脲杂质Ⅳ化学对照品,使用前不需干燥处理。供HPLC法系统适用性试验用。
CAS号:791104-62-6
分子式:C24H34N4O5S
分子量:490.62
结构式:
包装:棕色西林瓶
规格:约30毫克/支
储存条件:遮光,密闭,2~8℃保存
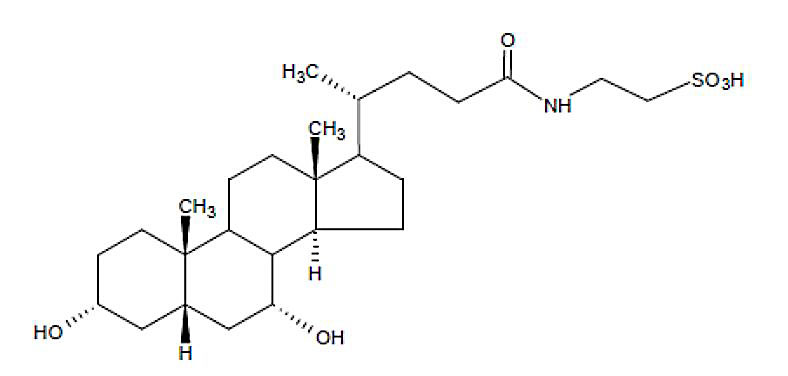
名称:牛磺鹅去氧胆酸钠
货号:BP1125
规格:20mg
本品为牛磺鹅去氧胆酸化学对照品,供相关物质鉴别用。
分子式:C26H45NO6S
分子量:499
结构式:
包装及装量:棕色瓶。
储存条件:本品极具引湿性,应干燥密闭保存。
注意事项:使用前无需处理。
名称:升麻素
货号:BP1309
规格:20mg
名称:远志酸
货号:BP1477
规格:约20mg/支
本品为远志酸化学对照品,供含量测定用,含量以96.5%计。
分子式:C29H44O6
分子量:488.31
包装及装量:棕色安瓿瓶。
储存条件:室温干燥保存。
注意事项:使用前无需处理。
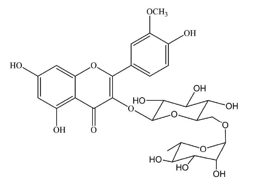
名称:水仙苷
货号:BP1525
规格:20mg/支
本品为水仙苷化学对照品,供含量测定用,含量93.1%计,使用前不需干燥处理。
CAS号:604-80-8
分子式:C28H32O16
分子量:624.54
结构式:
包装:棕色安瓿瓶
规格:约20mg/支
储存条件:冷处(2-10℃)保存
注意事项:本品具有引湿性,建议打开包装一次性使用完。
名称:脱氧核糖胞嘧啶核苷酸钠(C)
货号:BP1851
规格:20mg/瓶
本品为脱氧核糖胞嘧啶核苷酸钠化学对照品,含量为90.3%,供脱氧核苷酸鉴别及含量测定用。
分子式:C9H12N3O7PNa2
分子量:351.16
结构式:
包装:棕色瓶
装量:约20mg/支
储存条件:-20℃保存
注意事项:使用前不需干燥。
名称:人免疫球蛋白白喉抗体国家标准品
货号:BP2111
规格:0.4HAU/支
风险提示:丁香通仅作为第三方平台,为商家信息发布提供平台空间。用户咨询产品时请注意保护个人信息及财产安全,合理判断,谨慎选购商品,商家和用户对交易行为负责。对于医疗器械类产品,请先查证核实企业经营资质和医疗器械产品注册证情况。
文献和实验相关实验
葡胺为12.7,室椎影为36.72,碘曲仑(伊索显)则>57.7。 80年代末期,中外学者在北京、昆明对新一代造影剂进行了评价,一致认为造影剂中,脊髓造影以碘曲仑(伊索显),心血管造影以碘普罗胺(优维显)为最佳。
技术资料暂无技术资料 索取技术资料
碘普罗胺
¥380 - 3800










