相关产品推荐更多 >
万千商家帮你免费找货
0 人在求购买到急需产品
- 详细信息
- 技术资料
- 库存:
429
- 英文名:
Bufalin
- CAS号:
465-21-4
- 保质期:
长期
- 供应商:
北京百奥莱博科技有限公司
- 保存条件:
冷处(2-10℃)
- 规格:
20mg/支
特别提示:包括蟾毒灵在内,本公司的所有产品仅可用于科研实验,严禁用于临床医疗及其他非科研用途!
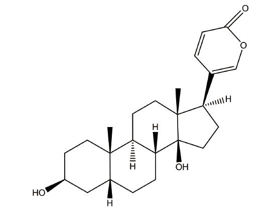
产品名称:蟾毒灵
英文名称:Bufalin
产品货号:BP1513
产品规格:20mg/支
本品为蟾毒灵非标准用对照品,使用前不需干燥处理,含量以99.2%计。
CAS号:465-21-4
分子式:C24H34O4
分子量:386.53
结构式:
包装:棕色安瓿瓶
装量:约20mg/支
储存条件:冷处(2-10℃)干燥保存
除了蟾毒灵,,我公司还供应以下相关产品:
BP0084 α-甲基*啶 300mg/支
BP0353 丹皮酚磺酸钠 100mg
BP0438 爱普列特 50mg
BP0482 乌拉地尔 100mg/支
BP0665 左旋奥硝唑 100mg
BP0931 拉米夫定杂质Ⅲ 20mg/支
BP1044 三七皂苷R1 约20mg/支
BP1133 水飞蓟宾 约20mg/支
BP1425 石斛酚 约0.4mg/支
BP1542 补骨脂异黄酮 20mg/支
BP1562 阿米卡星 100mg
BP1591 4-差向金霉素 50mg/支
BP1624 洛美沙星 100mg/支
BP1684 利福喷丁 200mg
BP2063 *杨醛吖嗪 100mg/支
BP2101 dl-α-生育酚 0.5ml
GL1357 pH标准缓冲粉剂(pH=7.00) 1L
风险提示:丁香通仅作为第三方平台,为商家信息发布提供平台空间。用户咨询产品时请注意保护个人信息及财产安全,合理判断,谨慎选购商品,商家和用户对交易行为负责。对于医疗器械类产品,请先查证核实企业经营资质和医疗器械产品注册证情况。
技术资料暂无技术资料 索取技术资料
蟾毒灵
¥380 - 3800










