相关产品推荐更多 >
万千商家帮你免费找货
0 人在求购买到急需产品
- 详细信息
- 技术资料
- 库存:
201
- 英文名:
Chlorhexidine Hydrochloride
- 保质期:
长期
- 供应商:
北京百奥莱博科技有限公司
- 保存条件:
冷藏
- 规格:
100mg
特别提示:包括盐酸氯己定在内,本公司的所有产品仅可用于科研实验,严禁用于临床医疗及其他非科研用途!
产品名称:盐酸氯己定
英文名称:Chlorhexidine Hydrochloride
产品货号:BP0316
产品规格:100mg
除了盐酸氯己定,,我公司还供应以下相关产品:
名称:氨基*酸
货号:BP0083
规格:300mg
本品为氨基*酸(Aminocaproicacid),供HPLC法含量测定,按C6H13NO2计,含量为99.4%。
分子式:C6H13NO2
分子量:131.17
CAS号:60-32-2
包装及装量:棕色小瓶装,每支约300毫克。
储存条件:遮光,密封保存。
注意事项:105℃干燥2小时后使用。
名称:盐酸氯丙那林
货号:BP0180
规格:100mg/支
本品为盐酸氯丙那林的化学对照品,供含量测定用,使用前不需干燥处理。供HPLC法测定,按C11H16ClNO·HCl计,含量为99.9%。
分子式:C11H16ClNO·HCl
结构式:
分子量:250.17
CAS号:6933-90-0
包装:棕色西林瓶
装量:约100毫克/支
储存条件:遮光,10~30℃密闭保存
名称:氨苯蝶啶
货号:BP0338
规格:100mg/支
本品为氨苯蝶啶化学对照品,供含量测定用,使用前不需干燥处理。按C12H11N7计,含量为99.8%。
分子式:C12H11N7
结构式:
分子量:253.27
CAS号:396-01-0
包装:棕色西林瓶。
规格:100毫克/支。
储存条件:遮光,密封保存。
名称:盐酸非那*啶
货号:BP0598
规格:100mg
名称:富马酸喹硫平
货号:BP0621
规格:100mg
本品为富马酸喹硫平化学对照品,供HPLC法鉴别、UV法溶出度检查及HPLC法含量测定时,作对照用。含量以C21H25N3O2·1/2C4H4O4计,HPLC含量测定时为99.8%;UV法溶出度检查时,含量为100.0%。
CAS号:11974-72-2
分子式:C21H25N3O2·1/2C4H4O4
分子量:441.54
包装:棕色西林瓶
规格:每支约100mg
储存条件:室温,密闭遮光保存
名称:盐酸曲普利啶
货号:BP0775
规格:100mg
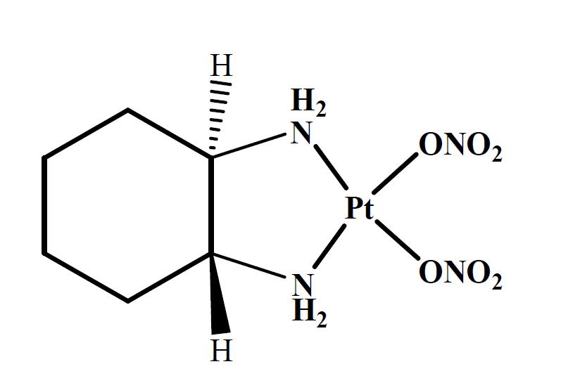
名称:环己二*二硝酸合铂(奥沙利铂杂质Ⅰ)
货号:BP0795
规格:20mg/支
本品为环己二*二硝酸合铂化学对照品,供奥沙利铂杂质Ⅰ检查用,使用前不需干燥处理。
CAS号:66900-68-3
分子式:C6H14N4O6Pt
分子量:433.28
结构式:
包装及装量:棕色西林瓶装,每支约20mg。
储存条件:遮光,密封保存。
名称:丹参素钠
货号:BP1132
规格:20mg/支
本品为丹参素钠化学对照品,供项下鉴别或含量测定用,含量以98.1%计,使用前不需干燥处理。
CAS号:67920-52-9
分子式:C9H9O5Na
分子量:220.04
结构式:
包装:棕色安瓿瓶。
装量:约20mg/支。
储存条件:冷冻保存。
注意事项:本品具引湿性,建议打开包装后一次使用完。
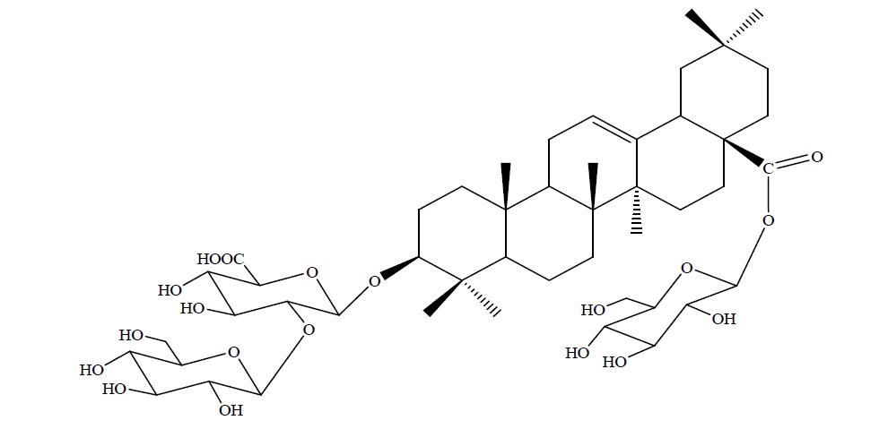
名称:人参皂苷Ro
货号:BP1447
规格:约20mg/支
本品为人参皂苷Ro化学对照品,供相关物质鉴别用,使用前不需干燥处理。
CAS号:34367-04-9
分子式:C48H76O19
分子量:957.11
结构式:
包装:棕色瓶
装量:约20mg/支
储存条件:冷冻保存
注意事项:本品具有引湿性,开封后一次使用完毕。
名称:氟氯西林
货号:BP1672
规格:100mg
本品为氟氯西林化学对照品,供高效液相含量测定用,含量以氟氯西林(C19H17ClFN3O5S)计。
使用方法:精密称取适量,加流动相稀释至所需浓度,立即使用。
储存条件:置5℃以下条件低温避光保存。启开安瓶后严密保持干燥以防吸水。
注意事项:使用前不需干燥处理。
名称:色氨酸
货号:BP1830
规格:100mg/支
本品为色氨酸化学对照品,供氨基酸含量测定和鉴别用,含量为99.9%。
CAS号:73-22-3
分子式:C11H12N2O2
分子量:204.23
包装及装量:2ml棕色西林瓶,约100mg/瓶
储存条件:避光,密封保存
注意事项:按照质量标准称量后溶解使用,使用前不需干燥处理。
名称:门冬氨酸鸟氨酸
货号:BP1872
规格:50mg/瓶
本品为门冬氨酸鸟氨酸化学对照品,含量以C9H19N3O6计为96.6%,供门冬氨酸鸟氨酸鉴别使用,以及门冬氨酸鸟氨酸制剂的含量测定使用。
CAS号:3230-94-2
分子式:C9H19N3O6
分子量:265.27
结构式:
包装:棕色西林瓶
装量:50mg/瓶
储存条件:4℃
名称:邻苯二*酸二正丙酯
货号:BP2174
规格:1ml
本品为邻苯二*酸二正丙酯化学对照品,供GC法含量测定用,按C14H18O4计,含量为 99.3%,使用前不需干燥处理。
CAS号:131-16-8
分子式:C14H18O4
分子量:250.29
包装及装量:棕色安瓿瓶装,每支约 1毫升。
储存条件:遮光,密封保存。
风险提示:丁香通仅作为第三方平台,为商家信息发布提供平台空间。用户咨询产品时请注意保护个人信息及财产安全,合理判断,谨慎选购商品,商家和用户对交易行为负责。对于医疗器械类产品,请先查证核实企业经营资质和医疗器械产品注册证情况。
技术资料暂无技术资料 索取技术资料
盐酸氯己定
¥380 - 3800










