相关产品推荐更多 >
万千商家帮你免费找货
0 人在求购买到急需产品
- 详细信息
- 文献和实验
- 技术资料
- 库存:
327
- 英文名:
Tobramycin
- CAS号:
32986-56-4
- 保质期:
长期
- 供应商:
北京百奥莱博科技有限公司
- 保存条件:
2-8℃
- 规格:
100mg
特别提示:包括妥布霉素在内,本公司的所有产品仅可用于科研实验,严禁用于临床医疗及其他非科研用途!
产品名称:妥布霉素
英文名称:Tobramycin
CAS#:32986-56-4
产品货号:BP1566
产品规格:100mg
本品为妥布霉素标准品,供抗生素微生物效价测定用,使用前不需干燥处理。
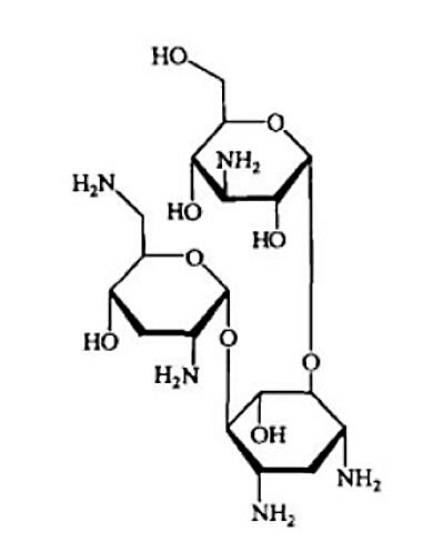
CAS号:32986-56-4
分子式:C18H37N5O9
分子量:467.52
结构式:
包装:白色安瓿
规格:约100毫克/支
储存条件:2-8℃保存
除了妥布霉素,,我公司还供应以下相关产品:
BP0084 α-甲基吡* 300mg/支
BP0227 卡巴胂 100mg/支
BP0260 氯碘羟喹 100mg
BP0271 替硝唑 100mg
BP0389 盐酸赛庚啶 50mg
BP0393 安替比林 200毫克/支
BP0469 厄贝沙坦 100mg/支
BP0516 盐酸安非他酮 50mg
BP0540 吡嘧司特钾 100mg
BP0723 甲磺酸加贝酯 100mg
BP0725 盐酸金刚*胺 100mg
BP0729 马来酸桂哌齐特 200mg/支
BP0945 奈韦拉平杂质Ⅰ 30mg/支
BP0963 吲哚美辛杂质II(4-氯*甲*) 50毫克/支
BP1078 獐牙菜苦苷 约20mg/支
BP1152 *脑 约20mg/支
BP1292 天然*片(右旋*脑) 约50mg/支
BP1317 人参皂苷Rf 10mg/支
BP1342 11-羰基-β-乙酰乳香酸 20mg
BP1379 连翘酯苷A 20mg/支
BP1642 青霉素V 100mg
BP1678 克拉维酸钾 50mg/支
BP1904 降钙素C 5mg/支
BP2020 聚丙*酸树脂II 200mg
BP2023 聚甲丙*酸铵酯I 200mg
BP2050 二甲基亚砜 1ml/瓶
风险提示:丁香通仅作为第三方平台,为商家信息发布提供平台空间。用户咨询产品时请注意保护个人信息及财产安全,合理判断,谨慎选购商品,商家和用户对交易行为负责。对于医疗器械类产品,请先查证核实企业经营资质和医疗器械产品注册证情况。
文献和实验网络 第四十章 氨基甙类抗生素及多粘菌素 第一节 氨基甙类抗生素 氨基甙类抗生素(aminoglycosides)都由氨基糖分子和非糖部分的甙元结合而成,它包括链霉素、庆大霉素、卡那霉素、西索米星以及人工半合成的妥布霉素、阿米卡星、奈替米星等。 一、氨基甙类抗生素的共性 氨基甙类抗生素的化学结构基本相似,因此具有共同特点,如水溶
佚名 氨基甙类抗生素(aminoglycosides)都由氨基糖分子和非糖部分的甙元结合而成,它包括链霉素、庆大霉素、卡那霉素、西索米星以及人工半合成的妥布霉素、阿米卡星、奈替米星等。 一、氨基甙类抗生素的共性 氨基甙类抗生素的化学结构基本相似,因此具有共同特点,如水溶性好,性质稳定;此外,在抗菌谱,抗菌机制,血清蛋白结合率,胃肠吸收,经肾排泄
86例前列腺组织内药物注射治疗,效果满意。 1.临床资料 本组86例病人,年龄16~48岁,平均26岁。病程1~12个月,平均4个月。下腹部或会阴部痛14例、排尿灼热或刺痛感26例、两睾丸附睾酸痛18例、腹股沟酸痛20例、尿道瘙痒8例。86例病人均行前列腺液常规检查、前列腺液细菌培养及敏感试验(Stamey 4段法取材并接种于巧克力+10%二氧化碳培养基培养)。86例病人前列腺液常规检查WBC 10~30/HP、卵磷脂小体明显减少,前列腺液细菌培养均有淋球菌生长。药敏试验:妥布霉素
技术资料暂无技术资料 索取技术资料










