相关产品推荐更多 >
万千商家帮你免费找货
0 人在求购买到急需产品
- 详细信息
- 文献和实验
- 技术资料
- 库存:
225
- 英文名:
Bromhexine Hydrochloride Impurity D
- 保质期:
长期
- 供应商:
北京百奥莱博科技有限公司
- 保存条件:
遮光,密闭,10~30℃
- 规格:
20毫克/支
特别提示:包括盐酸溴己新杂质D在内,本公司的所有产品仅可用于科研实验,严禁用于临床医疗及其他非科研用途!
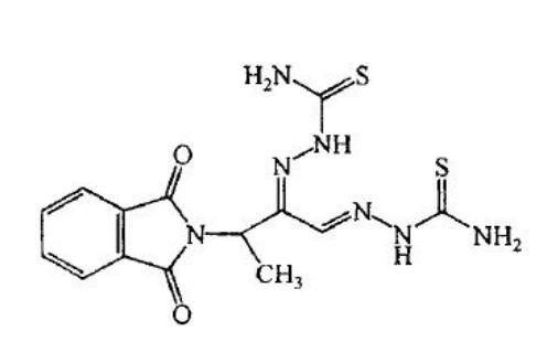
产品名称:盐酸溴己新杂质D
英文名称:Bromhexine Hydrochloride Impurity D
产品货号:BP1011
产品规格:20毫克/支
本品为盐酸溴己新杂质D(N-甲基-N-环己基-2-氨基-5-溴**胺盐酸盐)化学对照品,供HPLC法系统适用性试验用,使用前不需干燥处理。
分子式:C14H22BrClN2
分子量:333.69
结构式:
包装:棕色西林瓶
规格:约20毫克/支
储存条件:遮光,密闭,10~30℃保存。
除了盐酸溴己新杂质D,,我公司还供应以下相关产品:
名称:酞丁安
货号:BP0052
规格:50mg/支
本品为酞丁安(Ftibamzone)的化学对照品,供含量测定用。105℃干燥1小时后使用,供UV法测定,按C14H15N7O2S2计,含量为81.3%。
分子式:C14H15N7O2S2
结构式:
分子量:377.45
CAS号:210165-00-7
包装:棕色西林瓶
装量:约50毫克/支
储存条件:遮光,密闭,10~30℃保存。
名称:醋酸环丙孕酮
货号:BP0410
规格:100mg/支
本品为醋酸环丙孕酮化学对照品,供HPLC法含量测定用,以C24H29ClO4计,含量为99.7%,使用前不需干燥处理。
分子式:C24H29ClO4
分子量:416.9
CAS号:427-51-0
包装:棕色西林瓶
规格:约100毫克/支
储存条件:遮光,密封保存
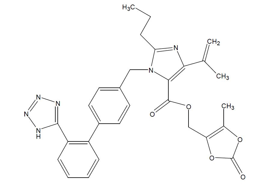
名称:奥美沙坦酯杂质混合物
货号:BP0421
规格:RNH-8276约5μg,RNH-6373约6μg/支
本品是由奥美沙坦酯杂质RNH-6373和杂质RNH-8276配制成溶液,分装后吹干,内容物附于瓶底及瓶壁。本品供HPLC法检查用,每支含RNH-6373为5.5μg,RNH-8276为4.9μg。精密量取*腈-水(90:10)1.0ml,充分溶解,混匀,即可使用,使用前不需干燥处理。本品供HPLC法检查用。
分子式:C29H28N6O5(RNH-6373)
分子式:C48H50N12O5(RNH-8276)
分子量:540.58(RNH-6373)
分子量:875.01(RNH-8276)
结构式:
RNH-6373
RNH-8276
奥美沙坦酯杂质混合物溶液
色谱柱:PhenomenexLunaC8(2)(250×4.6mm,5μm)
包装:棕色西林瓶。
装量:每支含RNH-6373为5.5μg,RNH-8276为4.9μg。
储存条件:遮光,密闭,-20℃保存。
注意事项:本品溶液须临用新制。
名称:7-表-10-去乙酰基紫杉醇(紫杉醇杂质II)
货号:BP0699
规格:20mg/支
本品为7-表-10-去乙酰基紫杉醇(紫杉醇杂质II)化学对照品,供HPLC法系统适用性试验用,使用前不需干燥处理。
CAS号:78454-17-8
分子式:C45H49NO13
分子量:811.87
结构式:
包装:棕色西林瓶。
规格:约20毫克/支。
储存条件:遮光,密封保存。
名称:汉黄芩素
货号:BP1179
规格:20mg/支
本品为汉黄芩素化学对照品,供相关物质鉴别用,使用前不需干燥处理。
CAS号:124-76-5
分子式:C16H12O5
分子量:284.26
结构式:
包装:棕色瓶
规格:约20mg/支
储存条件:冷处(2-10℃)保存
名称:*喃二烯
货号:BP1392
规格:约20mg/支
本品为*喃二烯化学对照品,供含量测定用,含量以99.4%计。
分子式:C15H20O
分子量:216.31
结构式:
包装及装量:棕色瓶。
储存条件:干燥密闭冷藏保存。
注意事项:使用前无需处理。
名称:耐斯糖
货号:BP1437
规格:20mg/支
本品为耐斯糖化学对照品,供含量测定用,含量以92.2%计,使用前不需干燥处理。
CAS号:13133-07-8
分子式:C24H42O21
分子量:666.58
结构式:
包装:棕色安瓿
规格:约20mg/支
储存条件:冷处(2-10℃)保存
名称:青霉素系统适用性对照品
货号:BP1724
规格:30mg
本品为青霉素系统适用性对照品,供含量测定和有关物质系统适用性试验用,使用前不需干燥处理。
标准图谱:
1.含量测定系统适用性试验用标准图谱:
色谱柱:SHISEIDOMGIIC185μm4.6mm×250mm
注:以有关物质项下流动相A-流动相B(85:15)为流动相。
2.有关物质系统适用性试验用标准图谱:
色谱柱:SHISEIDOMGIIC185μm4.6mm×250mm图中:峰1~4:杂质E;峰5:杂质I;峰6~7:杂质F;峰8:
杂质J;峰9:杂质H;峰10:杂质D;峰11:杂质G
包装:白色安瓿
规格:约100毫克/支
储存条件:2-8℃遮光保存
名称:卡培他滨
货号:BP2142
规格:100mg/支
本品为供卡培他滨化学对照品,供含量测定用,按154361-50-9计,含量为99.7%,使用前不需干燥处理。
CAS号:154361-50-9
分子式:C15H22FN3O6
分子量:359.35
结构式:
包装:棕色西林瓶装
装量:每支约100mg
储存条件:遮光,2-8℃密封保存
风险提示:丁香通仅作为第三方平台,为商家信息发布提供平台空间。用户咨询产品时请注意保护个人信息及财产安全,合理判断,谨慎选购商品,商家和用户对交易行为负责。对于医疗器械类产品,请先查证核实企业经营资质和医疗器械产品注册证情况。
文献和实验PKH染料,如PKH67和PKH26,是高荧光、亲脂性的长链羰花青染料,目前被应用于细胞外囊泡(EVs)及其功能的研究,有研究评估了PKH在研究EV摄取时的适用性,发现PKH标记会显著影响外泌体细胞摄取结果的真实性,引入假阳性结果[1]。 不同纯化方法去除PKH 已有共识的是,PKH标记EV会引入PKH颗粒杂质,Lai等人[2]首先发现非EV的PKH阳性结构的存在,他们表明用仅PKH67对照组比PKH67染色的EV样品具有更大的荧光信号。在上篇文章中,我们论证
并洗脱到不同的组分中。 图8 凝胶过滤层析流程 (A)电子显微镜下的填料颗粒放大图。(B)样品中不同分子进入填料不同孔的示意图。(C) 分离过程的描述 (i)上样到层析柱;(ii)最小的分子(黄色)比最大的分子(深橘色)相比在层析柱上延迟更多;(iii)最大的分子最早被从层析柱上洗脱。样品在层析过程中被明显的稀释。(D)层析图谱示意图。 适用性 组群分离:可以从一组较大的分子中去除小分子,或者快速、简单地进行缓冲液置换, 上样体积一般小于30%CV(Column Volume,柱体
在实验间歇时,A 君和 B 君聊起了最近各地涌现的「幸运锦鲤」。A:你说现在各个省份都弄幸运锦鲤,咱们科研民工怎么不弄个属于自己的锦鲤?B:怎么弄?「被选中的锦鲤可获得:A 公司优异 Taq 酶免费 5 ml,B 公司强力 Taq 酶免费 5 ml,C 公司霸气 Taq 酶免费 5 ml,D 公司无敌 Taq 酶免费 5 ml,E 公司终极 Taq 酶免费 5 ml……」A:算了算了,我要这么多酶干什么?咒自己实验做不出来?△ 图源:站酷海洛确实,和可以自由尝试的吃喝玩乐不同,科研人员的目的
技术资料暂无技术资料 索取技术资料










