相关产品推荐更多 >
万千商家帮你免费找货
0 人在求购买到急需产品
- 详细信息
- 技术资料
- 库存:
61
- 英文名:
Propafenone Hydrochloride
- CAS号:
34183-22-7
- 保质期:
长期
- 供应商:
北京百奥莱博科技有限公司
- 规格:
100mg
特别提示:包括盐酸普罗帕酮在内,本公司的所有产品仅可用于科研实验,严禁用于临床医疗及其他非科研用途!
产品名称:盐酸普罗帕酮
英文名称:Propafenone Hydrochloride
CAS#:34183-22-7
产品货号:BP0866
产品规格:100mg
本品为盐酸普罗帕酮化学对照品,供UV法溶出度检查用,按C21H27NO3·HCl计,含量为99.9%。
CAS号:34183-22-7
分子式:C21H27NO3·HCl
分子量:377.91
包装及装量:棕色小瓶装,每支约100毫克。
储存条件:遮光,密封保存。
注意事项:使用前无需处理。
除了盐酸普罗帕酮,,我公司还供应以下相关产品:
名称:苯*酸雌二醇
货号:BP0006
规格:100mg/支
本品为苯*酸雌二醇(EstradiolBenzoate)。按C25H28O3计,供HPLC法测定,含量为99.1%。
CAS号:50-50-0
分子式:C25H28O3
分子量:376.50
包装及装量:棕色小瓶装,每支约100毫克。
储存条件:遮光,密封保存。
注意事项:105℃干燥2小时后使用。
名称:己烯雌酚
货号:BP0031
规格:100mg
本品为己烯雌酚(Diethylstilbestrol)化学对照品,供HPLC法鉴别和含量测定用。本品不需干燥处理,以CHO18202计,含量为99.5%。
分子式:C18H20O2
分子量:268.36
CAS号:56-53-1
包装及装量:棕色西林瓶,每支约100毫克。
储存条件:干燥避光,常温密闭保存。
注意事项:本品不需干燥处理,直接称取,避光操作。
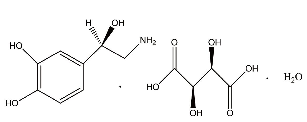
名称:重酒石酸去甲肾上*素
货号:BP0136
规格:100mg/支
本品为重酒石酸去甲肾上*素的化学对照品,供HPLC法测定用,按C8H11NO3·C4H6O8·H2O计,含量为94.3%,使用前不需干燥处理。
分子式:C8H11NO3·C4H6O8·H2O
结构式:
分子量:337.28
CAS号:69815-49-2
包装:棕色安瓿瓶
规格:约100毫克/支
储存条件:遮光,充氮气,密封保存。
名称:依西美坦
货号:BP0674
规格:100mg/支
本品为依西美坦化学对照品,供含量测定用,按C20H24O2计,含量为100.0%,使用前不需要干燥处理。
CAS号:107868-30-4
分子式:C20H24O2
分子量:296.41
结构式:
包装:棕色西林瓶装。
规格:约100毫克/支
储存条件:遮光,密封保存。
名称:罗库溴铵杂质I
货号:BP0969
规格:20毫克/支"
名称:异亮氨酸
货号:BP1263
规格:20mg
本品为异亮氨酸化学对照品,供相关物质鉴别用。
包装及装量:棕色西林瓶,约20mg
储存条件:干燥密闭保存。
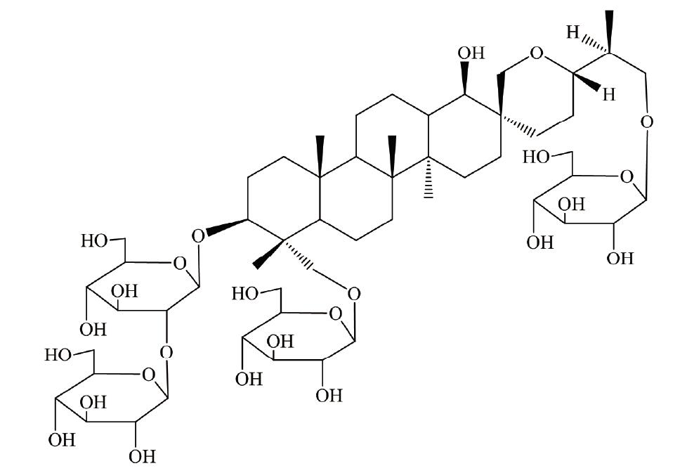
名称:凤仙萜四醇苷K
货号:BP1532
规格:20mg/支
本品为凤仙萜四醇苷K化学对照品,供含量测定用,含量以92.8%计,使用前不需干燥处理。
CAS号:160896-49-1
分子式:C54H92O25
分子量:1141.29
结构式:
包装:棕色安瓿瓶
规格:约20mg/支
储存条件:冷处(2-10℃)保存
注意事项:本品具有引湿性,建议打开包装一次性使用完。
名称:美他环素
货号:BP1650
规格:100mg
本品为美他环素化学对照品,供高效液相含量测定用,含量以美他环素(C22H22N2O8)计。
使用方法:精密称取适量,按规定的方法,配制至所需浓度的对照品溶液,立即使用。
储存条件:置 5℃以下条件低温避光保存。启开安瓿后严密保持干燥以防吸水。
注意事项:使用前不需干燥处理。
名称:酪蛋白
货号:BP1775
规格:约7g/瓶
本品为酪蛋白标准试剂,供胰酶效价测定用,使用前不需干燥处理。
包装:25ml白色塑料瓶
规格:约7g/瓶
储存条件:室温保存
名称:凝血酶
货号:BP1791
规格:1180单位/瓶
本品为凝血酶化学标准品,效价为1180单位/瓶,供凝血酶效价测定用。使用时放置至室温,开启后一次性用完。
包装:2ml西林瓶
规格:1180单位/瓶
储存条件:-20℃保存
名称:D-葡萄糖醛酸
货号:BP1801
规格:100mg/瓶
本品为D-葡萄糖醛酸化学对照品,含量为99.1%,供硫酸软骨素A钠和玻璃酸钠含量测定。使用前不需干燥处理。
CAS号:6556-12-3
分子式:C6H10O7
分子量:194.14
包装:棕色西林瓶
规格:每瓶约100mg
储存条件:遮光,常温保存
名称:还原型谷胱甘肽
货号:BP1845
规格:200mg
本品为还原型谷胱甘肽化学对照品,含量为99.4%,供还原型谷胱甘肽鉴别与含量测定用,使用前105℃干燥1小时。
分子式:C10H17N3O6S
分子量:307.33
包装:2ml西林瓶轧铝盖
规格:每瓶约200mg
储存条件:避光密闭,2℃~8℃保存。
名称:山嵛酸甘油酯
货号:BP2018
规格:500mg
本品为山嵛酸甘油酯化学对照品,供山嵛酸甘油酯品种薄层鉴别用。
包装及装量:棕色西林瓶装,每支约500毫克
储存条件:遮光,密封,于阴凉处保存。
注意事项:使用前不需干燥处理。
名称:聚甲丙*酸铵酯II
货号:BP2024
规格:200mg
本品为聚甲丙*酸铵酯Ⅱ化学对照品,供聚甲丙*酸铵酯Ⅱ品种红外光谱鉴别用。
包装及装量:棕色西林瓶装,每支约200 毫克
储存条件:遮光,密封,于阴凉处保存。
注意事项:使用前于 80℃减压干燥5 小时。
名称:枸橼酸三乙酯
货号:BP2052
规格:1ml/瓶
本品为枸橼酸三乙酯化学对照品,仅供枸橼酸三乙酯品种项下红外鉴别和含量测定用,使用前不需干燥处理,以C12H20O7计,含量为99.6%。
CAS号:77-93-0
分子式:C12H20O7
分子量:276.29
结构式:
包装:棕色安瓿瓶
规格:约1ml/瓶
储存条件:常温保存。
注意事项:建议打开包装一次性使用完
风险提示:丁香通仅作为第三方平台,为商家信息发布提供平台空间。用户咨询产品时请注意保护个人信息及财产安全,合理判断,谨慎选购商品,商家和用户对交易行为负责。对于医疗器械类产品,请先查证核实企业经营资质和医疗器械产品注册证情况。
技术资料暂无技术资料 索取技术资料
盐酸普罗帕酮
¥380 - 3800









