相关产品推荐更多 >
万千商家帮你免费找货
0 人在求购买到急需产品
- 详细信息
- 技术资料
- 库存:
305
- 英文名:
N-Acetyl-L-Tryptophan
- CAS号:
1218-34-4
- 保质期:
长期
- 供应商:
北京百奥莱博科技有限公司
- 保存条件:
4℃
- 规格:
300mg/瓶
特别提示:包括N-乙酰-L-色氨酸在内,本公司的所有产品仅可用于科研实验,严禁用于临床医疗及其他非科研用途!
产品名称:N-乙酰-L-色氨酸
英文名称:N-Acetyl-L-Tryptophan
CAS#:1218-34-4
产品货号:BP1897
产品规格:300mg/瓶
本品为N-乙酰-L-色氨酸化学对照品,供鉴别与含量测定用。含量以C13H14N2O3计为99.9%,供鉴别与含量测定。
CAS号:1218-34-4
分子式:C13H14N2O3
分子量:246.26
包装:2ml棕色西林瓶
装量:300mg/瓶
储存条件:4℃
注意事项:使用前不需干燥处理
除了N-乙酰-L-色氨酸,,我公司还供应以下相关产品:
名称:格列本脲
货号:BP0109
规格:100mg/支
本品为格列本脲(Glibenclamide)的化学对照品,105℃干燥2小时后使用,按C23H28ClN3O5S计,供HPLC法测定,含量为99.5%;供UV法测定,含量为99.9%。
分子式:C23H28ClN3O5S
分子量:494.01
CAS号:10238-21-8
包装及装量:棕色小瓶装,每支约100毫克。
储存条件:遮光,密封保存。
注意事项:105℃干燥2小时后使用。
名称:二氮嗪
货号:BP0320
规格:100mg
本品为二氮嗪化学对照品,供含量测定用,使用前不需干燥处理,供HPLC法测定,按C8H7ClN2O2S计,含量为98.9%。
CAS号:364-98-7
分子式:C8H7ClN2O2S
分子量:230.67
包装及装量:棕色西林瓶装,每支约100毫克。
储存条件:遮光,密闭保存。
名称:茜素双酯
货号:BP0329
规格:50mg
名称:2-甲基-5-硝基咪唑
货号:BP0396
规格:50mg/支
本品为2-甲基-5-硝基咪唑化学对照品,又名甲硝唑杂质Ⅰ、奥硝唑杂质Ⅰ、左奥硝唑杂质Ⅰ、赛克硝唑杂质Ⅰ,使用前不需干燥处理,供HPLC法系统适用性试验用。
分子式:C4H5N3O2
结构式:
分子量:127.10
CAS号:88054-22-2
包装:棕色西林瓶装。
规格:约50毫克/支。
储存条件:遮光,密闭,10~30℃保存。
名称:缬沙坦
货号:BP0501
规格:100mg
本品为缬沙坦化学对照品,使用前不需干燥处理,按C24N29N5O3计,供HPLC法含量测定,含量为98.5%;供UV法含量测定,含量为98.6%。
CAS号:137862-53-4
分子式:C24N29N5O3
分子量:435.52
包装:棕色安瓿装
装量:每支约100毫克
储存条件:遮光,密闭,10~30℃保存。
名称:长春胺
货号:BP0574
规格:100mg
名称:西尼地平
货号:BP0737
规格:100mg
名称:盐酸胺碘酮杂质Ⅱ
货号:BP0883
规格:50mg/支
本品为盐酸胺碘酮杂质Ⅱ化学对照品,供检查用,使用前不需干燥处理,供HPLC法测定,按C19H16I2O3计,含量为100%。
CAS号:1951-26-4
分子式:C19H16I2O3
分子量:546.14
结构式:
(盐酸胺碘酮有关物质检查系统适用性实验典型色谱图)
包装:棕色小瓶装
规格:每支约50毫克
储存条件:遮光,密闭,2-8℃保存。
名称:紫萁酮
货号:BP1434
规格:20mg
本品为紫萁酮化学对照品,供相关物质鉴别用。
分子式:C10H10O3
分子量:178.2
包装及装量:棕色瓶。
储存条件:常温保存。
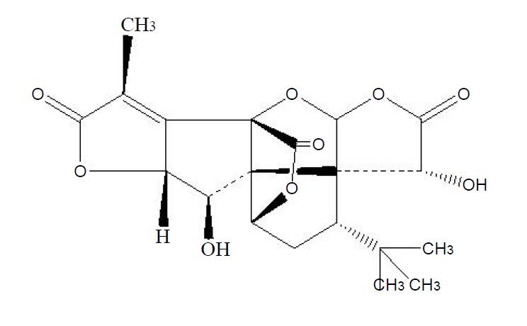
名称:银杏内酯K
货号:BP1474
规格:约20mg/支
本品为银杏内酯K化学对照品,供鉴别和含量测定用,含量以94.7%计,使用前不需干燥处理。
CAS号:153355-70-5
分子式:C20H22O9
分子量:406.38
结构式:
包装:棕色安瓿
装量:约20mg/支
储存条件:冷冻保存
名称:D-甘露糖
货号:BP1804
规格:100mg/瓶
本品为D-甘露糖化学对照品,置五氧化*磷减压干燥器中60℃减压干燥至恒重后使用,以C6H12O6计,含量为99.4%。仅供甘露聚糖肽及其制剂鉴别以及含量测定用。
CAS号:3458-28-4
分子式:C6H12O6
分子量:180.16
包装:棕色西林瓶
规格:每瓶约100mg
储存条件:密闭,室温保存。
注意事项:本品易潮解,开封后尽快一次性使用。
风险提示:丁香通仅作为第三方平台,为商家信息发布提供平台空间。用户咨询产品时请注意保护个人信息及财产安全,合理判断,谨慎选购商品,商家和用户对交易行为负责。对于医疗器械类产品,请先查证核实企业经营资质和医疗器械产品注册证情况。
技术资料暂无技术资料 索取技术资料
N-乙酰-L-色氨酸
¥380 - 3800










