相关产品推荐更多 >
万千商家帮你免费找货
0 人在求购买到急需产品
- 详细信息
- 文献和实验
- 技术资料
- 库存:
360
- 英文名:
Ciprofloxacin impurity I
- 保质期:
长期
- 供应商:
北京百奥莱博科技有限公司
- 保存条件:
置5℃以下条件低温
- 规格:
50mg/支
特别提示:包括环丙沙星杂质I在内,本公司的所有产品仅可用于科研实验,严禁用于临床医疗及其他非科研用途!
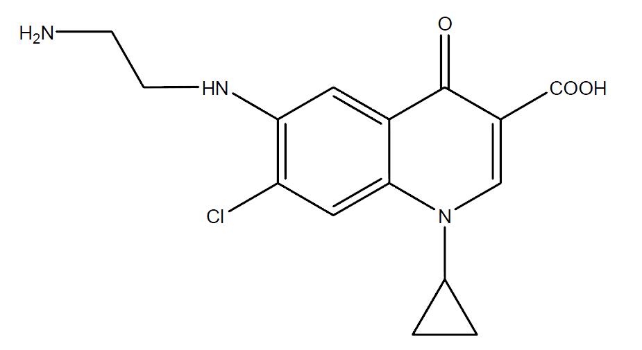
产品名称:环丙沙星杂质I
英文名称:Ciprofloxacin impurity I
产品货号:BP1723
产品规格:50mg/支
本品为环丙沙星杂质I化学对照品,供环丙沙星及盐酸环丙沙星的系统适用性试验用。
分子式:C15H16ClN3O3
分子量:321.09
结构式:
包装及装量:安瓿,50mg/支
储存条件:置5℃以下条件低温避光保存。
除了环丙沙星杂质I,,我公司还供应以下相关产品:
| 货号 | 名称 | 规格 |
| BP0086 | 盐酸萘甲唑啉 | 100mg |
| BP0361 | 硫必利杂质B(2-甲氧基-5-甲磺酰基苯甲*甲酯) | 50mg |
| BP0419 | 甲硫酸新斯的明 | 50mg |
| BP0487 | 伊曲康唑 | 100mg/支 |
| BP0638 | 盐酸甲氯芬酯 | 100mg/支 |
| BP0778 | 米力农杂质Ⅰ | 30mg/支 |
| BP0957 | 左奥硝唑杂质Ⅱ | 50mg/支 |
| BP0977 | 格列美脲杂质Ⅱ | 30mg/支" |
| BP1051 | 人参皂苷Re | 约20mg/支 |
| BP1220 | L-羟脯氨酸 | 50mg/支 |
| BP1354 | 山柰苷 | 20mg |
| BP1394 | 京尼平苷酸 | 约20mg/支 |
| BP1443 | 芫花素 | 20mg/支 |
| BP1461 | 瓜子金皂苷己 | 20mg |
| BP1477 | 远志酸 | 约20mg/支 |
| BP1567 | 麦白霉素 | 400mg |
| BP1699 | 头孢丙* | 100mg |
| BP1722 | 环丙沙星杂质E | 50mg |
| BP1794 | 鸟嘌呤 | 约50mg |
| BP1805 | 甘露聚糖肽 | 100mg |
| BP1893 | 脱苏氨醇8奥曲肽 | 2mg/瓶 |
| BP1976 | 雌二醇(E2) | 3支/套,0.5ml/支 |
| BP2030 | 十六醇 | 200mg/支 |
| BP2113 | 人凝血酶原复合物国家标准品 | FIX:6.47IU/支FII:8.64IU/支FVII:2.75IU/支FX:8.77IU/支 |
风险提示:丁香通仅作为第三方平台,为商家信息发布提供平台空间。用户咨询产品时请注意保护个人信息及财产安全,合理判断,谨慎选购商品,商家和用户对交易行为负责。对于医疗器械类产品,请先查证核实企业经营资质和医疗器械产品注册证情况。
文献和实验这周讨论一项常用的技术,即使常用但仍引起部分人核酸分离焦虑症。那就是基因组DNA的纯化去杂质。 场景是这样的:你有一份采自南太平洋中部一个偏僻小岛上首次发现的古老兰花品种根际土壤样品。你使用了非PowerSoil Kit法提取其中的微生物DNA。最终DNA含有太多杂质,无法PCR扩增。因此需要去除腐植酸等PCR抑制因子。你需要所有的核酸分子通过全基因组鸟枪测序……怎么办? 你致电MO BIO说了你的大概情况,而我们推荐了使用PowerClean Kit
蛋白样品制备中,在细胞破碎之后,既可以利用特定蛋白质的特性来分离某一类蛋白质,比如亲和纯化,比如前面介绍的磷酸化蛋白富集,或者膜蛋白富集;另外一个考虑方向是去除杂质----去掉样品中某些非目标高丰度蛋白或者杂质的干扰,同样可以达到简化样本的目的。当然要小心「倒洗脚水的时候别把婴儿也倒掉了」,一定要选择可靠的产品。 比如,潜在疾病标志物的最好样本来源就是血清或其他体液,此类样本可以提供人蛋白质组中绝大部分组份。然而用蛋白质组分析方法鉴定疾病标志物最大的挑战来自于血清中大量的高丰度
采用Empower 3 ICH杂质处理简化药物产品中杂质的分析
目的 展示采用Empower® 3 ICH杂质处理,通过定义允许阈值限制以及快速鉴定超出限值的结果,简化盐酸齐拉西酮中杂质的分析。 背景 对药物和药物产品进行包括鉴定和定量分析的杂质分析是每个制造商必须遵守的一项规定。因此需要对药物产品制剂和开发流程中活性药物成分(API)生成的杂质进行快速、准确的评估。杂质的存在可能影响最终药物产品的安全性和疗效,必须对其进行有效监测。国际协调会议(ICH)公布了有关药物和药物产品中杂质的指导原则,提供了杂质的允许阈值限制,以监测药物及药物
技术资料暂无技术资料 索取技术资料









