相关产品推荐更多 >
万千商家帮你免费找货
0 人在求购买到急需产品
- 详细信息
- 文献和实验
- 技术资料
- 库存:
225
- 英文名:
Methyl 12-oxooctadecanoate
- CAS号:
2380-27-0
- 保质期:
长期
- 供应商:
北京百奥莱博科技有限公司
- 保存条件:
-20℃
- 规格:
25mg/瓶
特别提示:包括12-氧硬脂酸甲酯在内,本公司的所有产品仅可用于科研实验,严禁用于临床医疗及其他非科研用途!
产品名称:12-氧硬脂酸甲酯
英文名称:Methyl 12-oxooctadecanoate
CAS#:2380-27-0
产品货号:BP2012
产品规格:25mg/瓶
本品为12-氧硬脂酸甲酯化学对照品,供氢化蓖麻油品种检查用,使用前不需干燥处理。
CAS号:2380-27-0
分子式:C19H36O3
分子量:312.49
包装:西林瓶装。
规格:约25mg/支
储存条件:-20℃保存
除了12-氧硬脂酸甲酯,,我公司还供应以下相关产品:
名称:荧光母素
货号:BP0064
规格:50mg/支
本品为荧光母素(Fluorane)的化学对照品,供检查用。按C20H12O3计,含量为100%。
分子式:C20H12O3
分子量:300.31
包装及装量:棕色西林瓶装,每支约50毫克。
储存条件:遮光,密封保存。
注意事项:使用前不需干燥处理。
名称:*苯苄唑
货号:BP0261
规格:50mg
本品为*苯苄唑的化学对照品,供高效液相含量测定用,含量以*苯苄唑(C22H18N2)计。
使用方法:使用前不需要干燥处理。精密称取适量,按规定的方法,配制至所需浓度的对照品溶液,立即使用。
储存条件:常温避光保存。启开安瓿后严密保持干燥,以防吸水。
名称:阿法骨化醇
货号:BP0302
规格:10毫克/支
本品为阿法骨化醇化学对照品,供含量测定用,使用前不需干燥处理。供HPLC法测定,按C27H44O2计算含量为99.7%。
分子式:C27H44O2
分子量:400.64
CAS号:41294-56-8
包装:棕色西林瓶装
规格:约10毫克/支
储存条件:遮光,密闭,-20℃保存。
名称:麝香草酚
货号:BP0394
规格:100毫克/支
本品为麝香草酚化学对照品,供含量测定用,使用前不需干燥处理,供GC法测定,按C10H14O计,含量为99.9%。
分子式:C10H14O
分子量:150.22
CAS号:89-83-8
包装:棕色西林瓶
规格:约100毫克/支
储存条件:遮光,密闭,10~30℃保存。
名称:盐酸班布特罗
货号:BP0746
规格:100mg
本品为盐酸班布特罗化学对照品,供含量测定用,按C18H29N3O5·HCl计,含量为99.7%。
CAS号:81732-46-9
分子式:C18H29N3O5·HCl
分子量:403.91
包装及装量:棕色小瓶装,每支约100毫克。
储存条件:密闭保存。
注意事项:105℃干燥2小时后使用。
名称:盐酸丁螺环酮
货号:BP0772
规格:100mg
本品为盐酸丁螺环酮化学对照品,供UV法测定,按C21H31N5O2·HCl计,含量为99.8%。
CAS号:33386-08-2
分子式:C21H31N5O2·HCl
分子量:421.96
包装及装量:棕色小瓶装,每支100毫克。
储存条件:遮光,密封保存。
注意事项:使用前不需干燥处理。
名称:苯磺顺阿曲库铵
货号:BP0853
规格:200毫克/支
本品为苯磺顺阿曲库铵化学对照品,供含量测定用。使用前不需干燥。供HPLC法测定,按C53H72N2O12·2C6H5O3S计,含量为97.1%。
CAS号:96946-42-8
分子式:C53H72N2O12·2C6H5O3S
分子量:1243.49
结构式:
包装:棕色安瓿瓶。
规格:约200毫克/支。
储存条件:遮光,2-8℃充氮气密封保存。
注意事项:本品具有引湿性,建议RH50%以下使用,打开后一次使用完毕。
名称:非布司他杂质C
货号:BP1002
规格:20mg/支
本品为非布司他杂质C化学对照品,使用前不需干燥处理,供HPLC法系统适用性试验用。
CAS号:144060-62-8
分子式:C16H17NO4S
分子量:319.38
结构式:
包装:棕色小瓶装
规格:每支约20毫克
储存条件:遮光,密闭10~30℃保存。
名称:甜菊苷
货号:BP1180
规格:约20mg/支
本品为甜菊苷化学对照品,供相关物质鉴别用。
分子式:C38H60O18
分子量:804.87
结构式:
包装及装量:棕色瓶。
储存条件:干燥避光保存。
名称:剑叶龙血素C
货号:BP1208
规格:20mg/支
本品为剑叶龙血素C化学对照品,可供含量测定用,含量以99.8%计,使用前不需干燥处理。
分子式:C8H6O2Cl4
分子量:274
结构式:
包装:棕色安瓿瓶
规格:约20mg/支
储存条件:常温保存
名称:月见草油
货号:BP1271
规格:0.2ml
名称:吉马酮(牻牛儿酮)
货号:BP1275
规格:约20mg/支
本品为牻牛儿酮(吉马酮)化学对照品,供鉴别和含量测定用,含量以99.8%计,使用前不需干燥处理。
CAS号:6902-91-6
分子式:C15H22O
分子量:218.34
结构式:
包装:棕色安瓿
规格:约20mg/支
储存条件:冷处(2~10℃)保存
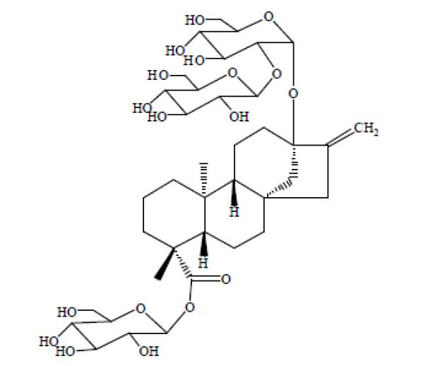
名称:旱莲苷A
货号:BP1433
规格:10mg/支
本品为旱莲苷A化学对照品,供相关物质鉴别用,使用前不需干燥处理。
分子式:C36H58O9
分子量:634.84
结构式:
包装:棕色瓶
规格:约10mg/支
储存条件:冷处(2-10℃)保存
名称:马钱子生物碱混合对照溶液(暂行)
货号:BP1541
规格:约1.5ml/支
本品为马钱子生物碱混合对照溶液,供含量测定用,*钱子碱浓度以0.10mg/ml计;士*宁浓度以0.14mg/ml计
分子式:*钱子碱:C23H26N2O4;士*宁:C21H22N2O2
分子量:*钱子碱:394.45;士*宁:334.17
结构式:
*钱子碱
士*宁
包装:棕色安瓿
规格:约1.5ml/支请按说明书规定使用,若作他用,用户须自行证明适用性。
储存条件:冷冻
名称:β-多西环素
货号:BP1592
规格:50mg/支
本品为β-多西环素标准品,供含量及有关物质检查项下系统适用性实验用,使用前不需干燥处理。
分子式:C22H24N2O8
分子量:444.1
结构式:
包装:棕色安瓿
规格:约50mg/支
储存条件:2-8℃遮光保存。
名称:利福昔明
货号:BP1685
规格:100mg
本品为利福昔明化学对照品,供含量测定用,含量以利福昔明C43H51N3O11计,使用前不需干燥处理。
CAS号:80621-81-4
分子式:C43H51N3O11
分子量:785.89
结构式:
包装:棕色安瓿
规格:约100毫克/支
储存条件:2-8℃保存
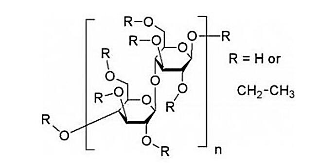
名称:乙基纤维素
货号:BP2056
规格:200mg/瓶
本品为乙基纤维素化学对照品,仅供乙基纤维素和乙基纤维素水分散体(B型)中红外鉴别和含量测定用,使用前不需干燥处理,含量为97.9%。
CAS号:9004-57-3
分子式:R2O[C12H14O3(OR)6]n , R为C2H5或H
结构式:
包装:棕色安瓿
规格:约200mg/瓶
储存条件:遮光、常温保存。
名称:孔雀石绿草酸盐
货号:BP2200
规格:50mg/支
本品为孔雀石绿草酸盐化学对照品,供HPLC法检查用,使用前不需干燥处理。
CAS号:2437-29-8
分子式:C23H25N2·C2HO4·0.5C2H2O4
分子量:463.50
结构式:
包装:棕色安瓿瓶
规格:约50毫克/支
储存条件:遮光、密闭、冷处(2-10℃保存)。
注意事项:本品略有引湿性,建议打开包装一次性使用完毕。
风险提示:丁香通仅作为第三方平台,为商家信息发布提供平台空间。用户咨询产品时请注意保护个人信息及财产安全,合理判断,谨慎选购商品,商家和用户对交易行为负责。对于医疗器械类产品,请先查证核实企业经营资质和医疗器械产品注册证情况。
文献和实验效应,因此18碳脂肪酸甲酯分子结构中双键数量的多少及位置对酯基正电负性的强弱产生不同的影响,导致不同结构脂肪酸甲酯与色谱柱固定液聚乙二醇分子中氧原子上孤立电子对之间的分子间力的强弱发生相应变化。因此,18碳脂肪酸(硬脂酸、油酸、亚油酸、亚麻酸等)不同结构的甲酯化合物在PEG色谱柱中能获得良好的分离。 本实验采用聚乙二醇20M毛细管色谱柱,在新的色谱质谱条件下,对醇酸树脂的水解产物进行分析,不但各种脂肪酸得到了良好的分离,而且色谱分析时间比采用低极性或中极性硅树脂毛细管柱明显缩短,从30min
硅氧烷Dexsil- 聚烷撑二醇 UCON- 聚酰胺 Poly-A- 聚新戊二醇丁二酸酯Neeopentyl glyol succinate(NGS) 聚亚酰胺110 Poly-110- 聚乙二醇Carbowax-,PEC- 聚乙二醇20M与2-硝基对苯二甲酸反应物 EfFAP,OV-351 聚乙二醇20M与对苯二甲酯反应物 Carbowax20M-TPA 聚乙醇单硬脂酸脂 Ethofat60/25 聚乙二醇丁二酸脂Ethylene glycol succinate(EGS,LAC
物 .........................EfFAP,OV-351 聚乙二醇20M与对苯二甲酯反应物 ............................Carbowax20M-TPA 聚乙醇单硬脂酸脂 ...........................................Ethofat60/25 聚乙二醇丁二酸脂 ...............Ethylene glycol succinate(EGS,LAC-4-R866 聚乙二醇已二酸脂
技术资料暂无技术资料 索取技术资料










