相关产品推荐更多 >
万千商家帮你免费找货
0 人在求购买到急需产品
- 详细信息
- 文献和实验
- 技术资料
- 库存:
152
- 英文名:
Fluconazole impurity I(For Chinese Pharmacopiea)
- 保质期:
长期
- 供应商:
北京百奥莱博科技有限公司
- 保存条件:
冷藏
- 规格:
30mg/支
特别提示:包括氟康唑杂质I在内,本公司的所有产品仅可用于科研实验,严禁用于临床医疗及其他非科研用途!
产品名称:氟康唑杂质I
英文名称:Fluconazole impurity I(For Chinese Pharmacopiea)
产品货号:BP1765
产品规格:30mg/支
除了氟康唑杂质I,,我公司还供应以下相关产品:
名称:吡哌酸
货号:BP0123
规格:50mg
本品为吡哌酸的三水合物(Pipemidic Acid)的化学对照品,供UV法含量测定用,按C14H17N5O3计,含量为83.6%。
分子式:C14H17N5O3·3H2O
分子量:357.36
CAS号:51940-44-4
包装及装量:棕色小瓶装,每支约50毫克。
储存条件:密封保存。
名称:盐酸氯己定
货号:BP0316
规格:100mg
名称:贝美格
货号:BP0352
规格:100mg
名称:盐酸美司坦
货号:BP0407
规格:100mg
名称:醋氯芬酸
货号:BP0597
规格:约100毫克/支
本品为醋氯芬酸化学对照品,105℃干燥2小时后使用,按C16H13Cl2NO4计,供HPLC法测定,含量为99.9%;供UV法测定,含量为100.0%。
CAS号:89796-99-6
分子式:C16H13Cl2NO4
分子量:354.19
包装:棕色西林瓶
规格:约100毫克/支
储存条件:遮光,10~30℃密闭保存
名称:乌拉地尔杂质A
货号:BP0683
规格:20mg
名称:艾普拉唑
货号:BP0689
规格:10mg
名称:亚磷*(代"酸")氢二钠
货号:BP0712
规格:50mg
本品为亚磷*(代"酸")氢二钠五水合物,供HPLC法检查用。
CAS号:13517-23-2
分子式:Na2HPO3·5H2O
分子量:216.04
包装及装量:棕色小瓶装,每支约50毫克。
储存条件:遮光,密闭保存。
注意事项:本品具有引湿性,建议一次性使用, 使用前不需干燥处理。
名称:R-甲磺酸罗哌卡因
货号:BP0745
规格:20mg
本品为R-甲磺酸罗哌卡因化学对照品,供甲磺酸罗哌卡因国家标准中异构体杂质检查时,作定位用。
分子式:C17H26N2O·CH3SO3H
分子量:370.51
结构式:
装量:20mg/支
储存条件:避光,密闭保存
注意事项:本品使用前不需干燥
名称:欧前胡素
货号:BP1112
规格:约20mg/支
本品为欧前胡素化学对照品,供鉴别和含量测定用,使用前不需干燥处理。含量以99.6%计。
CAS号:482-44-0
分子式:C16H14O4
分子量:270.28
结构式:
包装:棕色安瓿
规格:约20mg/支
储存条件:冷处(2-10℃)保存
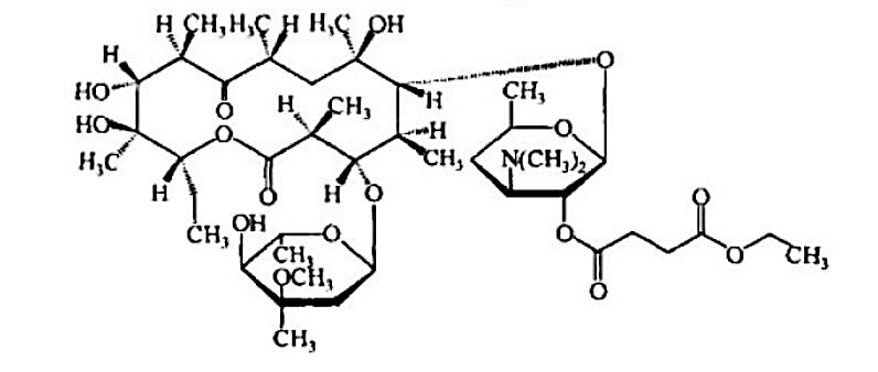
名称:琥乙红霉素
货号:BP1610
规格:200mg
本品为琥乙红霉素化学对照品,供相关物质鉴别用,使用前不需干燥处理。
CAS号:1264-62-6
分子式:C43H75NO16
分子量:862.07
结构式:
包装:白色安瓿
规格:约100毫克/支
储存条件:2-8℃保存
名称:2-苯乙酰胺
货号:BP1621
规格:65mg
本品为2-苯乙酰胺化学对照品,供系统适用性试验用,使用前不需干燥处理。
CAS号:103-81-1
分子式:C8H9NO
分子量:135.16
结构式:
包装:白色安瓿
规格:约65毫克/支
储存条件:2-8℃保存
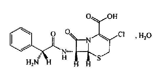
名称:头孢克洛
货号:BP1634
规格:100mg/支
本品为头孢克洛化学对照品,供HPLC法含量测定用,以C15H14ClN3O4S计,含量为94.4%,使用前不需干燥处理。
CAS号:70356-03-5
分子式:C15H14ClN3O4S·H2O
分子量:385.82
结构式:
包装:安瓿
规格:约100mg/支
储存条件:2-8℃保存
注意事项:本品建议打开包装一次性使用完毕。注意避光。
名称:胰激肽原酶
货号:BP1881
规格:约329单位
名称:三碘甲酰原氨酸(T3)
货号:BP1944
规格:50ng/支
本品为三碘甲腺原氨酸免疫测定用标准品,以高纯T3为原料制备,供T3免疫分析使用,适用于化学发光、时间分辨免疫荧光等方法。
性状:白色冻干粉末
包装:白色安瓿瓶
规格:每支安瓿内含T3 50ng,含牛血清白蛋白(BSA)2.5mg,磷酸盐微量。本品为冻干品。
特性量值:每支安瓿内含含T3 50ng。
使用方法和要求:建议使用时以含0.5-1%的人血清白蛋白(HSA)或牛血清白蛋白(BSA)的10mM磷酸盐缓冲液(pH=7.2-7.4)或其他含蛋白的中性缓冲体系将内容物完全溶解,充分混合后使用。
储存条件:-20℃,避免反复冻融。
风险提示:丁香通仅作为第三方平台,为商家信息发布提供平台空间。用户咨询产品时请注意保护个人信息及财产安全,合理判断,谨慎选购商品,商家和用户对交易行为负责。对于医疗器械类产品,请先查证核实企业经营资质和医疗器械产品注册证情况。
文献和实验这周讨论一项常用的技术,即使常用但仍引起部分人核酸分离焦虑症。那就是基因组DNA的纯化去杂质。 场景是这样的:你有一份采自南太平洋中部一个偏僻小岛上首次发现的古老兰花品种根际土壤样品。你使用了非PowerSoil Kit法提取其中的微生物DNA。最终DNA含有太多杂质,无法PCR扩增。因此需要去除腐植酸等PCR抑制因子。你需要所有的核酸分子通过全基因组鸟枪测序……怎么办? 你致电MO BIO说了你的大概情况,而我们推荐了使用PowerClean Kit
蛋白样品制备中,在细胞破碎之后,既可以利用特定蛋白质的特性来分离某一类蛋白质,比如亲和纯化,比如前面介绍的磷酸化蛋白富集,或者膜蛋白富集;另外一个考虑方向是去除杂质----去掉样品中某些非目标高丰度蛋白或者杂质的干扰,同样可以达到简化样本的目的。当然要小心「倒洗脚水的时候别把婴儿也倒掉了」,一定要选择可靠的产品。 比如,潜在疾病标志物的最好样本来源就是血清或其他体液,此类样本可以提供人蛋白质组中绝大部分组份。然而用蛋白质组分析方法鉴定疾病标志物最大的挑战来自于血清中大量的高丰度
采用Empower 3 ICH杂质处理简化药物产品中杂质的分析
目的 展示采用Empower® 3 ICH杂质处理,通过定义允许阈值限制以及快速鉴定超出限值的结果,简化盐酸齐拉西酮中杂质的分析。 背景 对药物和药物产品进行包括鉴定和定量分析的杂质分析是每个制造商必须遵守的一项规定。因此需要对药物产品制剂和开发流程中活性药物成分(API)生成的杂质进行快速、准确的评估。杂质的存在可能影响最终药物产品的安全性和疗效,必须对其进行有效监测。国际协调会议(ICH)公布了有关药物和药物产品中杂质的指导原则,提供了杂质的允许阈值限制,以监测药物及药物
技术资料暂无技术资料 索取技术资料










