万千商家帮你免费找货
0 人在求购买到急需产品
- 详细信息
- 文献和实验
- 技术资料
- 库存:
97
- 英文名:
Ginsenoside Re
- CAS号:
52286-59-6
- 保质期:
长期
- 供应商:
北京百奥莱博科技有限公司
- 规格:
约20mg/支
特别提示:包括人参皂苷Re在内,本公司的所有产品仅可用于科研实验,严禁用于临床医疗及其他非科研用途!
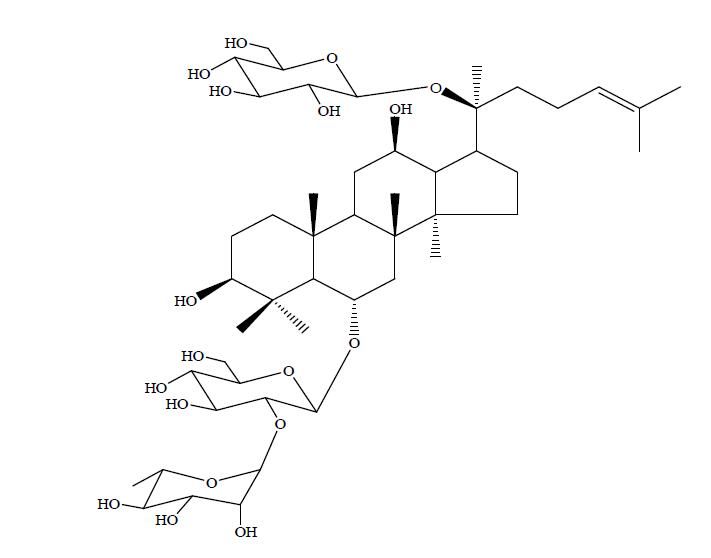
产品名称:人参皂苷Re
英文名称:Ginsenoside Re
CAS#:52286-59-6
产品货号:人参皂苷Re
产品规格:约20mg/支
本品为人参皂苷Re化学对照品,供鉴别和含量测定用,含量97.4%,使用前不需干燥处理。
CAS号:52286-59-6
分子式:C48H82O18
分子量:947.15
结构式:
包装:棕色安瓿瓶。
规格:约20mg/支。
储存条件:冷冻保存。注意事项:本品有引湿性,开封后一次使用完毕。
除了人参皂苷Re,,我公司还供应以下相关产品:
名称:4-N-去甲基安乃近
货号:BP0048
规格:100mg
本品为4-N-去甲基安乃近(4-N-Demethylanalgin)。供HPLC系统适用性用。
分子式:C12H14N3NaO4S
分子量:319.31
包装及装量:棕色小瓶装,每支约100毫克。
储存条件:遮光,密封保存。
注意事项:使用前不需干燥处理。
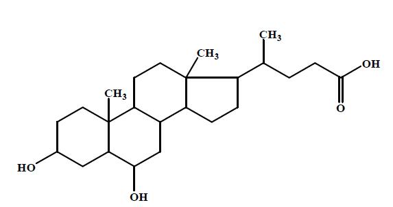
名称:猪去氧胆酸
货号:BP0073
规格:100mg/支
本品为猪去氧胆酸(Hyodeoxycholicacid)的化学对照品,使用前不需干燥处理。供TLC法含量测定、鉴别用。按C24H40O4计,含量为99.7%。
分子式:C24H40O4
结构式:
分子量:392.58
CAS号:83-49-8
包装及装量:棕色西林瓶装,每支约100mg。
储存条件:密封保存。
名称:氢溴*高乌甲素
货号:BP0230
规格:100mg
本品为氢溴*高乌甲素一水合物。供HPLC法测定,按C32H44N2O8·HBr计,含量为94.6%。
分子式:C32H44N2O8·HBr·H2O
分子量:683.64
包装及装量:棕色西林瓶装,每支约100毫克
储存条件:遮光,密封保存
注意事项:使用前不需干燥处理。
名称:枸橼酸氯己定
货号:BP0244
规格:50mg
名称:卡巴胆碱
货号:BP0289
规格:50mg
本品为卡巴胆碱化学对照品,供含量测定用。按C6H15ClN2O2计,供UV法测定,含量为100.0%。
分子式:C6H15ClN2O2
分子量:182.65
CAS号:51-83-*(代"2")
包装及装量:棕色小瓶装,每支约50毫克。
储存条件:遮光,密闭保存。
注意事项:使用前不需干燥处理。
名称:枸橼酸
货号:BP0313
规格:200毫克/支
本品为枸橼酸化学对照品,供含量测定用。105℃干燥2小时后使用。按C6H8O7计,含量为100.0%。
CAS号:77-92-9
分子式:C6H8O7
分子量:192.12
包装:棕色西林瓶。
规格:约200毫克/支。
储存条件:遮光,密闭,10~30℃保存。
注意事项:本品高湿度易潮解,建议环境RH70%以下一次性使用完毕。
名称:巴氯芬
货号:BP0702
规格:100mg
名称:雌三醇
货号:BP0706
规格:100mg
本品为雌三醇化学对照品,供HPLC法鉴别和含量测定用,使用前不需干燥处理,以C18H24O3计,含量为97.6%。
CAS号:50-27-1
分子式:C18H24O3
分子量:288.39
结构式:
包装及装量:棕色西林瓶,每支约100毫克。
储存条件:常温遮光,密闭保存。
名称:米格列醇
货号:BP0926
规格:100mg/支
本品为米格列醇化学对照品,供HPLC法含量测定用,以C8H17NO5计,含量为100.0%。使用前无需干燥处理。
CAS号:72432-03-2
分子式:C8H17NO5
分子量:207.22
结构式:
包装:棕色西林瓶。
规格:约100mg/支。
储存条件:遮光,密封,干燥处保存。
名称:盐酸安非他酮杂质Ⅰ(3-氯*(代"苯")丙*)
货号:BP1004
规格:20mg/支
本品为盐酸安非他酮杂质Ⅰ(3-氯*(代"苯")丙*)化学对照品,使用前不需干燥处理,供HPLC法系统适用性试验用。
CAS号:34841-35-5
分子式:C9H9ClO
分子量:168.5
包装:棕色西林瓶规格:约20毫克/支
储存条件:遮光,密闭,10~30℃保存。
名称:牡荆油
货号:BP1199
规格:0.2ml
名称:硫酸铁铵
货号:BP1240
规格:300mg/支
本品为硫酸铁铵化学对照品,供分光光度法含量测定用,含FeNH4(SO4)2·12H2O以99.7%计。
CAS号:7783-83-7
分子式:FeNH4(SO4)2·12H2O
分子量:482.19
包装:棕色安瓿瓶。
规格:约300mg/支。
储存条件:冷处(2-10℃)保存。
名称:氧化槐果碱
货号:BP1266
规格:20mg
名称:金橙Ⅱ
货号:BP1348
规格:约20mg/支
本品为供金橙Ⅱ对照试剂,供检查对照用。
分子式:C16H11N2NaO4S
分子量:350.32
结构式:
包装及装量:棕色瓶,约20mg/支
储存条件:干燥密闭保存
注意事项:使用前无需处理
名称:瓜子金皂苷己
货号:BP1461
规格:20mg
本品为瓜子金皂苷己化学对照品,供鉴别及含量测定用,含量以94.0%计。
分子式:C53H86O23
分子量:1090
包装及装量:棕色安瓿瓶。
储存条件:室温干燥保存。
注意事项:使用前无需处理,本品有引湿性,打开包装后一次使用完毕。
名称:β-细辛醚
货号:BP1539
规格:20mg
本品为β-细辛醚化学对照品,供含量测定用,含量以96.8%计,使用前不需干燥处理。
CAS号:5273-86-9
分子式:C12H16O3
分子量:208.11
结构式:
包装:棕色安瓿瓶
规格:约20mg/支
储存条件:冷冻保存
名称:右旋安*(代"妥")沙星
货号:BP1632
规格:50mg/支
本品为右旋安*(代"妥")沙星化学对照品,供盐酸安*(代"妥")沙星品种有关物质测定用,含量以右旋安*(代"妥")沙星(C18H21FN4O4)计。
使用方法:精密称取适量,按质量标准所规定的方法,配制至所需浓度的对照品溶液,立即使用。
储存条件:置 5℃以下条件低温避光保存。启开安瓿后严密保持干燥以防吸水。
注意事项:使用前不需干燥处理。
名称:伊曲康唑杂质C
货号:BP1758
规格:30mg/支
本品为伊曲康唑杂质C化学对照品,供伊曲康唑原料及其制剂HPLC法有关物质检查用,以伊曲康唑杂质(C34H36Cl2N8O4)计,含量为96.3%。使用前不需干燥处理。
CAS号:74855-91-7
分子式:C34H36Cl2N8O4
分子量:690.2
结构式:
包装:棕色安瓿
规格:30mg/支
储存条件:常温遮光保存
名称:硫鸟嘌呤
货号:BP1895
规格:100mg/瓶
本品为硫鸟嘌呤化学对照品,含量为99.5%,供硫鸟嘌呤和硫鸟嘌呤片HPLC 鉴别与含量测定用。
分子式:C5H5N5S
分子量:167.19
包装及装量:2ml 西林瓶,每瓶约100mg
储存条件:遮光,密封保存。
注意事项:使用前不需干燥处理。
名称:肝素分子量对照品
货号:BP1912
规格:25mg/瓶
本品为肝素分子量对照品,供肝素钠、肝素钙分子量与分子量分布检查实验使用。使用前不需干燥。
CAS号:9041-08-1
包装:棕色西林瓶
规格:约25mg/瓶
储存条件:避光,4℃冷藏保存
注意事项:本品具有引湿性。
肝素分子量对照品(140819-201501)宽分布标样表
>
| 点 | 分子量 | 累计峰面积百分比 |
| 1 | 6000 | <3.3% |
| 2 | 8000 | <10.3% |
| 3 | 10000 | <20.1% |
| 4 | 12000 | <31.9% |
| 5 | 14000 | <44.4% |
| 6 | 16000 | <56.6% |
| 7 | 18000 | <67.2% |
| 8 | 20000 | <75.5% |
| 9 | 22000 | <81.6% |
| 10 | 24000 | <86.1% |
| 11 | 26000 | <89.2% |
| 12 | 28000 | <91.6% |
| 13 | 32000 | <94.6% |
| 14 | 36000 | <96.4% |
| 15 | 40000 | <97.6% |
风险提示:丁香通仅作为第三方平台,为商家信息发布提供平台空间。用户咨询产品时请注意保护个人信息及财产安全,合理判断,谨慎选购商品,商家和用户对交易行为负责。对于医疗器械类产品,请先查证核实企业经营资质和医疗器械产品注册证情况。
文献和实验相关实验
测定 参照人参中人参皂苷 Re与人参皂苷Rg1的含量测定进行[2]。 1.高海拔栽培竹节参根茎 2. 低海拔栽培竹节参根茎 3. 野生竹节参根茎 4.高海拔栽培竹节参根 5.低海拔栽培竹节参根 6. 野生竹节参根 7. 人参皂苷Rg1对照品 8.人参皂苷Re对照品 图1 竹节参根茎和根人参皂苷薄层色谱图(略) 2.2.1 色谱条件 色谱柱:250 mm×4.6 mm不锈钢柱,填充剂为十八烷基硅烷键合硅胶(5 μm)。流动相:乙腈
技术资料暂无技术资料 索取技术资料
人参皂苷Re
¥380 - 3800










