相关产品推荐更多 >
万千商家帮你免费找货
0 人在求购买到急需产品
- 详细信息
- 文献和实验
- 技术资料
- 库存:
57
- 英文名:
Deoxyschizandrin
- CAS号:
61281-38-7
- 保质期:
长期
- 供应商:
北京百奥莱博科技有限公司
- 保存条件:
冷处(2-10℃)
- 规格:
20mg/支
特别提示:包括五味子甲素在内,本公司的所有产品仅可用于科研实验,严禁用于临床医疗及其他非科研用途!
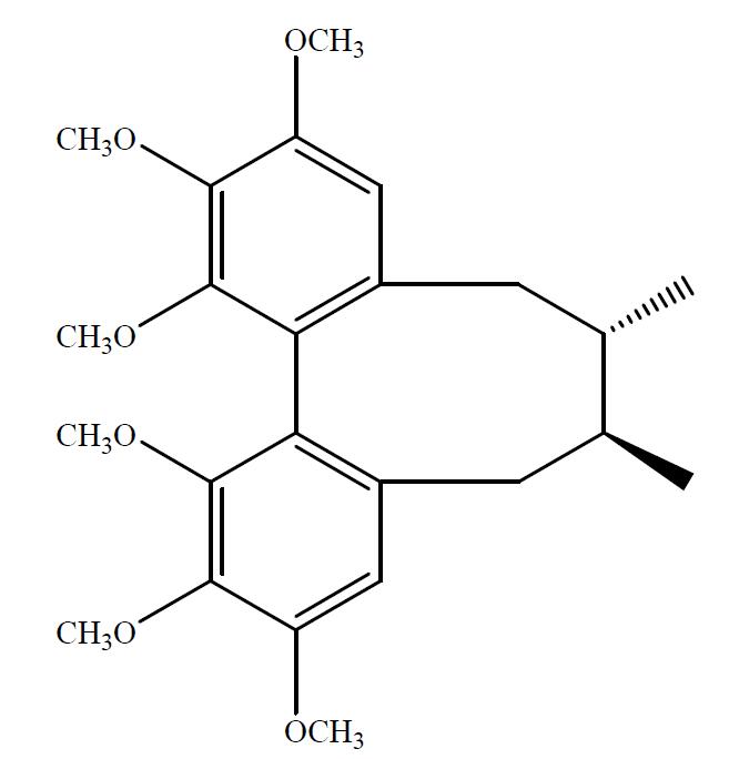
产品名称:五味子甲素
英文名称:Deoxyschizandrin
CAS#:61281-38-7
产品货号:五味子甲素
产品规格:20mg/支
本品为五味子甲素化学对照品,供薄层鉴别及含量测定用,使用前不需干燥处理,含量以99.3%计。
CAS号:61281-38-7
分子式:C24H32O6
分子量:416.50
结构式:
包装:棕色安瓿瓶
装量:约20mg/支
储存条件:冷处(2-10℃)保存
除了五味子甲素,,我公司还供应以下相关产品:
名称:泼尼松
货号:BP0163
规格:100mg/支
本品为泼尼松的化学对照品,供HPLC法鉴别和含量测定用,以C21H26O5计,含量为99.6%,使用前不需干燥处理。
分子式:C21H26O5
结构式:
分子量:358.43
CAS号:53-03-2
包装:棕色西林瓶
规格:约100毫克/支
储存条件:遮光,密封保存
注意事项:本品溶液中易降解,应临用现配,避免配制后长时间室温放置。
名称:洛伐他汀
货号:BP0462
规格:100mg/支
本品为洛伐他汀化学对照品,供含量测定用,使用前不需干燥处理。供HPLC法含量测定,按C24H36O5计,含量为99.4%。
CAS号:75330-75-5
分子式:C24H36O5
分子量:404.54
包装:棕色安瓿
装量:约100毫克/支
储存条件:遮光,充氮密闭,2~8℃保存。
名称:盐酸普萘洛尔
货号:BP0601
规格:100mg
本品为盐酸普萘洛尔化学对照品,供检查用。供UV法测定,按C16H21NO2·HCl计,含量为100%。
CAS号:318-98-9
分子式:C16H21NO2·HCl
分子量:295.81
包装及装量:棕色西林瓶装,每支约100毫克。
储存条件:遮光,密封保存
注意事项:使用前不需干燥处理。
名称:琥珀酸甲泼尼龙
货号:BP0630
规格:100mg
本品为琥珀酸甲泼尼龙化学对照品,供HPLC法含量测定用,使用前不需干燥,以C26H34O8计,含量为99.5%。
CAS号:2921-57-5
分子式:C26H34O8
分子量:474.55
结构式:
包装:棕色西林装
规格:约100毫克/支
储存条件:遮光、密闭保存
名称:二甲氧苄啶
货号:BP0837
规格:50mg
本品为二甲氧苄啶化学对照品,供高效液相系统适用性试验测定用,使用前不需要干燥处理。
使用方法:精密称取适量,按质量标准所规定的方法,配制至所需浓度的对照品溶液,立即使用。
储存条件:置5℃以下条件低温避光保存。启开安瓿后严密保持干燥以防吸水。
名称:奈韦拉平杂质Ⅰ
货号:BP0945
规格:30mg/支
本品为奈韦拉平杂质Ⅰ化学对照品,供HPLC法系统适用性试验用,使用前不需干燥处理。
CAS号:287980-84-1
分子式:C12H10N4O
分子量:226.23
结构式:
包装:棕色西林瓶装
装量:每支约30毫克。
储存条件:遮光,10~30℃密封保存。
名称:梣酮
货号:BP1301
规格:约20mg/支
本品为供梣酮化学对照品,供鉴别及含量测定用,含量以99.7%计,使用前不需干燥处理。
CAS号:28808-62-0
分子式:C14H16O3
分子量:232.28
结构式:
包装:棕色安瓿瓶
规格:约20毫克/支
储存条件:冷处(2~10℃)保存
名称:蝙蝠葛碱
货号:BP1420
规格:约20mg/支
本品为蝙蝠葛碱化学对照品,供鉴别及含量测定用,含量以98.5%计,使用前不需干燥处理。
CAS号:524-17-4
分子式:C38H44N2O6
分子量:624.75
结构式:
包装:棕色安瓿瓶
规格:约20毫克/支
储存条件:冷冻保存
注意事项:本品甲*溶液不稳定,临用现配。本品不稳定,打开包装后一次使用完毕。
名称:铁蛋白
货号:BP1940
规格:790ng/支
本品为铁蛋白免疫测定用标准品,以高纯度铁蛋白为原料制备,供铁蛋白免疫分析使用,适用于化学发光、时间分辨免疫荧光等方法。
性状:白色冻干粉末
包装:白色安瓿瓶
规格:每支安瓿内含铁蛋白约790ng,本品为冻干品。
特性量值:溯源至铁蛋白国际标准品(NIBSC94/572),经协作标定,每支安瓿内铁蛋白免疫活性为790ng。
使用方法和要求:建议使用时以1.0mL蒸馏水将内容物完全溶解,充分混合后使用。
储存条件:-20℃,避免反复冻融。
请按说明书规定使用,若作他用,用户须自行证明适用性。
风险提示:丁香通仅作为第三方平台,为商家信息发布提供平台空间。用户咨询产品时请注意保护个人信息及财产安全,合理判断,谨慎选购商品,商家和用户对交易行为负责。对于医疗器械类产品,请先查证核实企业经营资质和医疗器械产品注册证情况。
文献和实验相关实验
诱导昆虫、甲壳类等蜕皮、变态的激素。其主体物质是前胸腺激素(蜕皮激素、变态激素)。蜕皮激素是在蜕皮前的一定时间分泌的,它能促进皮肤上皮细胞的核酸、蛋白质合成,诱导有丝分裂,促进蜕皮的一系列反应。事前,有幼若激素作用时能引起幼虫期的幼虫蜕皮,而蜕皮素单独作用时,则使其向蛹或成虫变态引起蜕皮。最初是由 A. Butenandt和 P. Karlson从蚕蛹中分离出来的结晶体,因它具有蜕皮( ecdysis)作用,故名蜕皮(激)素。是 C2 7 的类固醇,从昆虫体可分离出α
延迟素 retardin 由胰腺分泌的一种激素样物质,可延迟因甲状腺素注射而引起的体重减轻。
愈伤素 traumatin 为植物愈伤激素的同义语。是 1937年 J. English、 J. Bonner根据能诱发菜豆幼荚细胞分裂而具有活性的物质命名的。广泛存在于植物中,而在动物中则不存在。其化学成分目前已明确的仅是愈伤酸( traumaticacid)。
技术资料暂无技术资料 索取技术资料
五味子甲素
¥380 - 3800










