相关产品推荐更多 >
万千商家帮你免费找货
0 人在求购买到急需产品
- 详细信息
- 询价记录
- 文献和实验
- 技术资料
- 库存:
393
- 英文名:
Mecobalamin
- CAS号:
13422-55-4
- 保质期:
长期
- 供应商:
北京百奥莱博科技有限公司
- 保存条件:
遮光,10~30℃
- 规格:
100mg/支
特别提示:包括甲钴胺在内,本公司的所有产品仅可用于科研实验,严禁用于临床医疗及其他非科研用途!
产品名称:甲钴胺
英文名称:Mecobalamin
CAS#:13422-55-4
产品货号:甲钴胺
产品规格:100mg/支
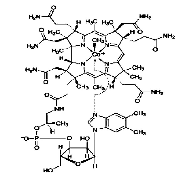
本品为甲钴胺化学对照品,供含量测定用,使用前不需干燥处理。按C63H91CoN13O14P计,供HPLC法测定,含量为94.4%;供UV法测定,含量为95.1%。
CAS号:13422-55-4
分子式:C63H91CoN13O14P
分子量:1344.38
结构式:
包装:安瓿瓶装
规格:100毫克/支
储存条件:遮光,10~30℃干燥处密闭保存。
注意事项:本品具有引湿性,建议在RH40%以下快速称量,打开包装一次性使用完毕。
除了甲钴胺,,我公司还供应以下相关产品:
名称:咪唑
货号:BP0040
规格:100mg
本对照品为咪唑(1,3-二氮唑)。供HPLC法有关物质检查用,含量以咪唑(C3H4N2)计。
使用方法:使用前不需要干燥处理。精密称取适量,按标准规定的方法,配制至所需浓度的对照品溶液,立即使用。
储存条件:置常温避光保存。启开安瓿后严密保持干燥,以防吸水。
名称:青蒿*(代"素")
货号:BP0166
规格:100mg
本品为青蒿*(代"素")的化学对照品,供含量测定用,使用前不需干燥处理。按C15H22O5计,供HPLC法测定,含量为99.6%。
分子式:C15H22O5
结构式:
分子量:282.34
CAS号:63968-64-9
包装:棕色西林瓶装
装量:每支约100毫克。
储存条件:遮光,密封保存。
名称:利培酮
货号:BP0436
规格:100mg
本品为利培酮化学对照品,供HPLC法含量均匀度检查、溶出度检查;HPLC法含量测定时,作对照用。亦可在各利培酮国家标准中红外鉴别、X-射线衍射鉴别时,作对照用。本品使用前不需要干燥,可直接使用。含量以C23H27FN4O2计为99.9%。
CAS号:106266-06-2
分子式:C23H27FN4O2
分子量:410.49
结构式:
包装及装量:棕色西林瓶,每支约100mg
储存条件:室温,密闭遮光保存
名称:5-硝基糠*(代"醛")二乙酸酯
货号:BP0829
规格:100mg
本品为5-硝基糠*(代"醛")二乙酸酯化学对照品,化学名为5-硝基-2-呋*(代"喃")甲*(代"醛")二乙酸,供TLC法检查用。
CAS号:92-55-7
分子式:C9H9NO7
分子量:243.17
包装及装量:棕色小瓶装,每支约100毫克。
储存条件:遮光,密封保存。
注意事项:使用前不需干燥处理。
名称:白藜芦醇
货号:BP1190
规格:20mg/支
本品为白藜芦醇化学对照品,供含量测定用,含量以99.4%计,使用前不需干燥处理。
CAS号:501-36-0
分子式:C14H12O3
分子量:228.24
结构式:
包装:棕色安瓿瓶
装量:约20mg/支
储存条件:冷处(2-10℃)保存
注意事项:本品具引湿性,建议打开包装一次性使用完。
名称:钩藤碱
货号:BP1548
规格:10mg/支
本品为钩藤碱化学对照品,供相关物质鉴别用,使用前不需干燥处理。
CAS号:6859-01-4
分子式:C22H28N2O4
分子量:384.47
结构式:
包装:棕色瓶
规格:约10mg/支
储存条件:冷处(2~10℃)保存
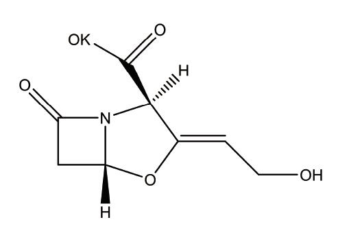
名称:克拉维酸钾
货号:BP1678
规格:50mg/支
本品为克拉维酸钾化学对照品,供克拉维酸钾品种红外鉴别用
分子式:C8H8KNO5
分子量:237.25
结构式:
包装及装量:安瓿;50mg
储存条件:置4℃以下条件低温避光保存。
名称:5’-羟基吲哚乙酸
货号:BP1868
规格:10mg/支
本品为5"-羟基吲哚乙酸化学对照品,供尿多酸肽鉴别与含量测定用。使用前不需干燥处理。
分子式:C10H9NO3
分子量:191.18
结构式:
包装:西林瓶
规格:每支约10mg
储存条件:密封4℃保存
名称:12-羟基硬脂酸甲酯
货号:BP2011
规格:25mg/支
本品为12-羟基硬脂酸甲酯化学对照品,供氢化蓖麻油品种检查用。
CAS号:141-23-1
分子式:C19H38O3
分子量:314.5
包装及装量:西林瓶装,每支约25mg
储存条件:阴凉避光处保存。
名称:癸二酸二丁酯
货号:BP2057
规格:0.2ml/瓶
本品为癸二酸二丁酯化学对照品,仅供乙基纤维素水分散体(B型)品种项下检查用对照品,使用前不需要干燥处理,以C18H34O4计含量为98.3%。
CAS号:109-43-3
分子式:C18H34O4
分子量:314.46
包装:棕色安瓿
规格:约0.2ml/支
储存条件:遮光、常温保存。
风险提示:丁香通仅作为第三方平台,为商家信息发布提供平台空间。用户咨询产品时请注意保护个人信息及财产安全,合理判断,谨慎选购商品,商家和用户对交易行为负责。对于医疗器械类产品,请先查证核实企业经营资质和医疗器械产品注册证情况。
- 作者
- 内容
- 询问日期
文献和实验相关实验
维生素B 12 维生素B 12 (vitamin B 12 )为含钴复合物,广泛存在于动物内脏、牛奶、蛋黄中。钴原子带有各种配体如-CN,-OH,-CH3和5′-脱氧腺苷基,因而有氰钴胺、羟钴胺、甲钴胺和5′-脱氧腺苷钴胺等维生素B12同类物。药用维生素B12为氰钴胺、羟钴胺,性质稳定。体内具有辅酶活性的维生素B12为甲钴胺和5′-脱氧腺苷钴胺。 【药物作用】维生素B12为细胞分裂和维持神经
素B 12 (vitamin B 12 )为含钴复合物,广泛存在于动物内脏、牛奶、蛋黄中。钴原子带有各种配体如-CN,-OH,-CH3和5′-脱氧腺苷基,因而有氰钴胺、羟钴胺、甲钴胺和5′-脱氧腺苷钴胺等维生素B12同类物。药用维生素B12为氰钴胺、羟钴胺,性质稳定。体内具有辅酶活性的维生素B12为甲钴胺和5′-脱氧腺苷钴胺。 【药物作用】维生素B12为细胞分裂和维持神经组织髓鞘完整所必需。体内维生素B12主要参与下列两种代谢过程。
技术资料暂无技术资料 索取技术资料
甲钴胺
¥380 - 3800










