相关产品推荐更多 >
万千商家帮你免费找货
0 人在求购买到急需产品
- 详细信息
- 询价记录
- 文献和实验
- 技术资料
- 库存:
143
- 英文名:
Paclitaxel
- CAS号:
33069-62-4
- 保质期:
长期
- 供应商:
北京百奥莱博科技有限公司
- 规格:
30mg/支
特别提示:包括紫杉醇在内,本公司的所有产品仅可用于科研实验,严禁用于临床医疗及其他非科研用途!
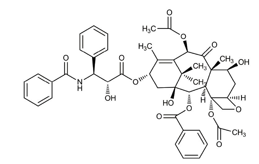
产品名称:紫杉醇
英文名称:Paclitaxel
CAS#:33069-62-4
产品货号:紫杉醇
产品规格:30mg/支
本品为紫杉醇化学对照品,供HPLC法含量测定用,按C47H51NO14计,含量为99.9%,使用前不需干燥处理。
分子式:C47H51NO14
结构式:
分子量:853.91
CAS号:33069-62-4
包装:棕色西林瓶。
规格:30毫克/支。
储存条件:遮光,密封保存。
除了紫杉醇,,我公司还供应以下相关产品:
名称:硫喷妥
货号:BP0116
规格:100mg
本品为硫喷妥的化学对照品,供硫喷妥钠中紫外-可见分光光度法含量测定时作对照用,含量99.8%。
分子式:C11H18N2O2S
分子量:242.34
包装及装量:棕色西林瓶装。100mg/支。
储存条件:遮光,密闭保存。
注意事项:使用前不需要干燥,可直接使用。
名称:氨甲酰化地氯雷他定
货号:BP0759
规格:20mg
名称:N-甲基帕罗西汀
货号:BP0833
规格:50mg
名称:左羟丙哌*(代"嗪")杂质(缩水甘油)
货号:BP0955
规格:约300毫克/支
本品为左羟丙哌*(代"嗪")杂质(缩水甘油)化学对照品,使用前不需干燥处理。供GC法检查用。
CAS号:556-52-5
分子式:C3H6O2
分子量:74.08
结构式:
包装:安瓿瓶装
规格:约300毫克/支
储存条件:遮光,2-8℃密封保存。
名称:姜黄素
货号:BP1109
规格:20mg/支
本品为姜黄素化学对照品,供含量测定用,含量以98.9%计,使用前不需干燥处理。
CAS号:458-37-7
分子式:C21H20O6
分子量:368.38
结构式:
包装:棕色安瓿瓶
装量:约20mg/支
储存条件:冷冻保存
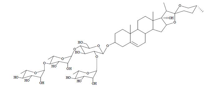
名称:重楼皂苷VII
货号:BP1230
规格:20mg/支
本品为重楼皂苷VII化学对照品,供含量测定用,含量以94.0%计,使用前不需干燥处理。
CAS号:68124-04-9
分子式:C51H82O21
分子量:1031.18
结构式:
包装:棕色安瓿瓶
装量:约20mg/支
储存条件:冷冻保存。
名称:纤维蛋白溶酶原(牛血)
货号:BP1780
规格:9酪蛋白单位
本品为纤维蛋白溶酶原(牛血)标准试剂,活力为9个酪蛋白单位/瓶,供尿激酶效价测定用。
包装及装量:棕色瓶,每瓶9个酪蛋白单位
储存条件:-20℃保存
注意事项:使用前放置至室温,按照质量标准规定溶解后使用,开启后一次使完。
名称:抗眼镜蛇毒原血浆
货号:BP1850
规格:约20mg/支
本品为抗眼镜蛇毒原血浆(马源)标准试剂,可做为科博肽鉴别用,使用前不需干燥处理。
使用方法:试验时,取抗眼镜蛇毒原血浆标准试剂1支,加0.9%氯化钠溶液0.3ml溶解后备用;取科博肽适量,加0.9%氯化钠溶液制成适宜浓度溶液,按照科博肽质量标准方法,在琼脂糖平板上打孔,各点样20μl,置37℃恒温24~48小时,观察科博肽与抗眼镜蛇毒原血浆应有沉淀线显示。
包装:白色安瓿
规格:每支20mg
储存条件:4℃保存。
风险提示:丁香通仅作为第三方平台,为商家信息发布提供平台空间。用户咨询产品时请注意保护个人信息及财产安全,合理判断,谨慎选购商品,商家和用户对交易行为负责。对于医疗器械类产品,请先查证核实企业经营资质和医疗器械产品注册证情况。
- 作者
- 内容
- 询问日期
文献和实验紫杉醇是红豆杉属植物中的一种复杂的次生代谢产物, 也是目前所了解的惟一一种可以促进微管聚合和稳定已聚合微管的药物。同位素示踪表明, 紫杉醇只结合到聚合的微管上, 不与未聚合的微管蛋白二聚体反应。细胞接触紫杉醇后会在细胞内积累大量的微管,这些微管的积累干扰了细胞的各种功能,特别是使细胞分裂停止于有丝分裂期,阻断了细胞的正常分裂。
美国的“国家癌症研究中心”从太平洋紫杉(学名: Taxus brevifolia Nutt.)的树皮中萃取出紫杉醇(Paclitaxel 商品名 Taxol),发现它具有抗癌的效果,经过一连串的临床试验,民国七十八年正式制成制剂用来治疗卵巢癌与乳癌。由于它的治疗效果甚佳,使得太平洋紫杉被预言为「二十世纪对人类贡献最大的植物」。 不过太平洋紫杉生长缓慢,从树皮萃取紫杉醇的产量又甚低,以治疗一个卵巢癌病患需要二公克紫杉醇而言,就需要砍伐二到三棵 50 ~ 60 年生的太平洋紫杉
Theranostics | 空间代谢组学方法评估抗癌药物肿瘤靶向效率和瘤内分布异质性
在《Theranostics》期刊发表的题为“Evaluation of the tumor-targeting efficiency and intratumor heterogeneity of anticancer drugs using quantitative mass spectrometry imaging”的研究成果,采用空气动力辅助解吸电喷雾离子化(AFADESI)技术和基于人工神经网络(ANN)的虚拟校正-定量质谱成像(VC-QMSI)方法,建立了针对紫杉醇及其衍生物前药的体内定量成像方法,为评估该类
技术资料暂无技术资料 索取技术资料










