相关产品推荐更多 >
万千商家帮你免费找货
0 人在求购买到急需产品
- 详细信息
- 询价记录
- 文献和实验
- 技术资料
- 库存:
177
- 英文名:
Isoquercitrin
- CAS号:
21637-25-2
- 保质期:
长期
- 供应商:
北京百奥莱博科技有限公司
- 保存条件:
室温
- 规格:
20mg
特别提示:包括异槲皮苷在内,本公司的所有产品仅可用于科研实验,严禁用于临床医疗及其他非科研用途!
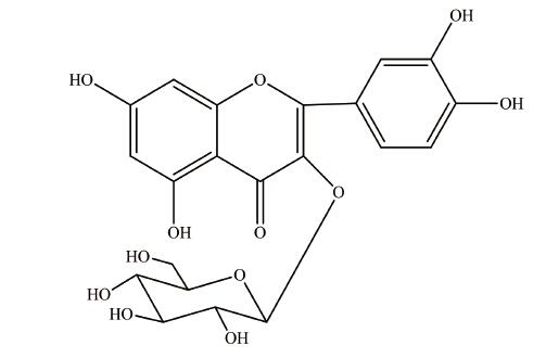
产品名称:异槲皮苷
英文名称:Isoquercitrin
CAS#:21637-25-2
产品货号:异槲皮苷
产品规格:20mg
本品为异槲皮苷化学对照品,供薄层鉴别及含量测定用,含量以92.9%计。
CAS号:21637-25-2
分子式:C21H20O12
分子量:464.38
结构式:
包装及装量:棕色安瓿瓶,约20mg/支
储存条件:室温保存。
注意事项:使用前无需处理。
除了异槲皮苷,,我公司还供应以下相关产品:
| 货号 | 名称 | 规格 |
| BP0089 | 烟酰胺 | 100mg/支 |
| BP0160 | 氯噻酮 | 100mg/支 |
| BP0537 | 马来酸多潘立酮 | 100mg |
| BP0699 | 7-表-10-去乙酰基紫杉醇(紫杉醇杂质II) | 20mg/支 |
| BP0891 | 3’-氯-3’-脱氧胸苷(齐多夫定杂质) | 50mg |
| BP0913 | 盐酸兰地洛尔 | 100mg/支 |
| BP1028 | 甘草次酸 | 20mg/支 |
| BP1441 | 对羟基苯乙酮 | 20mg/支 |
| BP1448 | 白花前胡乙素 | 20mg |
| BP1911 | 肝素对照品 | 约50mg/瓶 |
| BP1937 | 促卵泡生成素(FSH) | 200mIU/支 |
| BP1939 | 人绒毛膜促性腺激素β亚单位(HCG-β) | 240ng/0.5mL/支 |
| BP2123 | 左甲状腺素钠 | 50mg/支 |
| BP2137 | 枸橼酸西地那非 | 100mg/支 |
| BP2153 | 甲*(代"醚")化双环醇(双环醇杂质II) | 50mg/支 |
风险提示:丁香通仅作为第三方平台,为商家信息发布提供平台空间。用户咨询产品时请注意保护个人信息及财产安全,合理判断,谨慎选购商品,商家和用户对交易行为负责。对于医疗器械类产品,请先查证核实企业经营资质和医疗器械产品注册证情况。
- 作者
- 内容
- 询问日期
文献和实验相关实验
苷、异槲皮苷、虎杖黄酮苷、扁蓄苷、金丝桃苷及芸苷、Vtio等。 实验原理: 羟基醌类化合物及二苯乙烯类成分,均可溶于乙醇中,故可用乙醇将它们取出来。羟基蒽醌类易溶于乙醚等弱极性溶剂,白藜芦醇苷在乙醚中溶解度很小,利用它们对乙醚的溶解性差异使羟基蒽醌类与白藜芦醇苷分离,再利用各羟基蒽醌类结构上的不同所表现酸性不同,用PH梯度萃取法分离它们。 实验方法: (一)提取 乙醇总提取物的制备:取虎杖粗粉200g,于1000ml圆底烧瓶中回流,第一次加500ml乙醇回流一小时,第二次加
技术资料暂无技术资料 索取技术资料
异槲皮苷
¥380 - 3800









