相关产品推荐更多 >
万千商家帮你免费找货
0 人在求购买到急需产品
- 详细信息
- 文献和实验
- 技术资料
- 库存:
463
- 英文名:
Reserpine
- CAS号:
50-55-5
- 保质期:
长期
- 供应商:
北京百奥莱博科技有限公司
- 保存条件:
遮光,密封保存。注意事项:60℃
- 规格:
100mg/支
特别提示:包括利血平在内,本公司的所有产品仅可用于科研实验,严禁用于临床医疗及其他非科研用途!
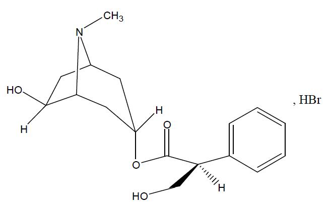
产品名称:利血平
英文名称:Reserpine
CAS#:50-55-5
产品货号:利血平
产品规格:100mg/支
本品为利血平(Reserpine),供含量测定用,按C33H40N2O9计,供HPLC法测定,含量为99.0%;供荧光分析法测定,含量为100.0%。
分子式:C33H40N2O9
分子量:608.69
CAS号:50-55-5
包装及装量:棕色西林瓶装,每支约100毫克。
储存条件:遮光,密封保存。
注意事项:60℃减压干燥3小时后使用。
除了利血平,,我公司还供应以下相关产品:
名称:醋酸氯地孕酮
货号:BP0011
规格:50mg
名称:氢溴*山莨菪碱
货号:BP0045
规格:50mg/支
本品供UV法含量测定和TLC鉴别用,按C17H23NO4·HBr计,含量为99.3%,使用前不需要干燥处理。
分子式:C17H23NO4·HBr
结构式:
分子量:386.29
CAS号:55449-49-5
包装:棕色安瓿瓶
规格:50mg/支
储存条件:遮光,密封保存
名称:醋酸甲地孕酮
货号:BP0138
规格:100mg/支
本品为醋酸甲地孕酮(Megestrol Acetate)化学对照品,供鉴别和含量测定用。以C24H32O4计,供HPLC法测定,含量为 99.2%。
分子式:C24H32O4
分子量:384.52
CAS号:595-33-5
包装及装量:棕色瓶,约100mg/支
储存条件:干燥避光,室温密闭保存
注意事项:本品不需干燥处理,直接称取,避光操作
名称:醋酸氯己定
货号:BP0149
规格:100mg/支
本品为醋酸氯己定的化学对照品,供含量测定用,使用前不需干燥处理,按醋酸氯计,供HPLC法测定,含量为96.3%;供UV法测定,含量为96.9%。
分子式:C22H30Cl2N10·2C2H4O2
分子量:625.56
CAS号:56-95-1
包装:棕色西林瓶。
装量:约100mg/支。
储存条件:遮光,密闭,10~30℃保存。
名称:沙丁胺醇
货号:BP0167
规格:100mg
本品为沙丁胺醇(Salbutamol)的化学对照品,按C13H21NO3计,含量为99.7%。
分子式:C13H21NO3
分子量:239.31
CAS号:18559-94-9
包装及装量:棕色小瓶装,每支约100毫克。
储存条件:遮光,密封保存。
注意事项:使用前不需干燥处理。
名称:盐酸帕罗西汀
货号:BP0288
规格:100mg/支
本品为盐酸帕罗西汀化学对照品,供盐酸帕罗西汀和盐酸帕罗西汀片鉴别、检查和含量测定时作对照用。按C19H20FNO3HCl计,含量为97.4%。
分子式:C19H20FNO3HCl·1/2H2O
分子量:374.84
CAS号:110429-35-1
包装及装量:棕色小瓶装,每支约100mg
储存条件:遮光,密封保存
注意事项:本品使用前不需干燥处理
名称:维生素B2
货号:BP0296
规格:100mg/支
本品为维生素B2(核黄素)的化学对照品,105℃干燥2小时后使用,供HPLC法含量测定用,按C17H20N4O6计,含量为98.2%。
分子式:C17H20N4O6
结构式:
分子量:376.37
CAS号:83-88-5
包装:棕色西林瓶
规格:约100毫克/支
储存条件:遮光,密闭保存。
名称:盐酸米安色林
货号:BP0618
规格:100mg
名称:富马酸酮替芬杂质I
货号:BP0828
规格:50mg
本品为富马酸酮替芬杂质I化学对照品,供HPLC法系统适用性试验用。
CAS号:59743-88-3
分子式:C20H23O2SN
分子量:341.47
包装及装量:棕色小瓶装,每支约50毫克。
储存条件:遮光,密封保存。
注意事项:使用前不需干燥处理。
名称:盐酸多巴酚丁胺
货号:BP0862
规格:500mg
本品为盐酸多巴酚丁胺化学对照品,供含量测定用,供HPLC法测定,按C18H23NO3·HCl计,含量为99.8%。
CAS号:49745-95-1
分子式:C18H23NO3·HCl
分子量:337.85
包装及装量:棕色安瓿装,每支约500 毫克。
储存条件:遮光,密封保存。
注意事项:使用前不需干燥处理。
名称:吲哚美辛杂质II(4-氯*(代"苯")甲*)
货号:BP0963
规格:50毫克/支
本品为吲哚美辛杂质II(4-氯*(代"苯")甲*)化学对照品,供检查用。使用前不需干燥,供HPLC法测定,按C7H5ClO2计,含量为100%。
CAS号:74-11-3
分子式:C7H5ClO2
分子量:156.57
包装:棕色西林瓶
规格:约50毫克/支
储存条件:遮光,密闭,10~30℃保存。
名称:番泻苷A
货号:BP1110
规格:20mg/支
本品为番泻苷A化学对照品,供含量测定用,使用前不需干燥处理,含量以95.2%计。
CAS号:81-27-6
分子式:C42H38O20
分子量:862.74
结构式:
包装:棕色安瓿瓶
规格:约20mg/支
储存条件:冷冻保存
注意事项:本品有引湿性,打开包装后一次使用完毕。
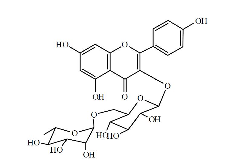
名称:山柰酚-3-O-芸香糖苷
货号:BP1533
规格:20mg/支
本品为山柰酚-3-O-芸香糖苷化学对照品,供鉴别和含量测定用,含量以90.8%计,使用前不需干燥处理。
CAS号:17650-84-9
分子式:C27H30O15
分子量:594.52
结构式:
包装:棕色安瓿瓶
规格:约20mg/支
储存条件:冷处(2-10℃)保存
注意事项:本品具有引湿性,建议打开包装一次性使用完毕。
名称:山嵛酸甘油酯
货号:BP2018
规格:500mg
本品为山嵛酸甘油酯化学对照品,供山嵛酸甘油酯品种薄层鉴别用。
包装及装量:棕色西林瓶装,每支约500毫克
储存条件:遮光,密封,于阴凉处保存。
注意事项:使用前不需干燥处理。
名称:二丁基羟基甲*
货号:BP2029
规格:50mg/瓶
本品为二丁基羟基甲*化学对照品,供二丁基羟基甲*项下含量测定用。使用前不需干燥。本品以C15H24O计,含量为99.9%,使用前不需干燥处理。
CAS号:128-37-0
分子式:C15H24O
分子量:220.35
包装:棕色西林瓶
规格:约50毫克/支
储存条件:遮光,阴凉干燥处保存。
注意事项:建议打开包装一次性使用完。
名称:可压性蔗糖
货号:BP2091
规格:200mg
本品为可压性蔗糖化学对照品,仅供可压性蔗糖品种项下红外光吸收图谱鉴别用对照品,使用前不需干燥处理。
包装:棕色西林瓶
规格:约200mg/支
储存条件:遮光、常温保存。
名称:pH标准缓冲粉剂(pH=12.45)
货号:GL2898
规格:1L
用途:
校正pH计或酸度计
注意事项:
该pH值是指在25℃条件下的值,误差范围在0.01,注意密闭保存。
储存条件:室温,24个月
风险提示:丁香通仅作为第三方平台,为商家信息发布提供平台空间。用户咨询产品时请注意保护个人信息及财产安全,合理判断,谨慎选购商品,商家和用户对交易行为负责。对于医疗器械类产品,请先查证核实企业经营资质和医疗器械产品注册证情况。
文献和实验从实竹桃科的印度萝芙木(Rauvolfia serPenti-na)根部提取出来的物质,有降血压和镇静作用,约包括 8种生物碱。利血平( reserpine)是其代表。主要药理作用是对中枢神经系统的安定作用,以及对植物神经系统。特别对交感神经系统的抑制或者阻断作用。利用这种安定作用和条件回避反应抑制作用可作精神病的治疗药物使用,使释放出肾腺能神经的递质,而作为其结果的肾脏能神经的兴奋传递受到阻断,故可作降压剂使用。
技术参数 1.质量范围:10~1500 u 2.扫描速率:500~6000 u/s 3.灵敏度ESI SIM:10pg利血平,S/N>50:1 4.灵敏度ESI MS/MS:10pg利血平,S/N>50:1 主要特点 1.MS/MS的性能特点及定性质谱信息降低了样品制备的成本,由于其对子代离子唯一的选择性,减少了背景的干扰 2.可连接成全功能的三级四极杆质谱仪 3.通过扫描母代离子、子代离子和中性碎片丢失,能够准确判断未知化合物的结构
以上、相对湿度75~80%的地区生长良好。用种子繁殖。雨季定植,植距1×2~3米,种后2~3年收获。根含利血平、阿吗碱、萝芙木碱等多种生物碱,总含量1~2%,有清热、降压、活血、止痛等功效。
技术资料暂无技术资料 索取技术资料










