万千商家帮你免费找货
0 人在求购买到急需产品
- 详细信息
- 文献和实验
- 技术资料
- 库存:
394
- 英文名:
Cefaclor
- CAS号:
70356-03-5
- 保质期:
长期
- 供应商:
北京百奥莱博科技有限公司
- 保存条件:
2-8℃
- 规格:
100mg/支
特别提示:包括头孢克洛在内,本公司的所有产品仅可用于科研实验,严禁用于临床医疗及其他非科研用途!
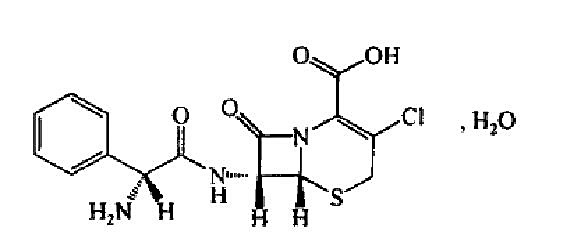
产品名称:头孢克洛
英文名称:Cefaclor
CAS#:70356-03-5
产品货号:头孢克洛
产品规格:100mg/支
本品为头孢克洛化学对照品,供HPLC法含量测定用,以C15H14ClN3O4S计,含量为94.4%,使用前不需干燥处理。
CAS号:70356-03-5
分子式:C15H14ClN3O4S·H2O
分子量:385.82
结构式:
包装:安瓿
规格:约100mg/支
储存条件:2-8℃保存
注意事项:本品建议打开包装一次性使用完毕。注意避光。
除了头孢克洛,,我公司还供应以下相关产品:
名称:愈创木酚磺酸钾
货号:BP0319
规格:100mg
本品为愈创木酚磺酸钾混合物,供HPLC法测定,按C7H7KO5S计,含量为94.7%,其中3-羟基-4-甲氧基*(代"苯")磺酸钾含量为20.2%,4-羟基-3-甲氧基*(代"苯")磺酸钾含量为74.5% 。
分子式:C7H7KO5S
分子量:242.29
CAS号:1321-14-8
包装及装量:棕色小瓶装,每支约100毫克。
储存条件:遮光,密闭保存。
注意事项:使用前不需干燥处理。
名称:m-甲*(代"酚")-4-磺酸铵(聚甲*(代"酚")磺醛杂质)
货号:BP0739
规格:30mg/支
本品为m-甲*(代"酚")-4-磺酸铵(聚甲*(代"酚")磺醛杂质)化学对照品,供HPLC检查用。供HPLC法测定,按C7H11NO4S计,含量为100%。
分子式:C7H11NO4S
分子量:205.23
包装及装量:棕色瓶,约30mg/支
储存条件:遮光,密封保存
注意事项:使用前不需干燥处理
名称:盐酸埃他卡林
货号:BP0787
规格:100mg
名称:尼索地平杂质Ⅱ
货号:BP0843
规格:50mg
名称:依达拉奉杂质
货号:BP0903
规格:50mg/支
本品为依达拉奉杂质(4,4’-双-(3-甲基-1-苯基-5-吡唑啉酮))化学对照品,使用前不需干燥处理,供HPLC法检查用,按C20H18N4O2计,含量为100.0%。
CAS号:7477-67-0
分子式:C20H18N4O2
分子量:346.38
包装及装量:棕色小瓶装,每支约50毫克。
储存条件:遮光,密封保存。
注意事项:使用前不需干燥处理。
名称:磷酸奥司他韦杂质Ⅱ(3-羟基-4-乙酰氨基*(代"苯")甲*乙酯)
货号:BP0988
规格:30mg/支
本品为磷酸奥司他韦杂质Ⅱ(3-羟基-4-乙酰氨基*(代"苯")甲*乙酯)化学对照品,供检查用,使用前不需干燥处理。供HPLC法测定,按C11H13NO4计,含量100%。
CAS号:1346604-18-9
分子式:C11H13NO4
分子量:223.08
包装:棕色西林瓶装
装量:约30mg/支。
储存条件:遮光,密闭,10~30℃保存。
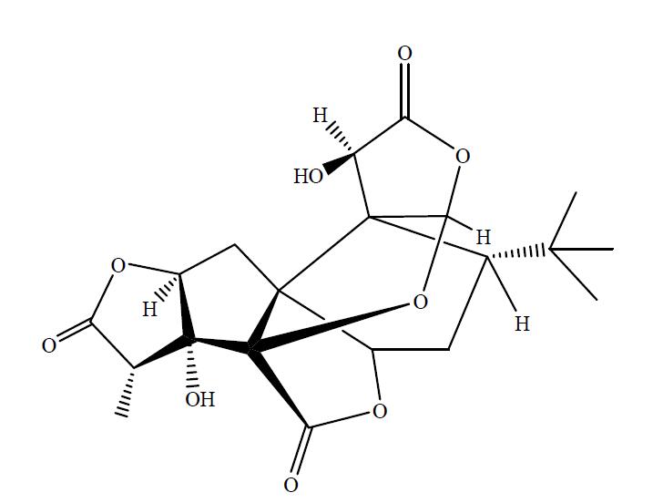
名称:银杏内酯A
货号:BP1138
规格:约20mg/支
本品为银杏内酯A化学对照品,供鉴别和含量测定用,含量以97.4%计,使用前不需干燥处理。
CAS号:15291-75-5
分子式:C20H24O9
分子量:408.40
结构式:
包装:棕色安瓿
规格:约20mg/支
储存条件:冷冻保存
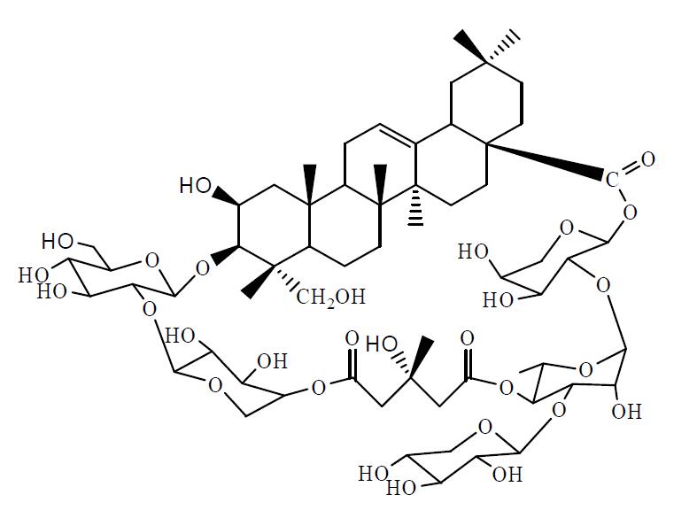
名称:土贝母苷甲
货号:BP1191
规格:20mg/支
本品为土贝母苷甲化学对照品,供含量测定用,含量以96.4%计,使用前不需干燥处理。
CAS号:102040-03-9
分子式:C63H98O29
分子量:1319.43
结构式:
包装:棕色安瓿瓶
规格:约20mg/支
储存条件:冷处保存
注意事项:本品有引湿性,建议打开包装一次性使用完。
名称:野漆树苷
货号:BP1459
规格:20mg/支
本品为野漆树苷化学对照品,供鉴别及含量测定用,含量以92.3%计,使用前不需干燥处理。
CAS号:17306-46-6
分子式:C27H30O14
分子量:578.52
结构式:
包装:棕色安瓿瓶
规格:约20mg/支
储存条件:冷处(2~10℃C)保存
注意事项:本品有引湿性,建议打开包装一次性使用完。
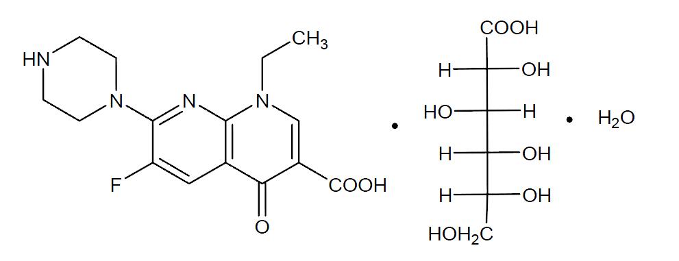
名称:葡萄糖酸依诺沙星
货号:BP1717
规格:100mg
本品为葡萄糖酸依诺沙星化学对照品,供红外鉴别用,使用前不需干燥处理。
分子式:C15H17FN4O3·C6H12O7·H2O
分子量:534.50
结构式:
包装:白色安瓿
规格:约100毫克/支
储存条件:2-8℃保存
名称:纤维蛋白原
货号:BP1792
规格:凝固物含量44%
本品为纤维蛋白原(牛血)标准试剂,供凝血酶效价测定使用。
包装:无色安瓿
规格:凝固物含量为44%
储存条件:-20℃低温密封保存
注意事项:使用前将安瓿放置室温,溶解后尽快使用。开瓶后一次性使用。
名称:次黄嘌呤
货号:BP1810
规格:20mg
本品为次黄嘌呤化学对照品,含量为99.5%,供次黄嘌呤含量测定用。
分子式:C5H4N4O
分子量:136.11
包装:西林瓶
规格:每支20mg
储存条件:4℃~8℃,密封保存。
名称:人绒毛膜促性腺激素
货号:BP1948
规格:14.8IU/支
本品为人绒毛膜促性腺激素免疫测定用标准品,由妊娠妇女尿液中提取的高纯 HCG制备,供HCG免疫分析使用,适用于化学发光、时间分辨免疫荧光等方法。
性状:白色冻干粉末
包装:白色安瓿瓶
规格:每支安瓿内含海藻糖5mg、人血清白蛋白1mg、磷酸盐微量,本品为冻干品。
特性量值:溯源至HCG国际标准品(NIBSC 07/364),经协作标定,每支安瓿内HCG免疫活性为14.82IU(14.82±1.42IU)。
使用方法和要求:使用时应先用 500μl 去离子水将内容物完全复溶,再选择适当的稀释液配制成所需浓度。稀释液建议使用时以含 0.5-1%的人血清白蛋白(HSA)或牛血清白蛋白(BSA)的10mM磷酸盐缓冲液(pH=7.2-7.4)或其他含蛋白的中性缓冲体系。
储存条件:-20℃以下,避免反复冻融。
名称:pH标准缓冲粉剂(pH=7.00)
货号:GL1357
规格:1L
用途:
校正pH计或酸度计
注意事项:
该pH值是指在25℃条件下的值,误差范围在0.01,注意密闭保存。
储存条件:室温,24个月
风险提示:丁香通仅作为第三方平台,为商家信息发布提供平台空间。用户咨询产品时请注意保护个人信息及财产安全,合理判断,谨慎选购商品,商家和用户对交易行为负责。对于医疗器械类产品,请先查证核实企业经营资质和医疗器械产品注册证情况。
文献和实验1、头孢菌素类抗生素 头孢菌素类根据其抗菌谱、抗菌活性、对β内酰胺酶的稳定性以及肾毒性的不同,目前分为四代。第一代头孢菌素主要作用于需氧革兰阳性球菌,仅对少数革兰阴性杆菌有一定抗菌活性;常用的注射剂有头孢唑林、头孢噻吩、头孢拉定等,口服制剂有头孢拉定、头孢氨苄和头孢羟氨苄等。第二代头孢菌素对革兰阳性球菌的活性与第一代相仿或略差,对部分革兰阴性杆菌亦具有抗菌活性;注射剂有头孢呋辛、头孢替安等,口服制剂有头孢克洛、头孢呋辛酯和头孢丙烯等。第三代头孢菌素对肠杆菌科细菌等革兰
4.9 卡托普利 captopril 65 38 30 12 0.81 2.2 卡马西平 carbamazepine >70 carbenicillin - 82 50 0.68 0.18 1.0 头孢克洛 cefaclor - 52 25 6.1 0.36 0.67 头孢氨苄 cefalexin 90 91 14 4.3 0.26 0.9 头孢孟多 cefamandole - 96 74 2.8 0.16
率在40%以上,有些地区高达90.1%。我们最近对115株肺类链球菌检测结果显示,阿奇霉素的耐药率达67.8%。从耐药性监测结果看此类药物已不适合对社区获得性肺炎的经验治疗,但临床应用仍显示相当好的疗效。原因是阿奇霉素在肺组织中的浓度分布远远高于血清中的浓度。按美国临床实验室标准化委员会NCCLS药敏折点(以血清浓度为基础),体外试验可能报告耐药,但组织浓度仍然有效。另外,还有头孢克洛,由于在药敏培养基中容易降解,35℃培养24h仅有10%的药物具有活性,而因造成最低抑菌浓度(MIC)偏高现象。但临床
技术资料暂无技术资料 索取技术资料










