相关产品推荐更多 >
万千商家帮你免费找货
0 人在求购买到急需产品
- 详细信息
- 文献和实验
- 技术资料
- 库存:
60
- 英文名:
Dehydroandrographolide Succinate
- CAS号:
786593-06-4
- 保质期:
长期
- 供应商:
北京百奥莱博科技有限公司
- 规格:
20mg/支
特别提示:包括脱水穿心莲内酯琥珀酸半酯在内,本公司的所有产品仅可用于科研实验,严禁用于临床医疗及其他非科研用途!
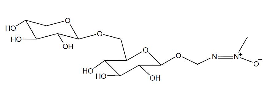
产品名称:脱水穿心莲内酯琥珀酸半酯
英文名称:Dehydroandrographolide Succinate
CAS#:786593-06-4
产品货号:脱水穿心莲内酯琥珀酸半酯
产品规格:20mg/支
本品为脱水穿心莲内酯琥珀酸半酯化学对照品,供含量测定用,含量以99.6%计,使用前不需干燥处理。
CAS号:786593-06-4
分子式:C28H36O10
分子量:532
结构式:
包装:棕色安瓿瓶
装量:约20mg/支
储存条件:冷冻保存
除了脱水穿心莲内酯琥珀酸半酯,,我公司还供应以下相关产品:
名称:丁溴东莨菪碱
货号:BP0104
规格:100mg
本品为丁溴东莨菪碱的化学对照品,供HPLC法测定,按C21H30BrNO4计,含量为99.7%。
分子式:C21H30BrNO4
分子量:440.38
CAS号:149-64-4
包装及装量:棕色小瓶装,每支约100毫克。
储存条件:遮光,密封保存。
注意事项:105℃干燥3小时后使用(湿度50%以下条件称重)。
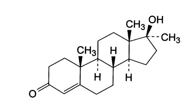
名称:甲睾酮
货号:BP0139
规格:100mg/支
本品为甲睾酮的化学对照品,供HPLC法鉴别和含量测定用。本品应于105℃干燥2小时后使用,以C20H30O2计,含量为99.5%。
CAS号:58-18-4
分子式:C20H30O2
分子量:302.46
结构式:
包装:棕色西林瓶
规格:约100毫克/支
储存条件:常温遮光,密闭保存
注意事项:本品略有引湿性,打开包装后应密闭保存,使用前应干燥处理。
名称:呋*(代"喃")丙胺杂质A
货号:BP0343
规格:100mg
名称:桂美酸
货号:BP0348
规格:50mg
名称:尿嘧啶
货号:BP0369
规格:100mg
本品为尿嘧啶化学对照品,供含量测定用。按C4H4N2O2计,供HPLC法测定,含量为99.6%。
分子式:C4H4N2O2
分子量:112.09
CAS号:66-22-8
包装及装量:棕色西林瓶装,每支约100毫克。
储存条件:遮光,密封保存。
注意事项:使用前不需干燥处理。
名称:麝香草酚
货号:BP0394
规格:100毫克/支
本品为麝香草酚化学对照品,供含量测定用,使用前不需干燥处理,供GC法测定,按C10H14O计,含量为99.9%。
分子式:C10H14O
分子量:150.22
CAS号:89-83-8
包装:棕色西林瓶
规格:约100毫克/支
储存条件:遮光,密闭,10~30℃保存。
名称:巴柳氮钠
货号:BP0476
规格:100mg
名称:阿那曲唑
货号:BP0593
规格:100mg
本品为阿那曲唑化学对照品,使用前不需干燥处理。按C17H19N5计,供HPLC含量测定用,含量为99.7%。
CAS号:120511-73-1
分子式:C17H19N5
分子量:293.37
结构式:
包装及装量:棕色西林瓶装,每支约100毫克。
储存条件:遮光,密封保存。
名称:葡醛内酯
货号:BP0790
规格:50mg/支
本品为葡醛内酯化学对照品,供HPLC法测定,按C6H8O6计,含量为100.0%。
CAS号:32449-92-6
分子式:C6H8O6
分子量:176.13
包装及装量:棕色小瓶装,每支约50毫克。
储存条件:遮光,密封保存。
注意事项:使用前无需处理。
名称:丙戊*(代"酸")镁
货号:BP0836
规格:50mg
名称:盐酸胺碘酮杂质Ⅱ
货号:BP0883
规格:50mg/支
本品为盐酸胺碘酮杂质Ⅱ化学对照品,供检查用,使用前不需干燥处理,供HPLC法测定,按C19H16I2O3计,含量为100%。
CAS号:1951-26-4
分子式:C19H16I2O3
分子量:546.14
结构式:
(盐酸胺碘酮有关物质检查系统适用性实验典型色谱图)
包装:棕色小瓶装
规格:每支约50毫克
储存条件:遮光,密闭,2-8℃保存。
名称:牛磺熊去氧胆酸钠
货号:BP1103
规格:20mg/支
本品为牛磺熊去氧胆酸钠化学对照品,供含量测定用,使用前不需干燥处理。含量以93.4%计。
CAS号:14605-22-2
分子式:C26H44NO6SNa
分子量:521.69
结构式:
包装:棕色安瓿瓶
装量:约20mg/支
储存条件:冷处保存
注意事项:本品有引湿性,打开包装后一次使用完毕。
名称:短葶山麦冬皂苷C
货号:BP1451
规格:20mg/支
本品为短葶山麦冬皂苷C化学对照品,供相关物质鉴别用。
分子式:C44H70O17
分子量:870.46
包装及装量:棕色瓶,每支约20毫克。
储存条件:冷冻保存。
名称:4-羟基苯乙*(代"酸")(对羟基苯乙*(代"酸"))
货号:BP1456
规格:20mg
名称:甲基氧化偶氮甲*樱草糖苷
货号:BP1518
规格:约20mg/支
本品为甲基氧化偶氮甲*樱草糖苷化学对照品,供鉴别或含量测定用,含量以98.9%计,使用前不需干燥处理。
分子式:C13H24N2O11
分子量:384.34
结构式:
包装:棕色安瓿
规格:约20mg/支
储存条件:冷处(2~10℃)保存
名称:无味氯霉素A晶型
货号:BP1603
规格:100mg
本品为无味氯霉素A晶型标准品,供红外鉴别及晶型检查用,使用前不需干燥处理。
CAS号:530-43-8
分子式:C27H42Cl2N2O6
分子量:561.55
结构式:
包装:白色安瓿
规格:约100毫克/支
储存条件:2-8℃保存
名称:阿柔比星
货号:BP1746
规格:20mg/支
本品为阿柔比星化学对照品,供HPLC含量测定用,以阿柔比星(C42H53NO15)计,每支含阿柔比星为19.10mg。使用前不需干燥处理。使用时需要整瓶稀释。
CAS号:57576-44-0
分子式:C42H53NO15·HCl
分子量:847.3
结构式:
包装:西林瓶
规格:20mg/支
储存条件:2-8℃保存
名称:2-氨基-5-氯二苯酮(氯氮*(代"卓")杂质I)
货号:BP1966
规格:50mg/支
本品为氯氮*(代"卓")杂质I(2-氨基-5-氯二苯酮)化学对照品,供有关物质检查时,作对照用。
包装及装量:棕色瓶,约50mg/支
储存条件:避光,密闭保存。
注意事项:本品使用前不需干燥,可直接使用。
名称:甲*(代"醚")化双环醇(双环醇杂质II)
货号:BP2153
规格:50mg/支
本品为双环醇杂质II(甲*(代"醚")化双环醇)化学对照品,供HPLC法系统适用性试验用,使用前不需要干燥处理。
分子式:C20H20O9
分子量:404.37
结构式:
包装:棕色西林瓶
规格:50毫克/支
储存条件:遮光,密封保存
名称:马来酸伊索拉定
货号:BP2155
规格:100mg/支
本品为马来酸伊索拉定化学对照品,供HPLC法含量测定用,按C9H7Cl2N5·C4H4O4计,含量为100.0%,使用前不需干燥处理。
CAS号:84504-69-8
分子式:C9H7Cl2N5·C4H4O4
分子量:372.17
包装:棕色西林瓶装
装量:约100mg/支
储存条件:遮光,密封保存
风险提示:丁香通仅作为第三方平台,为商家信息发布提供平台空间。用户咨询产品时请注意保护个人信息及财产安全,合理判断,谨慎选购商品,商家和用户对交易行为负责。对于医疗器械类产品,请先查证核实企业经营资质和医疗器械产品注册证情况。
文献和实验δ-氨基-γ- 酮戊酸 δ-aminol evulinic acid
具有 5-氨基 -4-氧戊酸的结构 * ,广泛分布于各种生物中。通常由琥珀酰 CoA与甘氨酸经由α -氨基 - β -酮己二酸生物合成的。 2分子的δ -氨基 -γ -酮戊酸脱水缩合,生成胆色素原。后者成为血红素、叶绿素、藻胆色素( phycobelin)、胆色素、维生素 B12 (氰钴胺素 cyanocobalamin)等四吡咯化合物生物合成的中间产物。此外,还知有δ -氨基 -γ -酮戊酸经氧化脱氨反应,生成α -酮戊二酸半缩醛,在它给出 C1 单位后又返回琥珀酸
的起始物质。因为此循环周转的强度依赖于其所含物质的量,所以必须补给转入各合成途径的物质的消耗,丙酮酸羧化酶或乙醛酸循环与此途径有关。柠檬酸循环局限在线粒体内的可溶部分(基质matrix)。循环由以下八个步骤组成:(1)草酰乙酸与乙酰CoA的缩合→柠檬酸,(2)柠檬酸的脱水加水→异柠檬酸,(3)异柠檬酸的氧化脱羧→α-酮戊二酸,(4)α-酮戊二酸的氧化脱羧与CoA的参入→琥珀酰CoA,(5)琥珀酰CoA与Pi,GDP的反应→琥珀酸、GTP、CoA,(6)琥珀酸脱氢→延胡索酸,(7)延胡索酸加水→L-
试剂 1. 10mmol/L BCG贮存液 BCG1.75g,溶于5ml 1 mol/L NaOH溶液中,加蒸馏水至250ml。 2. 0.5mol/L在琥珀酸缓冲贮存液(pH4.0) NaOH10g,琥珀酸56g,溶解于800ml蒸馏水中,用1mol/L NaOH溶液调pH至4.10±0.05,加蒸馏水至1L。 3. 叠氮钠贮存液 叠氮钠40g溶于1000ml蒸馏水中。 4. Brij-35溶液 Brij-35 25
技术资料暂无技术资料 索取技术资料










