相关产品推荐更多 >
万千商家帮你免费找货
0 人在求购买到急需产品
- 详细信息
- 文献和实验
- 技术资料
- 库存:
348
- 英文名:
Erythromycin
- 保质期:
长期
- 供应商:
北京百奥莱博科技有限公司
- 保存条件:
4℃
- 规格:
200mg/支
特别提示:包括红霉素在内,本公司的所有产品仅可用于科研实验,严禁用于临床医疗及其他非科研用途!
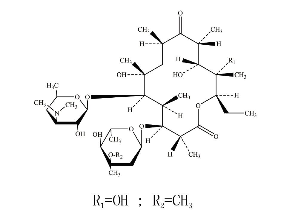
产品名称:红霉素
英文名称:Erythromycin
产品货号:红霉素
产品规格:200mg/支
本品为红霉素标准品,供红霉素品种效价及组分测定用。
分子式:C37H67NO13
分子量:733.94
结构式:
包装及装量:安瓿;200mg/支
储存条件:4℃避光保存
使用方法:使用时精密称取适量,按标准方法进行测定。1000u/ml的红霉素溶液在5℃以下条件保存可使用7日。
除了红霉素,,我公司还供应以下相关产品:
名称:吡哌酸
货号:BP0123
规格:50mg
本品为吡哌酸的三水合物(Pipemidic Acid)的化学对照品,供UV法含量测定用,按C14H17N5O3计,含量为83.6%。
分子式:C14H17N5O3·3H2O
分子量:357.36
CAS号:51940-44-4
包装及装量:棕色小瓶装,每支约50毫克。
储存条件:密封保存。
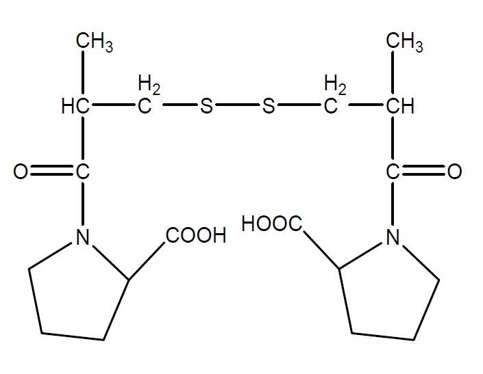
名称:卡托普利二硫化物
货号:BP0256
规格:50mg
本品为卡托普利二硫化物,供检查用,使用前不需干燥处理,按C18H28N2O6S2计,含量为100.0%。
分子式:C18H28N2O6S2
结构式:
分子量:432.56
CAS号:64806-05-9
包装:棕色西林瓶
规格:约50毫克/支”
储存条件:遮光,密闭保存。
名称:羟苯乙酯
货号:BP0643
规格:100mg/支
本品为羟苯乙酯化学对照品,使用前不需干燥处理。供HPLC法含量测定用,按C9H10O3计算,含量为99.9%。
CAS号:120-47-8
分子式:C9H10O3
分子量:166.18
结构式:
包装:棕色西林瓶装。
规格:约100毫克/支。
储存条件:遮光,密闭,10~30℃保存。
名称:栎瘿酸
货号:BP1419
规格:20mg/支
本品为栎瘿酸化学对照品,供薄层鉴别用。
CAS号:6812-81-3
分子式:C30H48O2
分子量:440.37
结构式:
包装:棕色瓶
规格:约20mg/支
储存条件:冷处(2-10℃)保存
名称:头孢唑肟
货号:BP1653
规格:100mg/支
本品为头孢唑肟化学对照品,供HPLC法含量测定用,以C13H13N5O5S2计,含量为98.5%,使用前不需干燥处理。
CAS号:68401-81-0
分子式:C13H13N5O5S2
分子量:383.38
结构式:
包装:白色安瓿
规格:约100mg/支
储存条件:置2-8℃遮光保存。
风险提示:丁香通仅作为第三方平台,为商家信息发布提供平台空间。用户咨询产品时请注意保护个人信息及财产安全,合理判断,谨慎选购商品,商家和用户对交易行为负责。对于医疗器械类产品,请先查证核实企业经营资质和医疗器械产品注册证情况。
文献和实验放线菌( Streptomyces erythreus)产生的大环内酯( macrolide)系的代表性的抗菌素。主要对革兰氏阳性菌具有抗菌性。 LD50 为 200— 400毫克/公斤,作用机理在于与细菌的聚核糖体结合而抑制肽链的延。
红霉素(Erythromycin)酶联免疫分析(ELISA)
红霉素(Erythromycin) 酶联免疫分析( ELISA ) 试剂盒使用说明书 本试剂盒仅供研究使用。 1 使用目的: 本试剂盒用于饲料、鱼、虾和肉类组织(如鸡、牛肉和猪肉),鸡蛋、蜂蜜、牛奶、血清和尿样中红霉素 (Erythromycin) 残留的定量检测。 2 实验原理 本试剂盒采用竞争 ELISA 方法,在微孔板包被有 红霉素 (Erythromycin
罗红霉素的分析向来让各位做这个品种的色友大伤脑筋,主要是峰形极差,而加三乙胺来改善峰形也是不太好使,因为三乙胺在这个波长有强吸收,加进去后本底上升,峰高很低,甚至看不到峰。经过我们的一番努力,终于让它变老实了,得到了非常漂亮的对称峰形。 罗红霉素药典方法 色谱柱:Ultimate XB-C18, 5um, 4.6×250mm 检测波长:210 nm 流动相:67mM磷酸二氢铵(用三乙胺调节pH
技术资料暂无技术资料 索取技术资料










