相关产品推荐更多 >
万千商家帮你免费找货
0 人在求购买到急需产品
- 详细信息
- 文献和实验
- 技术资料
- 库存:
大量
- 英文名:
Paris Saponin VII
- CAS号:
68124-04-9
- 保质期:
2年
- 供应商:
上海信裕生物科技有限公司
- 保存条件:
2-8℃
- 规格:
20mg
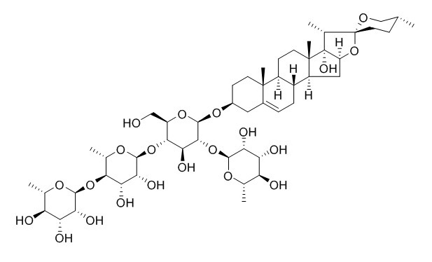
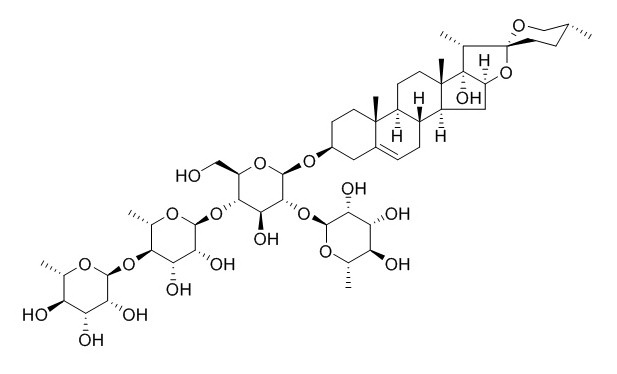
英文名: Paris Saponin VII
别名:
CAS号: 68124-04-9
分子式: C51H82O21
分子量: 1031.2
储存条件: 2-8℃
外观: Powder
重楼皂苷VII(68124-04-9)分析标准品,HPLC≥95%中药对照品的包装要求
中药对照品和中药标准品的包装是指选用适宜的包装材抖和容器.采用适宜的包装技术对药品或药物制剂进行分、封、装、贴签.从而在运输、储存、管理和使用中为药品提供保护、分类和说明作用的过程。
我们对对照药材的包装进行了规范。除参照国家相关规定外.还制仃了详细的包装要求,主要有:包装工作开始前.须核对外包装上的标识与该品种名称、批号、规格等信息是否一致。
包装一般在相对通风环境良好的工作间,对于有毒有害的品种需在手套操作箱中包装,配截好手套口革等防护用具。包装结束后.清点包装数量.稍毁多余标签,清扫工作现场。
重楼皂苷VII(68124-04-9)分析标准品,HPLC≥95%对照品、对照药材等概念
标准品,即标准物品,作为一种衡量标准,用做药物方面,则为含量测定中的标准含量。生物制品标准物质系指用于生物制品效价、活性或含量测定的或其特性鉴别、检查的生物标准品或生物参考物质。
对照品是指用于鉴别、检查、含量测定和校正检定仪器性能的标准物质,对照药材、对照提取物的作用同对照品
两者一样是指国家药品标准中用于鉴别、检查、含量测定、杂质和有关物质检查等标准物质,它是国家药品标准不可分割的组成部分。国家药品标准物质是国家药品标准的物质基础,它是用来检查药品质量的一种特殊的专用量具;是测量药品质量的基准;也是作为校正测试仪器与方法的物质标准。在药品检验中,它是确定药品真伪优劣的对照,是控制药品质量必不可少的工具。
举例说明
薄层色谱鉴别:以大黄对照药材、大黄酸对照品为对照,进行薄层色谱法试验。置紫外光灯(365nm)下检视,药材供试品色谱中,在与对照药材色谱相应的位置上,显相同的5个橙黄色的荧光主斑点;在与对照品色谱相应的位置上,显相同的橙黄色荧光斑点;置蒸气中熏后,日光下检视,斑点变为红色。
高效液相色谱鉴别:以薏苡仁油对照提取物、甘油三油酸酯对照品为对照,用高效液相色谱法测定,药材和饮片供试品色谱图中,应呈现与对照品保留时间一致的色谱峰;并呈现与对照提取物保留时间一致的7个主要色谱峰。
风险提示:丁香通仅作为第三方平台,为商家信息发布提供平台空间。用户咨询产品时请注意保护个人信息及财产安全,合理判断,谨慎选购商品,商家和用户对交易行为负责。对于医疗器械类产品,请先查证核实企业经营资质和医疗器械产品注册证情况。
文献和实验2.3 供试品溶液的制备 取供试品内容物2.0g,精密称定,置50mL容量瓶中,加入甲醇40mL,放置12h,超声处理20min,加入甲醇至刻度,摇匀,用0.45μm微孔滤膜过滤,取滤过液作为供试品溶液. 2.4 系统适用性试验 分别精密吸取供试品溶液及对照品溶液各20μL,注入液相色谱仪中,结果如图1A,B.理论塔板数按淫羊藿甙峰计算,均不低于3000. 2.5 阴性对照品溶液的制备及测定 为进一步考察实验设计及测定方法的可行性,取不含淫羊藿的处方,按制备工艺制成缺淫羊
) Dichloromethane (CH 2 Cl 2 ), ≥99% pure Bromocresol green indicator: dissolve 0.04 g bromocresol green (Merck) in 100 mL ethanol and add 0.1 M aqueous NaOH
【分享】★【生物化学与分子生物学讨论版】★FTP(219.231.165.19:21)资源列表及账号密码更新处
GB in total.) │?│?蛋白质技术手册.pdf 5.94 MB │?│?Molcular Biology Problem Solver.pdf 2.41 MB │?│?蛋白质纯化与鉴定实验指南.pdf 6.44 MB │?│?蛋白质电泳实验技术.pdf 0 bytes │?│?精编分子生物学实验指南.pdf 20.29 MB │?│?最新分子生物学实验技术(梁国栋主编).pdf 11.78 MB │?├─GENE VII and VIII
技术资料暂无技术资料 索取技术资料










