相关产品推荐更多 >
万千商家帮你免费找货
0 人在求购买到急需产品
- 详细信息
- 文献和实验
- 技术资料
- 库存:
836
- 英文名:
Hosenkoside A
- CAS号:
156791-82-1
- 保质期:
长期
- 供应商:
北京百奥莱博科技有限公司
- 保存条件:
冷处(2~10℃)
特别提示:包括凤仙萜四醇苷A在内,本公司的所有产品仅可用于科研实验,严禁用于临床医疗及其他非科研用途!
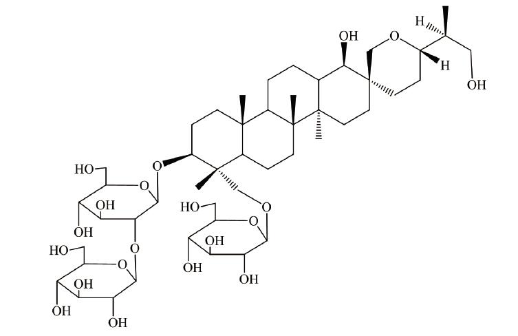
产品名称:凤仙萜四醇苷A
英文名称:Hosenkoside A
产品规格:20mg/支
CAS#:156791-82-1
本品为凤仙萜四醇苷A化学对照品,供含量测定用,含量以95.4%计,使用前不需干燥处理。
CAS号:156791-82-1
分子式:C48H82O20
分子量:979.15
结构式:
包装:棕色安瓿瓶
规格:约20mg/支
储存条件:冷处(2~10℃)保存
注意事项:本品具有引湿性,建议打开包装一次性使用完。
风险提示:丁香通仅作为第三方平台,为商家信息发布提供平台空间。用户咨询产品时请注意保护个人信息及财产安全,合理判断,谨慎选购商品,商家和用户对交易行为负责。对于医疗器械类产品,请先查证核实企业经营资质和医疗器械产品注册证情况。
文献和实验凡是由甲戌二羟酸衍生所形成的植物成分,都称为蔬类化合物。根据组成碳架的碳原子数萜类化合物可分为一萜、倍半萜、二萜、三萜、四萜及多萜等。一萜和倍半萜是挥发油的主要成分,二萜是形成树脂的主要物质,三萜是形成植物皂甙、树脂的重要物质,四萜主要是植物中广泛分布的一些脂溶性色素。在自然界中,萜类化合物分布很广,有些具有生理活性,如驱蛔素、山道年具驱蛔虫作用,青蒿素有抗疟作用,穿心莲内酯有抗菌作用。
异戊二烯五碳单位(饱和的或部分饱和的五碳支链化合物)的聚合物。因其不含脂肪酸成分,故属非皂化性脂质,亦称类异戊二烯或异戊烯脂质。此外还有由异戊二烯聚合链通过碳 -碳键与其他成分结合组成的条合异戊烯脂质。 主要根据异戊二烯的数目分类。两个异戊二烯构成单萜( C10 ),三个异戊二烯构成倍半萜( C15 );四个异戊二烯构成二萜( C20 ),还有三萜( C30 ),四萜( C40 )和含有 700~ 5000个异戊二烯的多萜。五碳单位之间多为“头 -尾
亦称萜或萜类。以异戊二烯为构成单位的一类天然有机化合物之总称。可看作是2个以上的异戊二烯单位结合成链状或环状的化合物。除( C5 H8 ) n 型的不饱和烃以外,在自然界中已发现了种类非常多的这类氧化还原产物或脱碳的产物。根据碳的数目可分为单萜( C10 )、倍半萜( C15 )、双萜( C20 )、三萜( C30 )、四萜( C40 )和多萜。其中包括各种精油、树脂、甾类、类胡萝卜素、弹性树胶等。在异戊二烯化合物的生物合成中,从乙酰辅酶 A经甲羟戊酸生成的△ 3 -异
技术资料暂无技术资料 索取技术资料










