相关产品推荐更多 >
万千商家帮你免费找货
0 人在求购买到急需产品
- 详细信息
- 文献和实验
- 技术资料
- 库存:
300
- 英文名:
Hosenkoside K
- CAS号:
160896-49-1
- 保质期:
长期
- 供应商:
北京百奥莱博科技有限公司
- 保存条件:
冷处(2-10℃)
特别提示:包括凤仙萜四醇苷K在内,本公司的所有产品仅可用于科研实验,严禁用于临床医疗及其他非科研用途!
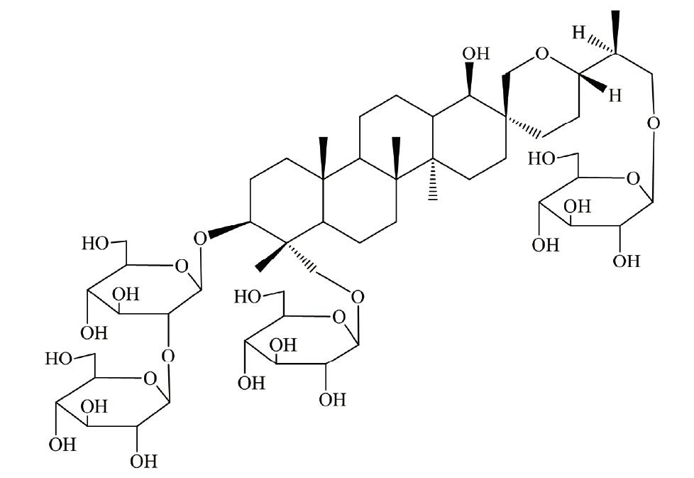
产品名称:凤仙萜四醇苷K
英文名称:Hosenkoside K
产品规格:20mg/支
CAS#:160896-49-1
本品为凤仙萜四醇苷K化学对照品,供含量测定用,含量以92.8%计,使用前不需干燥处理。
CAS号:160896-49-1
分子式:C54H92O25
分子量:1141.29
结构式:
包装:棕色安瓿瓶
规格:约20mg/支
储存条件:冷处(2-10℃)保存
注意事项:本品具有引湿性,建议打开包装一次性使用完。
风险提示:丁香通仅作为第三方平台,为商家信息发布提供平台空间。用户咨询产品时请注意保护个人信息及财产安全,合理判断,谨慎选购商品,商家和用户对交易行为负责。对于医疗器械类产品,请先查证核实企业经营资质和医疗器械产品注册证情况。
文献和实验相关实验
异戊二烯五碳单位(饱和的或部分饱和的五碳支链化合物)的聚合物。因其不含脂肪酸成分,故属非皂化性脂质,亦称类异戊二烯或异戊烯脂质。此外还有由异戊二烯聚合链通过碳 -碳键与其他成分结合组成的条合异戊烯脂质。 主要根据异戊二烯的数目分类。两个异戊二烯构成单萜( C10 ),三个异戊二烯构成倍半萜( C15 );四个异戊二烯构成二萜( C20 ),还有三萜( C30 ),四萜( C40 )和含有 700~ 5000个异戊二烯的多萜。五碳单位之间多为“头 -尾
)与其他因素的关系可以用下式描述:� n=kVfC0Vs/(kVf+ Vs)� 式中:k为被测物在基质和涂层间的分配系数,Vf和Vs分别为涂层和样品的体积,C0为被测物在样品中的浓度。如果样品体积很大时(Vs>>kVf)上式可以简化成:� n=kVf C0� 萃取的被测物量与样品的体积无关,而与其浓度呈线性关系,因而从分析结果中得到的萃取纤维表面的吸附量,就能算出被萃取物在样品中的含量,可方便地进行定量分析。� 1.2 固相微萃取操作条件的选择�
技术资料暂无技术资料 索取技术资料
凤仙萜四醇苷K
¥200 - 2330










