相关产品推荐更多 >
万千商家帮你免费找货
0 人在求购买到急需产品
- 详细信息
- 文献和实验
- 技术资料
- 库存:
830
- 英文名:
Phellodendrine hydrochloride
- CAS号:
104112-82-5
- 保质期:
长期
- 供应商:
北京百奥莱博科技有限公司
- 保存条件:
冷处(2~10℃)
特别提示:包括盐*(代"酸")黄柏碱在内,本公司的所有产品仅可用于科研实验,严禁用于临床医疗及其他非科研用途!
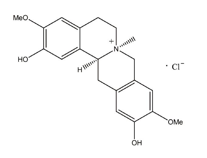
产品名称:盐*(代"酸")黄柏碱
英文名称:Phellodendrine hydrochloride
产品规格:约20mg/支
CAS#:104112-82-5
本品为盐*(代"酸")黄柏碱化学对照品,供鉴别和含量测定用,含量以94.9%计,使用前不需干燥处理。
CAS号:104112-82-5
分子式:C20H24ClNO4
分子量:377.86
结构式:
包装:棕色安瓿瓶
装量:约20mg/支。
储存条件:冷处(2~10℃)
注意事项:本品具引湿性,打开包装后一次使用完毕。
风险提示:丁香通仅作为第三方平台,为商家信息发布提供平台空间。用户咨询产品时请注意保护个人信息及财产安全,合理判断,谨慎选购商品,商家和用户对交易行为负责。对于医疗器械类产品,请先查证核实企业经营资质和医疗器械产品注册证情况。
文献和实验wangruimishu 哪位高手知道MTT实验如果用盐酸异丙醇溶解结晶的话,浓度该是多少呢?多谢赐教!! ylhuang0502 酸化异丙醇(0.1N HCL+无水异丙醇) 详细步骤可参见: http://www.biotf.cn/read-htm-tid-221-page-e-fpage-1.html cyclin 很不错的东西 wangruimishu
服和工作鞋。合适的材料是天然橡胶。在高度暴露的环境下应穿防酸工作服,工作场所应备有5%碳酸氢钠溶液的安全淋浴和眼睛冲洗器具。眼睛:如需要应戴用面罩。(八)急救吸入:脱离盐酸产生源或将患者移至新鲜空气处,如患者呼吸停止,应立即进行人工呼吸,避免口对口接触。眼睛接触:使眼睑张开,用生理盐水或微温的缓流的流水冲洗患眼20分钟。皮肤接触:用微温的缓流的流水冲洗患处至少20分钟,在流水下脱去污染的衣服。口服:用水充分漱口,不可催吐,如可能给患者饮水约50毫升。如呕吐自然发生,应使患者身体前倾重复给水,一切患者
检查中药中是否有黄酮类化合物的最常用方法之一。在样品的乙醇或甲醇溶液中加入少许镁粉振摇,再满加几滴浓盐酸,l-2分钟(必要时水浴上加热)即显出颜色。黄酮、黄酮醇类、二氢黄酮类和二氢黄酮醇类化合物一般显红色到紫红色,个别显蓝或绿色(如7,3’,4’一三羟基二氢黄酮)。分子中特别是在B环上有一OH或一OCH3。取代时颜色随之加深。
技术资料暂无技术资料 索取技术资料









