相关产品推荐更多 >
万千商家帮你免费找货
0 人在求购买到急需产品
- 详细信息
- 文献和实验
- 技术资料
- 库存:
959
- 英文名:
Neohesperidin
- CAS号:
13241-33-3
- 保质期:
长期
- 供应商:
北京百奥莱博科技有限公司
- 保存条件:
冷处(2-10℃)
特别提示:包括新橙皮苷在内,本公司的所有产品仅可用于科研实验,严禁用于临床医疗及其他非科研用途!
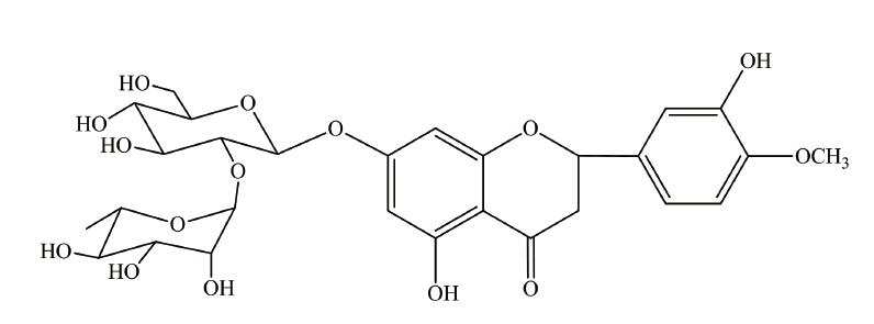
产品名称:新橙皮苷
英文名称:Neohesperidin
产品规格:约20mg/支
CAS#:13241-33-3
本品为新橙皮苷化学对照品,供鉴别和含量测定用,含量以99.2%计,使用前不需干燥处理。
CAS号:13241-33-3
分子式:C28H34O15
分子量:610.56
结构式:
包装:棕色安瓿瓶
规格:约20mg/支
储存条件:冷处(2-10℃)保存
风险提示:丁香通仅作为第三方平台,为商家信息发布提供平台空间。用户咨询产品时请注意保护个人信息及财产安全,合理判断,谨慎选购商品,商家和用户对交易行为负责。对于医疗器械类产品,请先查证核实企业经营资质和医疗器械产品注册证情况。
文献和实验中科院张利民发现「人工代糖」导致脂肪肝!「代糖」还是天然的好
的另外一种代糖新橙皮苷二氢查耳酮(NHDC) 喂养了小鼠。与糖精与三氯蔗糖不同的是,NHDC 并不是人工合成的,而是一种天然代糖。而在同样的实验条件下,使用 NHDC 的小鼠并没有出现人工代糖组中的症状。这些数据证明,人工代糖,比天然代糖 NHDC 更容易导致脂肪肝。 图片来源:mSystems 为了进一步探究人工代糖与脂肪肝之间的联系,作者把目光聚集在了此前被报道能够被代糖影响的肠道微生物群。通过主坐标分析(PCoA),研究团队发现,两种人工代糖显著改变了小鼠的肠道微生物群。进一步对微生物群的分析发现
而麻舌味,是由于含有类柠檬素如柚皮苷、枳苷和新橙皮苷等黄酮苷类化合物。柚为单胚,易与它种杂交。葡萄柚的近亲显然是柚,它除种子是多胚,果序结果多个的特性之外,其余与柚难区分。⑤葡萄柚、甜橙、柠檬和来檬是本属植物在世界上栽培数量最大的四大果品。其果用来制果酱。来檬,云南潞西县有种植,其他地方个别柑橘园有试种。果小皮薄,果肉味酸。柠檬,从国外引进,品种较多,但香柠檬或称北京柠檬则在中国育成,香气较浓,抗寒力较强,但酸分不如国外某些品种的高。酸橙,各地多栽种,与甜橙的区别甚微,主要是果肉味较酸,个别品种
技术资料暂无技术资料 索取技术资料










