相关产品推荐更多 >
万千商家帮你免费找货
0 人在求购买到急需产品
- 详细信息
- 技术资料
- 库存:
387
- 英文名:
Dipsacoside B
- CAS号:
33289-85-9
- 保质期:
长期
- 供应商:
北京百奥莱博科技有限公司
特别提示:包括川续断皂苷乙在内,本公司的所有产品仅可用于科研实验,严禁用于临床医疗及其他非科研用途!
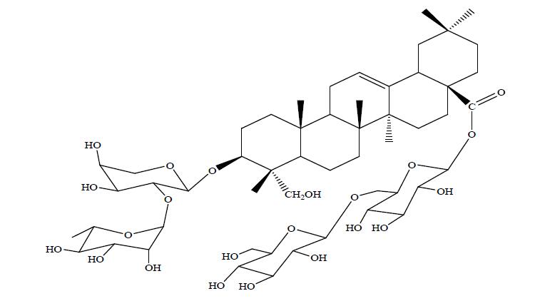
产品名称:川续断皂苷乙
英文名称:Dipsacoside B
产品规格:约20mg/支
CAS#:33289-85-9
本品为川续断皂苷乙化学对照品,供含量测定用,含量以92.2%计,使用前不需干燥处理。
CAS号:33289-85-9
分子式:C53H86O22
分子量:1074.56
结构式:
包装及装量:棕色安瓿瓶,约20mg/支
储存条件:冷处保存
注意事项:本品有引湿性,打开包装后一次使用完毕。
风险提示:丁香通仅作为第三方平台,为商家信息发布提供平台空间。用户咨询产品时请注意保护个人信息及财产安全,合理判断,谨慎选购商品,商家和用户对交易行为负责。对于医疗器械类产品,请先查证核实企业经营资质和医疗器械产品注册证情况。
技术资料暂无技术资料 索取技术资料
川续断皂苷乙
¥180 - 1990










