相关产品推荐更多 >
万千商家帮你免费找货
0 人在求购买到急需产品
- 详细信息
- 文献和实验
- 技术资料
- 库存:
690
- 英文名:
Neucoccin
- CAS号:
2611-82-7
- 保质期:
长期
- 供应商:
北京百奥莱博科技有限公司
特别提示:包括胭脂红在内,本公司的所有产品仅可用于科研实验,严禁用于临床医疗及其他非科研用途!
产品名称:胭脂红
英文名称:Neucoccin
产品规格:约20mg/支
CAS#:2611-82-7
本品为胭脂红化学对照品,供检查项对照用。
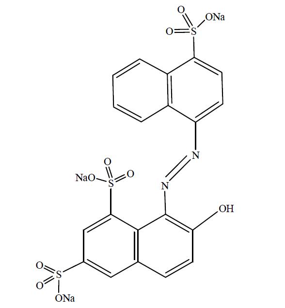
CAS号:2611-82-7
分子式:C20H11N2O10S3·3Na
分子量:604.47
结构式:
包装:棕色瓶
规格:约20mg/支
储存条件:阴凉处
风险提示:丁香通仅作为第三方平台,为商家信息发布提供平台空间。用户咨询产品时请注意保护个人信息及财产安全,合理判断,谨慎选购商品,商家和用户对交易行为负责。对于医疗器械类产品,请先查证核实企业经营资质和医疗器械产品注册证情况。
文献和实验着食品行业又一轮安全大作战拉开序幕。 通微公司,作为国内优秀的色谱分析仪器、耗材生产及方法应用提供商,依托强大的研发优势,应用EasySep-1020液相色谱系统和HALO C18色谱柱,建立一种用反相高效液相色谱测定食品中9种合成食用色素的分析方法。 该方法可测定9种合成食用色素:柠檬黄、新红、苋菜红、靛蓝胭脂红、胭脂红、日落黄、诱惑红、亮蓝、赤藓红。9种合成食用色素8 min内完成分离检测,样品加样回收率高87.3%~101.7%。这一系统及方法操作简便快速
原料配方 一、砂糖(配成75%糖液备用)50千克 苹果浆(10%)46千克 桔子浆(8%)10千克 山楂汁(5%)5千克 柠檬酸(先配成溶液备用)40克 胭脂红(配成5~10%溶液备用)5克 二、砂糖50千克 苹果浆(10%)29~32千克 桔子浆(8%)10~13千克 桃子浆(10%)10千克 山楂汁(5%)4千克 柠檬酸40克 胭脂红5克 制作方法 1.原料处理:(1)苹果:选用新鲜多汁、成熟度在八成以上、组织紧密、风味正常的果实。用不锈钢刀削去轻微机械伤
起来达5mm宽,400mm长,比普通中期相染色体大得多(约100~150倍),所以又称为多线染色体 唾液腺染色体具有许多重要特征,为遗传学研究的许多方面,如染色体结构、化学组成、基因差别表达等提供了独特的研究材料 三、实验材料与器具 三龄幼虫 0.9%生理盐水 胭脂红染色液 解剖镜 解剖针 吸水纸 四、实验步骤
技术资料暂无技术资料 索取技术资料










