相关产品推荐更多 >
万千商家帮你免费找货
0 人在求购买到急需产品
- 详细信息
- 技术资料
- 库存:
461
- 英文名:
Lobetyolin
- CAS号:
136085-37-5
- 保质期:
长期
- 供应商:
北京百奥莱博科技有限公司
特别提示:包括党参炔苷在内,本公司的所有产品仅可用于科研实验,严禁用于临床医疗及其他非科研用途!
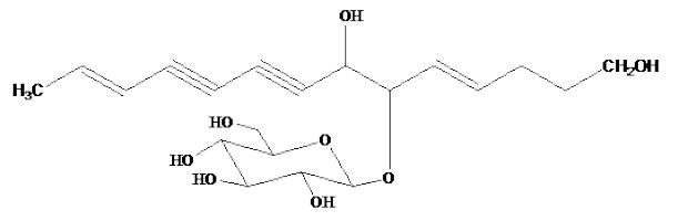
产品名称:党参炔苷
英文名称:Lobetyolin
产品规格:10mg/支
CAS#:136085-37-5
本品为党参炔苷化学对照品,供相关物质鉴别用,使用前不需干燥处理。
CAS号:136085-37-5
分子式:C20H28O8
分子量:396.43
结构式:
包装:棕色安瓿瓶。
装量:约10mg/支
储存条件:冷冻
风险提示:丁香通仅作为第三方平台,为商家信息发布提供平台空间。用户咨询产品时请注意保护个人信息及财产安全,合理判断,谨慎选购商品,商家和用户对交易行为负责。对于医疗器械类产品,请先查证核实企业经营资质和医疗器械产品注册证情况。
技术资料暂无技术资料 索取技术资料
党参炔苷
¥180 - 1530










