相关产品推荐更多 >
万千商家帮你免费找货
0 人在求购买到急需产品
- 详细信息
- 文献和实验
- 技术资料
- 库存:
296
- 英文名:
Echinacoside
- CAS号:
82854-37-3
- 保质期:
长期
- 供应商:
北京百奥莱博科技有限公司
- 保存条件:
冷处(2-10℃)
特别提示:包括松果菊苷在内,本公司的所有产品仅可用于科研实验,严禁用于临床医疗及其他非科研用途!
产品名称:松果菊苷
英文名称:Echinacoside
产品规格:20mg/支
CAS#:82854-37-3
本品为松果菊苷化学对照品,供鉴别及含量测定用,含量以89.7%计,使用前不需干燥处理。
CAS号:82854-37-3
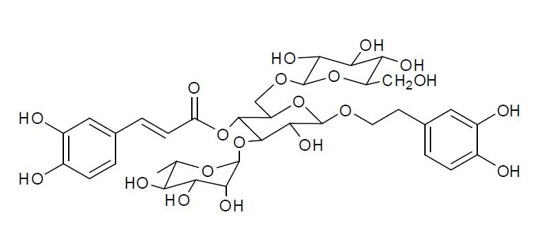
分子式:C35H46O20
分子量:786.73
结构式:
包装:棕色安瓿瓶
规格:约20mg/支
储存条件:冷处(2-10℃)保存
注意事项:本品有引湿性,打开包装后一次使用完毕。
风险提示:丁香通仅作为第三方平台,为商家信息发布提供平台空间。用户咨询产品时请注意保护个人信息及财产安全,合理判断,谨慎选购商品,商家和用户对交易行为负责。对于医疗器械类产品,请先查证核实企业经营资质和医疗器械产品注册证情况。
文献和实验相关实验
苁蓉酒中松果菊苷含量的测定 采用反相高效液相色谱法测定苁蓉酒中松果菊苷的含量。该法能有效地排除复方中其他组分的干扰,使色谱峰得到完全的分离。色谱条件:固定相:ODS,流动相:ACN+1%乙酸溶液(14+86),柱温:25℃,紫外波长:330nm. 反相高效液相色谱法测定枳实、枳壳中橙皮甙和柚皮甙的含量 采用高效液相色谱法测定了枳实、枳壳中橙皮甙和柚皮甙的含量。色谱柱为Hypersil ODS柱(250mm×4.6mm i.d),流动
技术资料暂无技术资料 索取技术资料
松果菊苷
¥170 - 1730










