相关产品推荐更多 >
万千商家帮你免费找货
0 人在求购买到急需产品
- 详细信息
- 文献和实验
- 技术资料
- 库存:
969
- 英文名:
Hyperoside
- CAS号:
482-36-0
- 保质期:
长期
- 供应商:
北京百奥莱博科技有限公司
特别提示:包括金丝桃苷在内,本公司的所有产品仅可用于科研实验,严禁用于临床医疗及其他非科研用途!
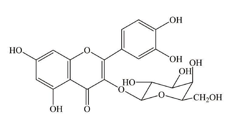
产品名称:金丝桃苷
英文名称:Hyperoside
产品规格:约20mg/支
CAS#:482-36-0
本品为金丝桃苷化学对照品,供下含量测定用,含量以95.1%计,使用前不需干燥处理。
CAS号:482-36-0
分子式:C21H20O12
分子量:464.38
结构式:
包装:棕色安瓿瓶
规格:约20mg/支
储存条件:冷冻保存
注意事项:本品具引湿性,建议打开包装一次性使用完。
风险提示:丁香通仅作为第三方平台,为商家信息发布提供平台空间。用户咨询产品时请注意保护个人信息及财产安全,合理判断,谨慎选购商品,商家和用户对交易行为负责。对于医疗器械类产品,请先查证核实企业经营资质和医疗器械产品注册证情况。
文献和实验相关实验
苷、异槲皮苷、虎杖黄酮苷、扁蓄苷、金丝桃苷及芸苷、Vtio等。 实验原理: 羟基醌类化合物及二苯乙烯类成分,均可溶于乙醇中,故可用乙醇将它们取出来。羟基蒽醌类易溶于乙醚等弱极性溶剂,白藜芦醇苷在乙醚中溶解度很小,利用它们对乙醚的溶解性差异使羟基蒽醌类与白藜芦醇苷分离,再利用各羟基蒽醌类结构上的不同所表现酸性不同,用PH梯度萃取法分离它们。 实验方法: (一)提取 乙醇总提取物的制备:取虎杖粗粉200g,于1000ml圆底烧瓶中回流,第一次加500ml乙醇回流一小时,第二次加
技术资料暂无技术资料 索取技术资料
金丝桃苷
¥200 - 2500










