万千商家帮你免费找货
0 人在求购买到急需产品
- 详细信息
- 技术资料
- 库存:
708
- 英文名:
Stevioside
- 保质期:
长期
- 供应商:
北京百奥莱博科技有限公司
特别提示:包括甜菊苷在内,本公司的所有产品仅可用于科研实验,严禁用于临床医疗及其他非科研用途!
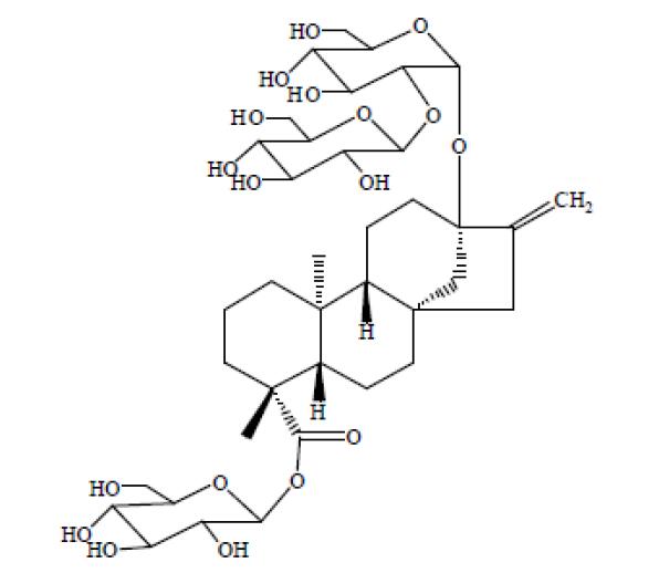
产品名称:甜菊苷
英文名称:Stevioside
产品规格:约20mg/支
本品为甜菊苷化学对照品,供相关物质鉴别用。
分子式:C38H60O18
分子量:804.87
结构式:
包装及装量:棕色瓶。
储存条件:干燥避光保存。
风险提示:丁香通仅作为第三方平台,为商家信息发布提供平台空间。用户咨询产品时请注意保护个人信息及财产安全,合理判断,谨慎选购商品,商家和用户对交易行为负责。对于医疗器械类产品,请先查证核实企业经营资质和医疗器械产品注册证情况。
技术资料暂无技术资料 索取技术资料
甜菊苷
¥120 - 2290










