相关产品推荐更多 >
万千商家帮你免费找货
0 人在求购买到急需产品
- 详细信息
- 文献和实验
- 技术资料
- 库存:
497
- 英文名:
Jujuboside B
- CAS号:
55466-05-2
- 保质期:
长期
- 供应商:
北京百奥莱博科技有限公司
- 保存条件:
密闭、常温
特别提示:包括酸枣仁皂苷B在内,本公司的所有产品仅可用于科研实验,严禁用于临床医疗及其他非科研用途!
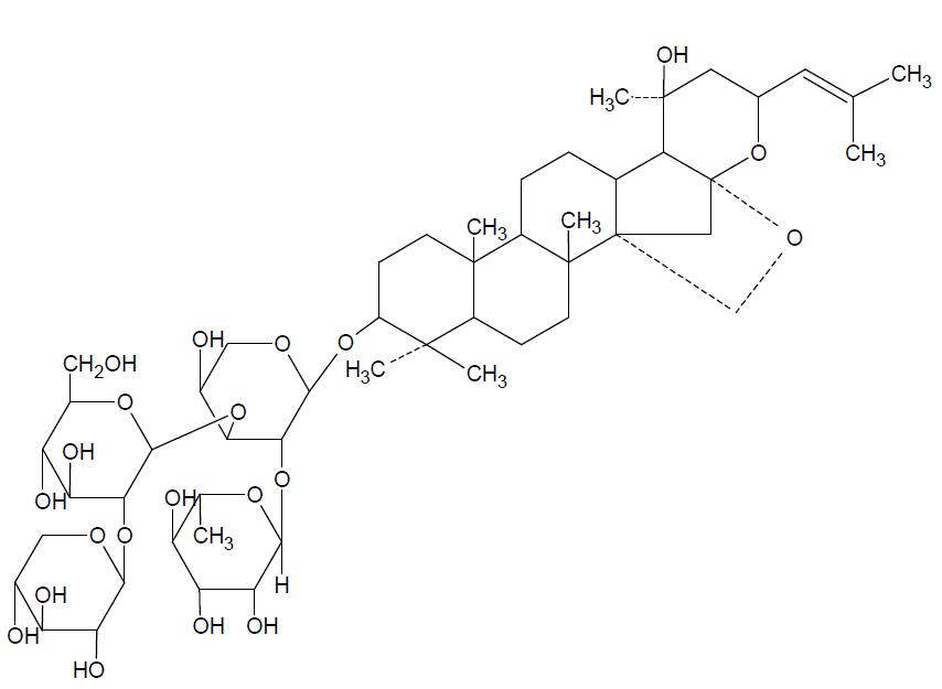
产品名称:酸枣仁皂苷B
英文名称:Jujuboside B
产品规格:20mg
CAS#:55466-05-2
本品为酸枣仁皂苷B化学对照品,供鉴别或含量测定用,含量以91.6%计,使用前不需干燥处理。
CAS号:55466-05-2
分子式:C52H84O21
分子量:1045.21
结构式:
包装:棕色安瓿瓶
规格:约20mg/支
储存条件:密闭、常温保存
风险提示:丁香通仅作为第三方平台,为商家信息发布提供平台空间。用户咨询产品时请注意保护个人信息及财产安全,合理判断,谨慎选购商品,商家和用户对交易行为负责。对于医疗器械类产品,请先查证核实企业经营资质和医疗器械产品注册证情况。
文献和实验失眠等症。酸枣仁皂苷A为镇静催眠的有效成分之一,我们在文献[1]方法的基础上,改进提取、纯化方法,对酸枣仁合剂中酸枣仁皂苷A进行了测定,并对处方中部分药材进行了薄层鉴别,结果较为满意。 1 材料与仪器 LC�10A高效液相色谱仪(日本岛津公司),电子天平(B�N型,梅特勒�托利多仪器上海有限公司)。酸枣仁皂苷A对照品(734�9404),知母、茯苓和川芎对照药材均购自中国药品生物制品检定所,酸枣仁药材自购,经四川大学华西药学院王天志教授鉴定。酸枣仁合剂为四
2),取4种药材供试品溶液分别进行测定,其其相应位置人参皂苷的含量,结果见表1。 a.人参皂苷对照品 b.竹节参根茎(野生) 图2 竹节参(野生)和人参皂苷 Re+Rg1 HPLC色谱图(略) 表1 栽培和野生竹节参中以人参皂苷(Re+Rg1)为对照品测定的含量(略) 3 小结 从薄层图谱可见栽培品与野生品都有对应的5个主要的薄层色谱斑点,说明其所含主要成分基本相似。从 HPLC含量测定结果来看,野生竹节参根茎中人参皂苷 Rg
[2] ✦ CUT&RUN 原理: 图 4:CUT&RUN 原理 [3] 利用连有刀豆蛋白 A 的磁珠(concanavalin A-coated magnetic beads)结合细胞。使用非离子去污剂洋地黄皂苷进行细胞膜通透。然后孵育靶蛋白(如转录因子, TF )的抗体和 Protein A-MNase 。抗体和 Protein A-MNase 能够通过核孔进入细胞核,MNase 通过 Protein A 和抗体的介导切割靶蛋白附近的 DNA 序列。 MNase 的活化需要 Ca
技术资料暂无技术资料 索取技术资料










