相关产品推荐更多 >
万千商家帮你免费找货
0 人在求购买到急需产品
- 详细信息
- 文献和实验
- 技术资料
- 库存:
427
- 英文名:
Peimine
- CAS号:
23496-41-5
- 保质期:
长期
- 供应商:
北京百奥莱博科技有限公司
- 保存条件:
冷处(2-10℃)
特别提示:包括贝母素甲在内,本公司的所有产品仅可用于科研实验,严禁用于临床医疗及其他非科研用途!
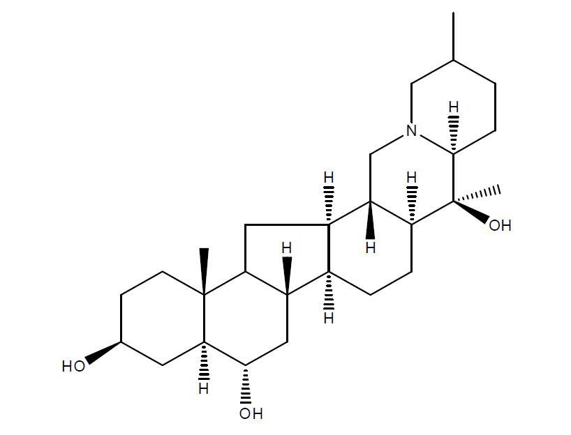
产品名称:贝母素甲
英文名称:Peimine
产品规格:约20mg/支
CAS#:23496-41-5
本品为贝母素甲化学对照品,供鉴别或含量测定用,使用前不需干燥处理。含量以96.2%计。
CAS号:23496-41-5
分子式:C27H43NO3
分子量:431.64
结构式:
包装:棕色安瓿瓶
装量:约20mg/支
储存条件:冷处(2-10℃)保存
风险提示:丁香通仅作为第三方平台,为商家信息发布提供平台空间。用户咨询产品时请注意保护个人信息及财产安全,合理判断,谨慎选购商品,商家和用户对交易行为负责。对于医疗器械类产品,请先查证核实企业经营资质和医疗器械产品注册证情况。
文献和实验相关实验
病Fusarium avenaceum、软腐病Erwinia carotovora、蛴螬等。 商品田于5月中旬采挖,洗净后分级加工,鳞茎直径3.5cm以上者,摘除心芽,分瓣的鳞片,加工品称大贝;直径3.5cm以下者,不摘心芽,加工品称珠贝。将分级后的鳞茎,撞破表皮至渗出浆液时,每100kg加贝壳灰或熟石灰3-4kg,继续撞匀,灰附着在鳞片上吸收浆液,晒干即成商品。 鳞茎含甾醇类生物碱,如贝母碱(贝母素甲Peimine Verticine)约0.1%、去氢贝母碱(贝母素乙Peiminine
技术资料暂无技术资料 索取技术资料
贝母素甲
¥150 - 2460









