相关产品推荐更多 >
万千商家帮你免费找货
0 人在求购买到急需产品
- 详细信息
- 文献和实验
- 技术资料
- 库存:
251
- 英文名:
Icariin
- CAS号:
489-32-7
- 保质期:
长期
- 供应商:
北京百奥莱博科技有限公司
特别提示:包括淫羊藿苷在内,本公司的所有产品仅可用于科研实验,严禁用于临床医疗及其他非科研用途!
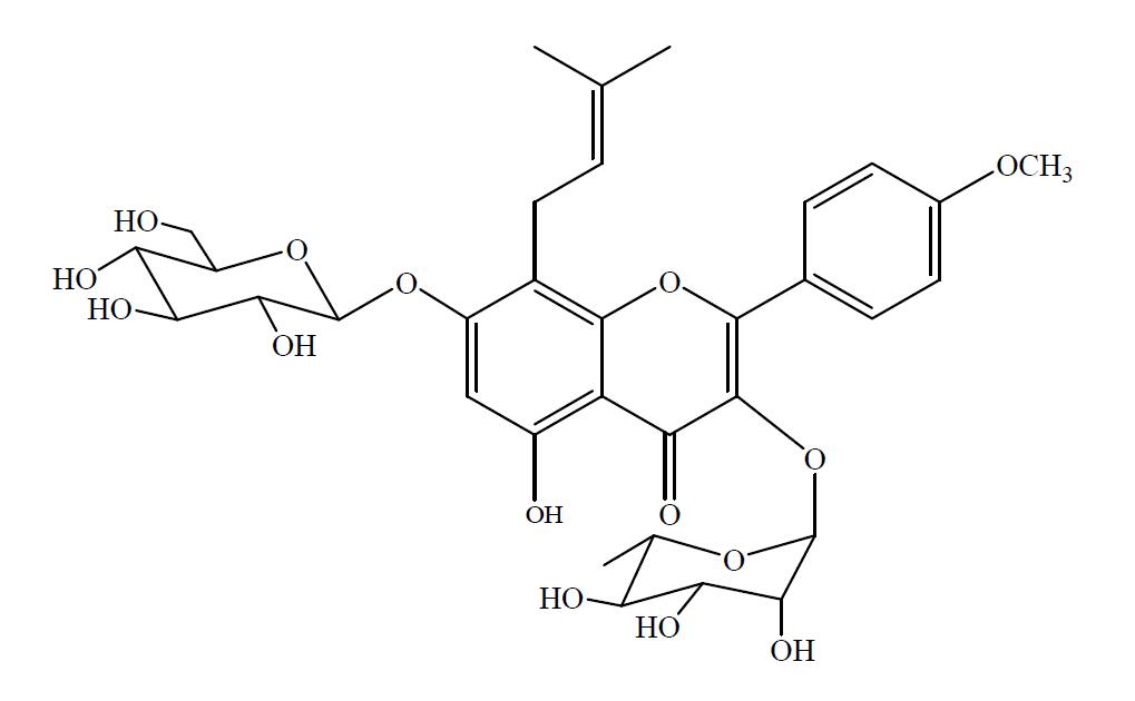
产品名称:淫羊藿苷
英文名称:Icariin
产品规格:20mg/支
CAS#:489-32-7
本品为淫羊藿苷化学对照品,供鉴别及含量测定用,含量94.2%,使用前不需干燥处理。
CAS号:489-32-7
分子式:C33H40O15
分子量:676.65
结构式:
包装:棕色安瓿瓶
装量:约20mg/支
储存条件:冷处保存
注意事项:本品有引湿性,建议打开包装一次使用完。
风险提示:丁香通仅作为第三方平台,为商家信息发布提供平台空间。用户咨询产品时请注意保护个人信息及财产安全,合理判断,谨慎选购商品,商家和用户对交易行为负责。对于医疗器械类产品,请先查证核实企业经营资质和医疗器械产品注册证情况。
文献和实验相关实验
。在小檗属及十大功劳属中,雄蕊对外界的刺激有敏感反应,当雄蕊被蜂类接触时,即弹向内方,使带有花粉的瓣片触及昆虫头部,所以蜜蜂在采蜜时,常把从另一朵花粘着的花粉传置在它花的柱头上。有人认为,雄蕊易受刺激可保证自花传粉。也有人认为是为了增进异花传粉的一种方法。 小檗以盛产中国传统的中药材植物而著称,淫羊藿属植物的茎、叶含有淫羊藿苷(icariine)。小檗属和十大功劳属植物的根、根皮和茎皮含有多种生物碱,其中最主要的为小檗碱(berberine),以及少量的巴马亭(palma-tine
技术资料暂无技术资料 索取技术资料
淫羊藿苷
¥140 - 2080










