相关产品推荐更多 >
万千商家帮你免费找货
0 人在求购买到急需产品
- 详细信息
- 文献和实验
- 技术资料
- 库存:
大量
- 英文名:
Ginkgolide A
- CAS号:
15291-75-5
- 保质期:
2年
- 供应商:
上海钰博生物科技有限公司
- 规格:
20mg
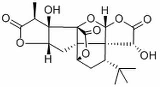
银杏内酯A,银杏苦内酯A,CAS:15291-75-5
分子式:C20H24O9
分子量:408.40
CAS号:15291-75-5
纯度: HPLC≥98%
中文名称:银杏内酯A
中文别名:银杏苦内酯A
英文名称:Ginkgolide A
英文别名:
9H-1,7a-(Epoxymethano)-1H,6aH-cyclopenta[c]furo[2,3-b]furo[3'',2'':3,4]cyclopenta[1,2-d]furan-5,9,12(4H)-trione, 3-tert?butylhexahydro-4,7b-dihydroxy-8-methyl- (8CI); Ginkgolide A; (1R,3S,3aS,4R,6aR,7aR,7bR,8S,10aS,11aS)-3-(1,1-Dimethylethyl)hexahydro-4,7b?dihydroxy-8-methyl-9H-1,7a-(epoxymethano)-1H,6aH-cyclopenta[c]furo[2,3-b]furo[3′,2′:3,4]cyclopenta[1,2-d]furan-5,9,12(4H)-trione; 9H-1,7a-
(Epoxymethano)-1H,6aH-cyclopenta[c]furo[2,3-b]furo[3′,2′:3,4]cyclopenta[1,2-d]furan-5,9,12(4H)-trione, 3-(1,1-dimethylethyl)hexahydro-4,7b-dihydroxy-
8-methyl-, [1R-(1α,3β,3aS*,4β,6aα,7aα,7bα,8α,10aα,11aS*)]-; BN 52020; [1R-(1α,3β,3aS*,4β,6aα,7aα,7bα,8α,10aα,11aS*)]-3-(1,1-
Dimethylethyl)hexahydro-4,7b-dihydroxy-8-methyl-9H-1,7a-(epoxymethano)-1H,6aH-cyclopenta[c]furo[2,3-b]furo[3′,2′:3,4]cyclopenta[1,2-d]furan-
5,9,12(4H)-trione
分子式:C20H24O9
分子量:408.40
CAS号:15291-75-5
纯度: HPLC≥98%
外观:白色结晶
溶解性:溶解于乙酸乙酯、甲醇、乙醇、二甲亚砜等溶剂
Boiling Point (Predicted)Value沸点: 710.1±60.0 °C | Condition: Press: 760 Torr
Density (Predicted)Value密度: 1.56±0.1 g/cm3 | Condition: Temp: 20 °C Press: 760 Torr
pKa (Predicted)Value值: 11.45±0.70 | Condition: Most Acidic Temp: 25 °C
储存条件: 2-8°C,干燥、避光、密封
规格: 20mg 50mg 100mg 500mg 1g 2g等应客户需求包装.
提取来源:银杏科植物银杏GinkgobilobaL.的果实等。
药理药效:对应激性溃疡有显著的预防作用,对胆碱能损伤记忆功能具有恢复作用,能防止ChAT活力降低,缓解和改善心肌缺血作用,可阻抑DAD的发生,并有抗焦虑作用。药理药效:具有较强的利尿和镇痛作用
用途:用于含量测定、鉴别、药理实验、活性筛选等。
检测条件: 甲醇-0.1%磷酸水(40:60)为流动相(仅供参考)
质量检测:所有钰博生物产品均由经CNAS认可的实验室进行质量检测,分为以下3种方式:
①常规-质谱、氢谱、碳谱、高效液相色谱或气相色谱;
②溯源-数据溯源到国家法定的标准物质;
③定值-质量守恒原则检测水分、有机溶剂、无机杂质、有机成分。
目前产品有两个等级,即高纯度分析试剂级别和分析标准品级别。
高纯度分析试剂经过MS、NMR等结构确认及HPLC或GC纯度分析(面 积归一化法);
分析标准品经过MS、NMR等结构确认,并采用溯源法,即溯源至国家标准物质或采用质量守恒法进行定值,提供准确的含量数据。
1.对照品的选择原则
对照品的选择原则包括物质稳定性以及参比物质和测定物质的同质性。
例如:克拉维酸的对照品为克拉维酸锂,实际被测物为克拉维酸钾。用阿莫西林三水合物制备阿莫西林对照品而不用一水合物或阿莫西林制备。但是目前研发员对对照品的选择、制备和标化重视程度尚不足,造成同一个品种可能具有不同成盐形式、含不同结晶水,不同晶型的对照品。由于上述不同,某些晶型或者某些成盐形式的药物由于其不稳定性而不适宜制备成为对照品,但仍然发现个别研发员选择了不稳定形式作为对照品。
其次,在对照品选择时应该充分关注不同盐基、酸根的不同用途。比如头孢替坦二钠,由于成盐的缘故,头孢替坦与头孢替坦二钠的红外图谱肯定存在不同。但是某些申请人仍采用头孢替坦对照品进行红外鉴别。
红外鉴别是抗生素的常规鉴别方法,由于抗生素常常具不同的晶型,因此在使用对照品进行鉴别试验时,要考虑对照品和供试品的晶型是否一致,并注意是否与供试品生产工艺采用的精制方法一致。以避免在研究或者药检所复核时出现不一致现象。
2.对照品的制备、标化和质量要求
由于来源、选择、制备和质量标准的不同,造成目前在对照品质量控制方面存在不统一现象。所以研发员在对照品选择时要和对照品厂家充分沟通,交流清楚。避免选用了不符合自己要求的试剂。公司提供的中药对照品在这方面做的不错,可以满足各种需求。
3.对照品使用时需要注意的细节
由于对照品的用途繁多,在使用时有些研发人员存在用同一对照品作不同目的。在实际使用中发现部分研发员混杂使用同一对照品,将含量测定用对照品用于鉴别,鉴别用对照品用于含量测定。最后导致实验结果不准确。
另外需要注意所选的药品标准物质稳定性和数量应满足整个实验计划的需要,已超过稳定期的标准物质不能使用。另外,美国药典的对照品没有有效期,但美国药典会每2月一期的药典论坛随时发布最新批号的对照品,而在美国药典实验室内,不断地对留样对照品进行监控,保证对照品的有效。
分子式:C20H24O9
分子量:408.40
CAS号:15291-75-5
纯度: HPLC≥98%
中文名称:银杏内酯A
中文别名:银杏苦内酯A
英文名称:Ginkgolide A
英文别名:
9H-1,7a-(Epoxymethano)-1H,6aH-cyclopenta[c]furo[2,3-b]furo[3'',2'':3,4]cyclopenta[1,2-d]furan-5,9,12(4H)-trione, 3-tert?butylhexahydro-4,7b-dihydroxy-8-methyl- (8CI); Ginkgolide A; (1R,3S,3aS,4R,6aR,7aR,7bR,8S,10aS,11aS)-3-(1,1-Dimethylethyl)hexahydro-4,7b?dihydroxy-8-methyl-9H-1,7a-(epoxymethano)-1H,6aH-cyclopenta[c]furo[2,3-b]furo[3′,2′:3,4]cyclopenta[1,2-d]furan-5,9,12(4H)-trione; 9H-1,7a-
(Epoxymethano)-1H,6aH-cyclopenta[c]furo[2,3-b]furo[3′,2′:3,4]cyclopenta[1,2-d]furan-5,9,12(4H)-trione, 3-(1,1-dimethylethyl)hexahydro-4,7b-dihydroxy-
8-methyl-, [1R-(1α,3β,3aS*,4β,6aα,7aα,7bα,8α,10aα,11aS*)]-; BN 52020; [1R-(1α,3β,3aS*,4β,6aα,7aα,7bα,8α,10aα,11aS*)]-3-(1,1-
Dimethylethyl)hexahydro-4,7b-dihydroxy-8-methyl-9H-1,7a-(epoxymethano)-1H,6aH-cyclopenta[c]furo[2,3-b]furo[3′,2′:3,4]cyclopenta[1,2-d]furan-
5,9,12(4H)-trione
分子式:C20H24O9
分子量:408.40
CAS号:15291-75-5
纯度: HPLC≥98%
外观:白色结晶
溶解性:溶解于乙酸乙酯、甲醇、乙醇、二甲亚砜等溶剂
Boiling Point (Predicted)Value沸点: 710.1±60.0 °C | Condition: Press: 760 Torr
Density (Predicted)Value密度: 1.56±0.1 g/cm3 | Condition: Temp: 20 °C Press: 760 Torr
pKa (Predicted)Value值: 11.45±0.70 | Condition: Most Acidic Temp: 25 °C
储存条件: 2-8°C,干燥、避光、密封
规格: 20mg 50mg 100mg 500mg 1g 2g等应客户需求包装.
提取来源:银杏科植物银杏GinkgobilobaL.的果实等。
药理药效:对应激性溃疡有显著的预防作用,对胆碱能损伤记忆功能具有恢复作用,能防止ChAT活力降低,缓解和改善心肌缺血作用,可阻抑DAD的发生,并有抗焦虑作用。药理药效:具有较强的利尿和镇痛作用
用途:用于含量测定、鉴别、药理实验、活性筛选等。
检测条件: 甲醇-0.1%磷酸水(40:60)为流动相(仅供参考)
质量检测:所有钰博生物产品均由经CNAS认可的实验室进行质量检测,分为以下3种方式:
①常规-质谱、氢谱、碳谱、高效液相色谱或气相色谱;
②溯源-数据溯源到国家法定的标准物质;
③定值-质量守恒原则检测水分、有机溶剂、无机杂质、有机成分。
目前产品有两个等级,即高纯度分析试剂级别和分析标准品级别。
高纯度分析试剂经过MS、NMR等结构确认及HPLC或GC纯度分析(面 积归一化法);
分析标准品经过MS、NMR等结构确认,并采用溯源法,即溯源至国家标准物质或采用质量守恒法进行定值,提供准确的含量数据。
1.对照品的选择原则
对照品的选择原则包括物质稳定性以及参比物质和测定物质的同质性。
例如:克拉维酸的对照品为克拉维酸锂,实际被测物为克拉维酸钾。用阿莫西林三水合物制备阿莫西林对照品而不用一水合物或阿莫西林制备。但是目前研发员对对照品的选择、制备和标化重视程度尚不足,造成同一个品种可能具有不同成盐形式、含不同结晶水,不同晶型的对照品。由于上述不同,某些晶型或者某些成盐形式的药物由于其不稳定性而不适宜制备成为对照品,但仍然发现个别研发员选择了不稳定形式作为对照品。
其次,在对照品选择时应该充分关注不同盐基、酸根的不同用途。比如头孢替坦二钠,由于成盐的缘故,头孢替坦与头孢替坦二钠的红外图谱肯定存在不同。但是某些申请人仍采用头孢替坦对照品进行红外鉴别。
红外鉴别是抗生素的常规鉴别方法,由于抗生素常常具不同的晶型,因此在使用对照品进行鉴别试验时,要考虑对照品和供试品的晶型是否一致,并注意是否与供试品生产工艺采用的精制方法一致。以避免在研究或者药检所复核时出现不一致现象。
2.对照品的制备、标化和质量要求
由于来源、选择、制备和质量标准的不同,造成目前在对照品质量控制方面存在不统一现象。所以研发员在对照品选择时要和对照品厂家充分沟通,交流清楚。避免选用了不符合自己要求的试剂。公司提供的中药对照品在这方面做的不错,可以满足各种需求。
3.对照品使用时需要注意的细节
由于对照品的用途繁多,在使用时有些研发人员存在用同一对照品作不同目的。在实际使用中发现部分研发员混杂使用同一对照品,将含量测定用对照品用于鉴别,鉴别用对照品用于含量测定。最后导致实验结果不准确。
另外需要注意所选的药品标准物质稳定性和数量应满足整个实验计划的需要,已超过稳定期的标准物质不能使用。另外,美国药典的对照品没有有效期,但美国药典会每2月一期的药典论坛随时发布最新批号的对照品,而在美国药典实验室内,不断地对留样对照品进行监控,保证对照品的有效。
风险提示:丁香通仅作为第三方平台,为商家信息发布提供平台空间。用户咨询产品时请注意保护个人信息及财产安全,合理判断,谨慎选购商品,商家和用户对交易行为负责。对于医疗器械类产品,请先查证核实企业经营资质和医疗器械产品注册证情况。
文献和实验相关实验
)和Na2HPO4(0.05mol/L)以及MeOH所组成,其用量比例为200:10:165, 流速:1mL/min 进样:10μL 结果:所有组分在6min之内全部流出,各组分完全分离,组分出峰顺序为:磺胺保留时间为2.60min,磺胺嘧啶保留时间为3.18min、磺胺甲基异�唑保留时间为4.33min,甲氧苄氨嘧啶保留时间为5.19min。 例3.银杏内酯分析(药物分析) 样品:含银杏苦内酯等4种物质的混合物 色谱仪:“南京
技术资料暂无技术资料 索取技术资料
银杏内酯A,银杏苦内酯A,CAS:15291-75-5
¥350










