相关产品推荐更多 >
万千商家帮你免费找货
0 人在求购买到急需产品
- 详细信息
- 文献和实验
- 技术资料
- 库存:
大量
- 英文名:
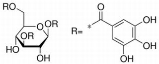
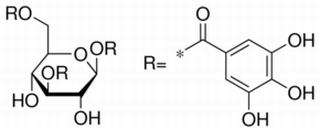
1,3,6-Tri-O-galloyl-β-D-glucose
- 保质期:
2年
- 供应商:
上海沪震实业有限公司
- 保存条件:
2-8℃
- 规格:
5mg/10mg
英文名: 1,3,6-Tri-O-galloyl-β-D-glucose
别名: β-D-Glucopyranose 1,3,6-trigallate β-D-Glucopyranose-1,3,6-tris(3,4,5-trihydroxybenzoate 1,3,6-Tri-O-galloyl-β-D-glucopyranose NP 005114 NSC 69861
CAS号: 18483-17-5
分子式: C27H24O18
分子量: 636.47
MDL: MFCD06656305
储存条件: 2-8℃
1.对照品的选择原则
对照品的选择原则包括物质稳定性以及参比物质和测定物质的同质性。
例如:克拉维酸的对照品为克拉维酸锂,实际被测物为克拉维酸钾。用阿莫西林三水合物制备阿莫西林对照品而不用一水合物或阿莫西林制备。但是目前研发员对对照品的选择、制备和标化重视程度尚不足,造成同一个品种可能具有不同成盐形式、含不同结晶水,不同晶型的对照品。由于上述不同,某些晶型或者某些成盐形式的药物由于其不稳定性而不适宜制备成为对照品,但仍然发现个别研发员选择了不稳定形式作为对照品。
其次,在对照品选择时应该充分关注不同盐基、酸根的不同用途。比如头孢替坦二钠,由于成盐的缘故,头孢替坦与头孢替坦二钠的红外图谱肯定存在不同。但是某些申请人仍采用头孢替坦对照品进行红外鉴别。
红外鉴别是抗生素的常规鉴别方法,由于抗生素常常具不同的晶型,因此在使用对照品进行鉴别试验时,要考虑对照品和供试品的晶型是否一致,并注意是否与供试品生产工艺采用的精制方法一致。以避免在研究或者药检所复核时出现不一致现象。
2.对照品的制备、标化和质量要求
由于来源、选择、制备和质量标准的不同,造成目前在对照品质量控制方面存在不统一现象。所以研发员在对照品选择时要和对照品厂家充分沟通,交流清楚。避免选用了不符合自己要求的试剂。公司提供的中药对照品在这方面做的不错,可以满足各种需求。
3.对照品使用时需要注意的细节
由于对照品的用途繁多,在使用时有些研发人员存在用同一对照品作不同目的。在实际使用中发现部分研发员混杂使用同一对照品,将含量测定用对照品用于鉴别,鉴别用对照品用于含量测定。最后导致实验结果不准确。
另外需要注意所选的药品标准物质稳定性和数量应满足整个实验计划的需要,已超过稳定期的标准物质不能使用。另外,美国药典的对照品没有有效期,但美国药典会每2月一期的药典论坛随时发布最新批号的对照品,而在美国药典实验室内,不断地对留样对照品进行监控,保证对照品的有效。
风险提示:丁香通仅作为第三方平台,为商家信息发布提供平台空间。用户咨询产品时请注意保护个人信息及财产安全,合理判断,谨慎选购商品,商家和用户对交易行为负责。对于医疗器械类产品,请先查证核实企业经营资质和医疗器械产品注册证情况。
文献和实验为具有 O-β -D-葡萄糖醛酸基( 1→ 3) -N-乙酰基 -β -D-氨基葡萄糖基( 1→ 4)为单位的双糖重复结构的一种粘多糖。除见之于动物的关节液和眼球玻璃体等的分泌液、脐带、真皮表层等的结缔组织和 Rous肉瘤等某种肿瘤外,它还包括 A型、 C型链球菌属( Strepto-coceus)在内的某些细菌的荚膜成分。细菌透明质酸不与蛋白质结合,但动物组织中的透明质酸或多或少含有一些蛋白质,似乎以蛋白多糖和肽多糖的形态存在。不过与蛋白质部分结合的方式还不清楚。链
、酸、醚等)。 α-DEX-225: 固定相:非键合相,SPB-20聚(20%苯基/80%甲基硅氧烷)中含25%2,3-二-O-乙酰基-6-O-TBDMS-α-环糊精。DEX-225和DEX-325由于很难预测对给定手性化合物或位置同分异构体分离所需的最佳相,我们增加了环糊精基材料品种,以拓宽选择性范围。DEX-225和DEX-325柱使用二-甲基和二-乙酰基取代环糊精,可用于分离挥发性手性分子,包括醇、醛、羧酸、环氧化合物、酯和卤化物。 β-DEX 225对于小分子对映体分离
。 图21-3 糖原的分去状结构示意图 糖原是无定性粉末,溶于热水,溶解后呈胶体溶液。糖原溶液遇碘呈紫红色。糖原水解的最终产物是D-葡萄糖。 (三)纤维素 纤维素是植物细胞壁的主要成分,是构成植物支撑组织的基础。棉花几乎全部是由纤维素所组成(占98%),亚麻中约含80%,木材中纤维平均含量约为50%,此外,发现某些动物体内也有动物纤维素。 纤维素的结构单位也是D-葡萄糖,和糖淀粉相似也是无分支的链状分子,但结构单位之间以β-1,4-苷键结合而成长链。经X射线
技术资料暂无技术资料 索取技术资料









